דאס ריעמאן זעטאַ פאָנקשען און דאס ריעמאן היפאטעזיע
- מי אני
- שריפטשטעלער

- הודעות: 5784
- זיך רעגיסטרירט: פרייטאג אקטאבער 05, 2018 4:32 pm
- האט שוין געלייקט: 12391 מאל
- האט שוין באקומען לייקס: 8057 מאל
דאס ריעמאן זעטאַ פאָנקשען און דאס ריעמאן היפאטעזיע
איינע פון די מאטעמאטישע פראבלעמען וואס די קלעי אינסטיטוט איז גרייט צו צאלן $1,000,000 פאר דער וואס ווייזט דאס אויף (אדער ווייזט אויף אז נישט) איז דאס ריעמאן היפאטעזיע. דאס צו אביסל מסביר זיין בקוצר אמרים מאד מאד דארף מען מאכן אפאר הקדמות.
קאלקולוס, ווי באקאנט, גיבט זיך אפ מיט׳ן באהאנדלען און צאמהאנדלן צוזאמען אינפיניטי - גיבן א סארט פיניט ענטפער צו אן אינפיניט פּראגרעשאן וכו׳. דאס ארבעט בשורשו דורך דעם געדאנק פון א לימיט. דאס מיינט אז איך קוק אן ווי נענטער און נענטער/גרעסער און גרעסער וכדומה די וועליוּ ווערט צו וועלכע נומער וכדומה קומט דאס נענטער און נענטער צו, אפילו ס׳גייט מעולם נישט ממש אנקומען צו יענע וועליוּ מחמת איזה סיבה שהיא (מ׳האט אביסל געשמועסט דערפון דא).
אין קאלקולוס איז דא די פעלד פון סיריִס. דאס איז ווען איך האב אן אינפיניט סיִקווענס פון א געוויסע פּאטערן פון נומערן וואס איך טוה צאמרעכענען, און איך וויל געוואויר ווערן, דורך נוצן א לימיט בעצם, צו דאס גייט ״קאנווערדזשען״ און למעשה ווערן נענטער און נענטער צו א געוויסע סומע, אדער אז איך קען דאס נישט צאמרעכענען, עס טוהט ״דיווערדזשען״, ווייל עס וואקסט מער און מער לאין שיעור וערך.
למשל די סיריִס וואו איך האלב און נאכדעם לייג איך צו האלב דערפון אא״וו כזה: 1+1/2+1/4+1/8+1/16 אא״וו בב״ת, אדער די סיריִס פון די רעסיפּראקעלס פון פּאַליגאַנעל נומערן, 1+1/3+1/6+1/10 אא״וו בב״ת, זענען ״קאנווערדזשענט סיריִס״, ווייל זיי גייען עעווענטשועל צוקומען צו א געוויסע וועליוּ [2] וואס פון דארט (אדער אפילו צו דארט) און ווייטער גייט עס ממש וואקסן אומדערקענבאר. משא״כ די סיריִס 1+2+3+4+5 אא״וו בב״ת איז א ״דיווערדזשענט סיריִס״, ווייל ווי מ׳זעהט איז אז ווי ווייטער מ׳גייט אלס גרעסער ווערן די נומערן און די סומע וואקסט אלס מער און מער, וממילא קומט עס נישט צו צו א געוויסע נומער.
די סיריִס פון 1+1/2+1/3+1/4 אא״וו בב״ת, די רעסיפּראקעל פון די געהעריגע נומערן אין א סדר, איז דיווערדזשענט און נישט קאנווערדזשענט. דאס איז ווייל הגם אויבן-אויף זעהט עס נישט אויס אזוי ווערט עס אבער יא גרעסער און גרעסער. למשל, די נעקסטע צוויי נאך 1/2, שהם 1/3+1/4, זענען גרעסער פון 1/2. און אזוי אויך די נעקסטע 4 וואס קומען נאך דעם וכו׳ וכו׳. קומט אויס אז עס טוהט יא וואקסן מער און מער. דאס איז אחוץ אויב מ׳טוישט יעדע צווייטע סימבאל פון א + צו א - (עס איז אינטרעסאנט צו באמערקן אז ביי סיריִס וואו עס איז דא + און - קען עס מאכן א חילוק די סדר אין וואס מען טוהט דאס; עס איז ל״ד עסאָסיעטיוו/קאָמיוּטעטיוו ווי אין אלגעמיין.) דאס רופט זיך די הארמאנישע סיריס.
די מאטעמאטישע נאָטעישאן וואס איך נוץ פאר דעם איז די Σ סימבאל. ביי די זייט דערפון שרייב איך די סארט פּעטערן פון די סיריִס, אונטער דעם שרייב איך פון וועלכע וועליוּ/נומער אין די סיִקווענס איך הייב אן צאמרעכענען, און העכער דעם ביז וועלכע וועליוּ/נומער אינעם סיִקווענס איך וויל רעכענען (אפטמאל ∞).
עס איז דא א געוויסע סארט סיריִס וואס הייסט די ריעמאן זעטאַ פאָנקשין. דאס איז א סיריִס וואס זעהט אויס אזוי:
Σ1/n^s n=1 →∞
דאס הייסט איך וועל אויס עפעס א וועליוּ/נומער פאר׳ן s, דהיינו די עקספּאנענט אינעם דענאמינעיטאר, און די סיריִס זאגט מיר פון וועלכע נומער די n הייבט זיך אן, דהיינו אלעמאל פון 1, וואס פון דארט הייב איך אן צאמרעכענען אלע נומערן אינעם סיִקווענס: די נעקסטע n וועט שוין זיין די נעקסטע (נאטורליכע) נומער 2 מיט די s עקספּאנענט דערויף וואס איך האב געוועלט און אזוי ווייטער און ווייטער. דאס איז די סיבה איך רוף עס א ״פאָנקשען״ ווייל איך פיטער אריין א וועליוּ אין צו די פאָנקשען (s) און דאס (צומאל) שפייט ארויס אן אנדערע וועליוּ ווענדענדיג זיך אינעם s (ועיין כאן. די פאָנקשען ווערט געשריבן אלס ζ(s).
אויב די s וואס איך האב געוועלט איז מער ווי 1 (געדענק אז ווען עס איז 1 איז עס דאך די הארמאנישע סיריס וואס טוהט דיווערדזשען) וועט עס אלעמאל קאנווערדזשען צו עפעס א נומער, וויבאלד די פאָנקשען/סיריִס וועט דאך זיין איין קלענערע פרעקשאן נאכ׳ן אנדערן וואס האלט אין איין ווערן קלענער. משא״כ אויב איז די s פון 1 און קלענער גייט עס נישט אזוי מיט א סדר פון איינס קלענער ווי דאס פריערדיגע, וממילא גייט דאס דיווערדזשען. דאס איז בפרט אויב איז די s א נעגאטיווע נומער. דאס איז וויבאלד א נעגאטיווע עקספאנענט מיינט פשוט דעם אינווערס/רעסיפּראקעל (מ׳האט עס אביסל מסביר געווען דא), וממילא אז מ׳גיבט עס דא א נעגאטיווע עקספאנענט גייט עס דאך מיינען דעם רעסיפּראקעל, דהיינו אז די דענאמינעיטאר איז גאר די נוּמערעיטאר און איינס ווערט גאר גרעסער און גרעסער פונעם פריערדיגן נומער אינעם סיִקווענס אויף גאר א גרויסן פארנעם ווייל איך טוה דאס נאך עקספּאנענשיעיטן אויך.
מיט׳ן זיך אבער ארומשפילן מיט אלגעברא לומדות בתוך די סיריִס קען איך טרעפן א קאנווערדזשענט וועליוּ פאר די זעטאַ פאָנקשען פאר נומערן אפילו ווייניגער ווי 1, אבער נישט פאר 1 אליין. פון די עקסטענדעד דאמעין [וועליוּס וואס איך קען/מעג אריינפיטערן אינעם פאָנקשען און עס זאל מיר אויסשפייען א געהעריגע קאנווערדזשענט ענטפער] וועט אויסקומען אז יעדע נעגאטיווע איִווען נומער וועט ארויסגיבן א 0. דאס ווערן אנגערופן די ״טריוויעל [מינדערוויכטיגע]״ זעראס פון די פאָנקשען.
דא הא׳מיר ארומגערעדט איבער דאס געדאנק פון אן אימעדזשינערי נומער. אונז הא׳מיר געזאגט אז יעדע אזא סארט נומער ווערט צאמגעפארט מיט א געהעריגע ״עכטע״ נומער און צוזאמען ווערט דאס גערופן א קאמפּלעקס נומער ע״ש. דער גרויסער מאטעמאטיקער בּערנהארד ריעמאן האט געוואוזן אז די זעלבע זאך וועט נוגע זיין טאמער פיטער איך אריין אין דעם פאָנקשען א קאמפּלעקס נומער וואס איר ״עכטע״ חלק איז 1 אדער מער - עס וועט אלס קאנווערדזשן צו עפעס א ספּעציפישע נומער; פארשטייט זיך טאקע צו עפעס א קאמפּלעקס נומער. יעצט אז ער האט אריינגעברענגט די פאָנקשען אין צו קאמפּלעקס אנאליסיס און צו דאס משדך זיין מיט קאמפּלעקס נומערן, האט ער בפרט גענוצט א מאטעמאטישע לומדות וואס רופט זיך אין די פעלד פון קאמפּלעקס אנאליסיס א האלאמארפישע פאָנקשען אויף נאך מער צו עקסטענדן דאס אז די פאָנקשען זאל גיבן א קאנווערדזשענט ענטפער פאר וואו מ׳וועלט פאר s א קאמפּלעקס נומער ואפילו פאר וואו מ׳וועלט די עכטע חלק דערפון אונטער 1 (אבער נישט 1 אליין כנ״ל).
וואס ריעמאן האט היפאטיזירט איז אז די ״נישט-טריוויעל״ זעראס פון די פאָנקשען, דאס הייסט ווען איך פיטער אריין אינעם זעטאַ פאָנקשען א קאמפּלעקס נומער און עס וועט ארויסגיבן א קאנווערדזשענס צו 0, וועלן אלע נאר האבן 1/2 אלס די ״עכטע״ חלק.
דאס ווייסט מען שוין אז די נאן-טריוויעל זעראס פון די פאָנקשען גייען זיכער האבן אלס זייער עכטע חלק פון 0 ביז 1 (ולא עד בכלל). ולא זו בלבד נאר די חלק האימעדזשינערי נומער פונעם קאמפּלעקס נומער צוזאמען מיט׳ן עכטן נומער וואס גיבט די זערא גייען גיין אין פּאָרן. למשל, אויב 1/2+3i גיבט א זערא, וועט 1/2-3i אויך גיבן א 0. נאך מער ווייסט מען אז א שייכות צו 1/2 וועט עס לכה״פ זיכער האבן אלס אזא סארט פּאָר. דהיינו, למשל אויב גיבט:
.57+3i
א 0, וועט:
.43-3i
אויך גיבן א 0, ווייל עס איז די זעלבע ווייט לאידך גיסא פון 1/2.
מען ווייסט אויך אז עס זענען דא אן אינפיניט צאל פון 0 רעזאלטס צום פאָנקשען אויב די עכטע חלק פונעם קאמפּלעקס נומער וואס מ׳פיטערט אריין איז 1/2. מ׳ווייסט אבער נישט צו זיי זענען נאר דארט (אין די געגענט צווישן 0 און 1 אלס׳ן עכטן חלק פונעם קאמפּלעקס נומער וכנ״ל).
קאלקולוס, ווי באקאנט, גיבט זיך אפ מיט׳ן באהאנדלען און צאמהאנדלן צוזאמען אינפיניטי - גיבן א סארט פיניט ענטפער צו אן אינפיניט פּראגרעשאן וכו׳. דאס ארבעט בשורשו דורך דעם געדאנק פון א לימיט. דאס מיינט אז איך קוק אן ווי נענטער און נענטער/גרעסער און גרעסער וכדומה די וועליוּ ווערט צו וועלכע נומער וכדומה קומט דאס נענטער און נענטער צו, אפילו ס׳גייט מעולם נישט ממש אנקומען צו יענע וועליוּ מחמת איזה סיבה שהיא (מ׳האט אביסל געשמועסט דערפון דא).
אין קאלקולוס איז דא די פעלד פון סיריִס. דאס איז ווען איך האב אן אינפיניט סיִקווענס פון א געוויסע פּאטערן פון נומערן וואס איך טוה צאמרעכענען, און איך וויל געוואויר ווערן, דורך נוצן א לימיט בעצם, צו דאס גייט ״קאנווערדזשען״ און למעשה ווערן נענטער און נענטער צו א געוויסע סומע, אדער אז איך קען דאס נישט צאמרעכענען, עס טוהט ״דיווערדזשען״, ווייל עס וואקסט מער און מער לאין שיעור וערך.
למשל די סיריִס וואו איך האלב און נאכדעם לייג איך צו האלב דערפון אא״וו כזה: 1+1/2+1/4+1/8+1/16 אא״וו בב״ת, אדער די סיריִס פון די רעסיפּראקעלס פון פּאַליגאַנעל נומערן, 1+1/3+1/6+1/10 אא״וו בב״ת, זענען ״קאנווערדזשענט סיריִס״, ווייל זיי גייען עעווענטשועל צוקומען צו א געוויסע וועליוּ [2] וואס פון דארט (אדער אפילו צו דארט) און ווייטער גייט עס ממש וואקסן אומדערקענבאר. משא״כ די סיריִס 1+2+3+4+5 אא״וו בב״ת איז א ״דיווערדזשענט סיריִס״, ווייל ווי מ׳זעהט איז אז ווי ווייטער מ׳גייט אלס גרעסער ווערן די נומערן און די סומע וואקסט אלס מער און מער, וממילא קומט עס נישט צו צו א געוויסע נומער.
די סיריִס פון 1+1/2+1/3+1/4 אא״וו בב״ת, די רעסיפּראקעל פון די געהעריגע נומערן אין א סדר, איז דיווערדזשענט און נישט קאנווערדזשענט. דאס איז ווייל הגם אויבן-אויף זעהט עס נישט אויס אזוי ווערט עס אבער יא גרעסער און גרעסער. למשל, די נעקסטע צוויי נאך 1/2, שהם 1/3+1/4, זענען גרעסער פון 1/2. און אזוי אויך די נעקסטע 4 וואס קומען נאך דעם וכו׳ וכו׳. קומט אויס אז עס טוהט יא וואקסן מער און מער. דאס איז אחוץ אויב מ׳טוישט יעדע צווייטע סימבאל פון א + צו א - (עס איז אינטרעסאנט צו באמערקן אז ביי סיריִס וואו עס איז דא + און - קען עס מאכן א חילוק די סדר אין וואס מען טוהט דאס; עס איז ל״ד עסאָסיעטיוו/קאָמיוּטעטיוו ווי אין אלגעמיין.) דאס רופט זיך די הארמאנישע סיריס.
די מאטעמאטישע נאָטעישאן וואס איך נוץ פאר דעם איז די Σ סימבאל. ביי די זייט דערפון שרייב איך די סארט פּעטערן פון די סיריִס, אונטער דעם שרייב איך פון וועלכע וועליוּ/נומער אין די סיִקווענס איך הייב אן צאמרעכענען, און העכער דעם ביז וועלכע וועליוּ/נומער אינעם סיִקווענס איך וויל רעכענען (אפטמאל ∞).
עס איז דא א געוויסע סארט סיריִס וואס הייסט די ריעמאן זעטאַ פאָנקשין. דאס איז א סיריִס וואס זעהט אויס אזוי:
Σ1/n^s n=1 →∞
דאס הייסט איך וועל אויס עפעס א וועליוּ/נומער פאר׳ן s, דהיינו די עקספּאנענט אינעם דענאמינעיטאר, און די סיריִס זאגט מיר פון וועלכע נומער די n הייבט זיך אן, דהיינו אלעמאל פון 1, וואס פון דארט הייב איך אן צאמרעכענען אלע נומערן אינעם סיִקווענס: די נעקסטע n וועט שוין זיין די נעקסטע (נאטורליכע) נומער 2 מיט די s עקספּאנענט דערויף וואס איך האב געוועלט און אזוי ווייטער און ווייטער. דאס איז די סיבה איך רוף עס א ״פאָנקשען״ ווייל איך פיטער אריין א וועליוּ אין צו די פאָנקשען (s) און דאס (צומאל) שפייט ארויס אן אנדערע וועליוּ ווענדענדיג זיך אינעם s (ועיין כאן. די פאָנקשען ווערט געשריבן אלס ζ(s).
אויב די s וואס איך האב געוועלט איז מער ווי 1 (געדענק אז ווען עס איז 1 איז עס דאך די הארמאנישע סיריס וואס טוהט דיווערדזשען) וועט עס אלעמאל קאנווערדזשען צו עפעס א נומער, וויבאלד די פאָנקשען/סיריִס וועט דאך זיין איין קלענערע פרעקשאן נאכ׳ן אנדערן וואס האלט אין איין ווערן קלענער. משא״כ אויב איז די s פון 1 און קלענער גייט עס נישט אזוי מיט א סדר פון איינס קלענער ווי דאס פריערדיגע, וממילא גייט דאס דיווערדזשען. דאס איז בפרט אויב איז די s א נעגאטיווע נומער. דאס איז וויבאלד א נעגאטיווע עקספאנענט מיינט פשוט דעם אינווערס/רעסיפּראקעל (מ׳האט עס אביסל מסביר געווען דא), וממילא אז מ׳גיבט עס דא א נעגאטיווע עקספאנענט גייט עס דאך מיינען דעם רעסיפּראקעל, דהיינו אז די דענאמינעיטאר איז גאר די נוּמערעיטאר און איינס ווערט גאר גרעסער און גרעסער פונעם פריערדיגן נומער אינעם סיִקווענס אויף גאר א גרויסן פארנעם ווייל איך טוה דאס נאך עקספּאנענשיעיטן אויך.
מיט׳ן זיך אבער ארומשפילן מיט אלגעברא לומדות בתוך די סיריִס קען איך טרעפן א קאנווערדזשענט וועליוּ פאר די זעטאַ פאָנקשען פאר נומערן אפילו ווייניגער ווי 1, אבער נישט פאר 1 אליין. פון די עקסטענדעד דאמעין [וועליוּס וואס איך קען/מעג אריינפיטערן אינעם פאָנקשען און עס זאל מיר אויסשפייען א געהעריגע קאנווערדזשענט ענטפער] וועט אויסקומען אז יעדע נעגאטיווע איִווען נומער וועט ארויסגיבן א 0. דאס ווערן אנגערופן די ״טריוויעל [מינדערוויכטיגע]״ זעראס פון די פאָנקשען.
דא הא׳מיר ארומגערעדט איבער דאס געדאנק פון אן אימעדזשינערי נומער. אונז הא׳מיר געזאגט אז יעדע אזא סארט נומער ווערט צאמגעפארט מיט א געהעריגע ״עכטע״ נומער און צוזאמען ווערט דאס גערופן א קאמפּלעקס נומער ע״ש. דער גרויסער מאטעמאטיקער בּערנהארד ריעמאן האט געוואוזן אז די זעלבע זאך וועט נוגע זיין טאמער פיטער איך אריין אין דעם פאָנקשען א קאמפּלעקס נומער וואס איר ״עכטע״ חלק איז 1 אדער מער - עס וועט אלס קאנווערדזשן צו עפעס א ספּעציפישע נומער; פארשטייט זיך טאקע צו עפעס א קאמפּלעקס נומער. יעצט אז ער האט אריינגעברענגט די פאָנקשען אין צו קאמפּלעקס אנאליסיס און צו דאס משדך זיין מיט קאמפּלעקס נומערן, האט ער בפרט גענוצט א מאטעמאטישע לומדות וואס רופט זיך אין די פעלד פון קאמפּלעקס אנאליסיס א האלאמארפישע פאָנקשען אויף נאך מער צו עקסטענדן דאס אז די פאָנקשען זאל גיבן א קאנווערדזשענט ענטפער פאר וואו מ׳וועלט פאר s א קאמפּלעקס נומער ואפילו פאר וואו מ׳וועלט די עכטע חלק דערפון אונטער 1 (אבער נישט 1 אליין כנ״ל).
וואס ריעמאן האט היפאטיזירט איז אז די ״נישט-טריוויעל״ זעראס פון די פאָנקשען, דאס הייסט ווען איך פיטער אריין אינעם זעטאַ פאָנקשען א קאמפּלעקס נומער און עס וועט ארויסגיבן א קאנווערדזשענס צו 0, וועלן אלע נאר האבן 1/2 אלס די ״עכטע״ חלק.
דאס ווייסט מען שוין אז די נאן-טריוויעל זעראס פון די פאָנקשען גייען זיכער האבן אלס זייער עכטע חלק פון 0 ביז 1 (ולא עד בכלל). ולא זו בלבד נאר די חלק האימעדזשינערי נומער פונעם קאמפּלעקס נומער צוזאמען מיט׳ן עכטן נומער וואס גיבט די זערא גייען גיין אין פּאָרן. למשל, אויב 1/2+3i גיבט א זערא, וועט 1/2-3i אויך גיבן א 0. נאך מער ווייסט מען אז א שייכות צו 1/2 וועט עס לכה״פ זיכער האבן אלס אזא סארט פּאָר. דהיינו, למשל אויב גיבט:
.57+3i
א 0, וועט:
.43-3i
אויך גיבן א 0, ווייל עס איז די זעלבע ווייט לאידך גיסא פון 1/2.
מען ווייסט אויך אז עס זענען דא אן אינפיניט צאל פון 0 רעזאלטס צום פאָנקשען אויב די עכטע חלק פונעם קאמפּלעקס נומער וואס מ׳פיטערט אריין איז 1/2. מ׳ווייסט אבער נישט צו זיי זענען נאר דארט (אין די געגענט צווישן 0 און 1 אלס׳ן עכטן חלק פונעם קאמפּלעקס נומער וכנ״ל).
- מי אני
- שריפטשטעלער

- הודעות: 5784
- זיך רעגיסטרירט: פרייטאג אקטאבער 05, 2018 4:32 pm
- האט שוין געלייקט: 12391 מאל
- האט שוין באקומען לייקס: 8057 מאל
די פאָנקשען האט מען מקשר געווען מיט פּריים נומערן ווייל לעאנהערד אוילער האט אויפגעוואוזן אז די פאָנקשען/סיריִס איז די זעלבע ווי אויב איך מאָלטיפּליי צוזאמען די סיריִס פון די רעסיפּראקעל פון 1 מיינוס די רעסיפּראקעל פון די פּריים צו די עקספּאנענט פון די s וואס איך האב געוועלט (איך טוה דאס פאר יעדעס פּריים, און דערנאך מאָלטיפּליי איך דאס אלעס צוזאמען). דאס גייט אויסקומען די זעלבע ווי די עצם זעטאַ פאָנקשען פאר די וועליוּ פון s וואס איך האב געוועלט. אין נאָטעישאן שרייב איך דאס:
ζ(s) = Σn^-s = Π1/(1-(1/p^s)) for all primes
די סימבאל Π מיינט מאָלטיפּליי אלע צוזאמען, אנשטאט די Σ וואס מיינט עדד אלע צוזאמען.
די היפאטעזיע בכלל, אויב אמת, ווייזט אויף א שטארקע קשר צום פּריים נומער טעארעם וואס מ׳האט דערמאנט דא. דאס איז ווייל עס גייט גיבן א גבול [בּאַוּנד], סיי אויף צום ווייניגסטענס און סיי אויף צום מערסטענס (וואס ווערט גערופן די ״גרויסע O פון די פאָנקשען״), צו דאס ״בערך״ פונעם טעארעם וואס ווייזט אויף ווי סאך פּריימס זענען ביז א געוויסע נומער. (אחוץ ביים ממש ממש אנהויב - ענליך צו דעם וואס ביין ממש ממש אנהויב פון די פּריים נומערן איז דא דעם איין איינציגסטן איִווען פּריים: 2.)
ועכ״כ אז דער מאטעמאטיקער דר. דעניס העדזשהאל האט מסביר געווען די היפאטעזיע בפשטות כדלהלן. מ׳שרייבט אין א שורה יעדעס נומער אנגעהויבן פון 2. אונטער יעדעס נומער שרייבט מען אירע פּריים פאקטארן. דערנאך אונטער יעדעס נומער וואס האט אן אַדד צאל פון פּריים פאקטארן זאג איך אז דאס ״א״, און יעדעס וואס האט אן איִווען צאל זאג איך אז דאס איז ״ב״ (איך טוה אבער איגנארירן די נומערן וואס האבן א זעלבע פּריים פאקטאר אין זיך מער ווי איין מאל). קומט אויס דערפון אז עס וועלן זיין ביז עני נומער איך רעכען בערך האלב ״א׳ס״ און האלב ״ב׳ס״. אבער דער מאטעמאטיקער יעקב בערנאלי האט אויפגעוואוזן אין סטאטיסטיקס אז עס וועט נישט זיין ממש ממש האלב, נאר די עודף פון איינס איבער׳ן צווייטן וועט זיין די סקווער רוט פון די נומער ביז וואו איך האב גערעכענט. די סקווער רוט קען איך שרייבן אלס אן עקספאנענט פון 1/2. אין די פאל איז די נמשל אז די בּאַוּנדס פון די פאָנקשען ביי פּריימס און זייער דיסטריבּיוּשאן גייט נישט וואקסן מער ווי דעם [אויפ׳ן אריגינעלען אויבן-דערמאנטן/געלינקטן פאָנקשען פון די פּריימס]. (דער אמת איז אז דאס טוהט גיבן די בּאַוּנדס איבער דאס בערך צווישן דעם געלינקטן פאָנקשען און דעם לאגעריטמיק אינטעגראל פאָנקשען, וואס איז מער פונקטליך.)
ζ(s) = Σn^-s = Π1/(1-(1/p^s)) for all primes
די סימבאל Π מיינט מאָלטיפּליי אלע צוזאמען, אנשטאט די Σ וואס מיינט עדד אלע צוזאמען.
די היפאטעזיע בכלל, אויב אמת, ווייזט אויף א שטארקע קשר צום פּריים נומער טעארעם וואס מ׳האט דערמאנט דא. דאס איז ווייל עס גייט גיבן א גבול [בּאַוּנד], סיי אויף צום ווייניגסטענס און סיי אויף צום מערסטענס (וואס ווערט גערופן די ״גרויסע O פון די פאָנקשען״), צו דאס ״בערך״ פונעם טעארעם וואס ווייזט אויף ווי סאך פּריימס זענען ביז א געוויסע נומער. (אחוץ ביים ממש ממש אנהויב - ענליך צו דעם וואס ביין ממש ממש אנהויב פון די פּריים נומערן איז דא דעם איין איינציגסטן איִווען פּריים: 2.)
ועכ״כ אז דער מאטעמאטיקער דר. דעניס העדזשהאל האט מסביר געווען די היפאטעזיע בפשטות כדלהלן. מ׳שרייבט אין א שורה יעדעס נומער אנגעהויבן פון 2. אונטער יעדעס נומער שרייבט מען אירע פּריים פאקטארן. דערנאך אונטער יעדעס נומער וואס האט אן אַדד צאל פון פּריים פאקטארן זאג איך אז דאס ״א״, און יעדעס וואס האט אן איִווען צאל זאג איך אז דאס איז ״ב״ (איך טוה אבער איגנארירן די נומערן וואס האבן א זעלבע פּריים פאקטאר אין זיך מער ווי איין מאל). קומט אויס דערפון אז עס וועלן זיין ביז עני נומער איך רעכען בערך האלב ״א׳ס״ און האלב ״ב׳ס״. אבער דער מאטעמאטיקער יעקב בערנאלי האט אויפגעוואוזן אין סטאטיסטיקס אז עס וועט נישט זיין ממש ממש האלב, נאר די עודף פון איינס איבער׳ן צווייטן וועט זיין די סקווער רוט פון די נומער ביז וואו איך האב גערעכענט. די סקווער רוט קען איך שרייבן אלס אן עקספאנענט פון 1/2. אין די פאל איז די נמשל אז די בּאַוּנדס פון די פאָנקשען ביי פּריימס און זייער דיסטריבּיוּשאן גייט נישט וואקסן מער ווי דעם [אויפ׳ן אריגינעלען אויבן-דערמאנטן/געלינקטן פאָנקשען פון די פּריימס]. (דער אמת איז אז דאס טוהט גיבן די בּאַוּנדס איבער דאס בערך צווישן דעם געלינקטן פאָנקשען און דעם לאגעריטמיק אינטעגראל פאָנקשען, וואס איז מער פונקטליך.)
- מי אני
- שריפטשטעלער

- הודעות: 5784
- זיך רעגיסטרירט: פרייטאג אקטאבער 05, 2018 4:32 pm
- האט שוין געלייקט: 12391 מאל
- האט שוין באקומען לייקס: 8057 מאל
די אינווערס פונעם זעטאַ פאָנקשען, דהיינו:
קומט אויס צום מאָבּיאוס פאנקשען, וואס מ׳האט געגעבן דעם סימבאל פון μ(n). דאס גייט זיין א סיריִס וואו אנשטאט אז עס זאל פארמאגן יעדע נומער אינעם דענאמינעיטער צו די עקספאנענט פון אן s וואס איך וועל און זיי אלע עדדן, וועט עס פארמאגן אין די דענאמינעיטאר אזוי: די נומערן וואס איך באקום פון מאלטיפלייען אן איִווען צאל פון פּריימס עדדעד צוזאמען צו די עקספּאנענט פון s, און סאָבּטרעקטן די נומערן וואס איך באקום פון מאלטיפלייען אן אַדד צאל פון פּריימס (וממילא די פּריימס אליין (וואס זענען זיי אליין מאָלטיפּלייד ביי 1)) צו די עקספּאנענט פון s.
קוד: וועל אויס אלע
1/ζ(s)קומט אויס צום מאָבּיאוס פאנקשען, וואס מ׳האט געגעבן דעם סימבאל פון μ(n). דאס גייט זיין א סיריִס וואו אנשטאט אז עס זאל פארמאגן יעדע נומער אינעם דענאמינעיטער צו די עקספאנענט פון אן s וואס איך וועל און זיי אלע עדדן, וועט עס פארמאגן אין די דענאמינעיטאר אזוי: די נומערן וואס איך באקום פון מאלטיפלייען אן איִווען צאל פון פּריימס עדדעד צוזאמען צו די עקספּאנענט פון s, און סאָבּטרעקטן די נומערן וואס איך באקום פון מאלטיפלייען אן אַדד צאל פון פּריימס (וממילא די פּריימס אליין (וואס זענען זיי אליין מאָלטיפּלייד ביי 1)) צו די עקספּאנענט פון s.
- מי אני
- שריפטשטעלער

- הודעות: 5784
- זיך רעגיסטרירט: פרייטאג אקטאבער 05, 2018 4:32 pm
- האט שוין געלייקט: 12391 מאל
- האט שוין באקומען לייקס: 8057 מאל
די מאטעמאטישע קאָמיוּניטי איז בערך צוטיילט איבער דעם צו די היפאטעזיע איז אמת. אסאך קאנדזשעקטשורס אין מאטעמאטיקס בויען אויף די עסאָמפּשׁען אז דאס איז אמת. דער פיזיקער דר. מיכאל בּערי זאגט בנוגע דעם די מימרא פון דר. ריטשערד פיינמאן ״מ׳ווייסט אסאך מער ווי וואס איז אויפגעוואוזן.״
***
דער בארימטער דייטשער מאטעמאטיקער דוד הילבערט האט געזאגט פאר ער איז געשטארבן אז אויב שטייט ער אויף תחיית המתים וועט ער די פרעגן די ערשטע זאך, ״האט מען שוין אויפגעוואוזן דאס ריעמאן היפאטעזיע?״
***
מ׳פארציילט אז איינמאל איז אריינגעקומען א תלמיד צו אים מיט א פאפיר וואס האט גע׳טענה׳ט אז ער האט אויפגעוואוזן די היפאטעזיע. הילבערט האט דאס דורכגעקוקט אבער געטראפן א טעות דערין. אויף צום יאר איז די תלמיד געשטארבן. אויפ׳ן פעלד ביים באגראבן האט אים הילבערט מספיד געווען און געזאגט איבער דאס שאד אז עס איז אוועק אזא חכם אזוי אינגערהייט, און הגם אז זיין פּרוּף איבער די היפאטעזיע האט געהאט א טעות איז עס אבער מעגליך אז קומענדיגע מאטעמאטיקער וועלן גיין אין ענליכע ליניעס אויף דאס צו אויפווייזן, און דערנאך האט ער פארגעזעצט און געזאגט ״לא׳מיר טאקע קאנסידערן אזא סארט פאָנקשען פון א קאמפּלעקס וועריעבּל...״
***
{התנצלות: דאס איז ליטערעלי א מסכת אין מאטעמאטיקס, והרבה הרבה הרבה יותר ממה שקראתי לפניכם כתוב כאן. איך האב, פאראדאקסיש, פרובירט אוועקצושטיין פון (פארפלאנטערט ווערן אין) מאטעמאטישע רעכענונגען וכדומה. איך האב נאר פרובירט צו גיבן א שטיקל בליק אין צו דאס וואס ווערט גערעכענט אלס איינע פון די סאמע וויכטיגסטע און שווערסטע פראבלעמען אין מאטעמאטיקס.}
***
דער בארימטער דייטשער מאטעמאטיקער דוד הילבערט האט געזאגט פאר ער איז געשטארבן אז אויב שטייט ער אויף תחיית המתים וועט ער די פרעגן די ערשטע זאך, ״האט מען שוין אויפגעוואוזן דאס ריעמאן היפאטעזיע?״
***
מ׳פארציילט אז איינמאל איז אריינגעקומען א תלמיד צו אים מיט א פאפיר וואס האט גע׳טענה׳ט אז ער האט אויפגעוואוזן די היפאטעזיע. הילבערט האט דאס דורכגעקוקט אבער געטראפן א טעות דערין. אויף צום יאר איז די תלמיד געשטארבן. אויפ׳ן פעלד ביים באגראבן האט אים הילבערט מספיד געווען און געזאגט איבער דאס שאד אז עס איז אוועק אזא חכם אזוי אינגערהייט, און הגם אז זיין פּרוּף איבער די היפאטעזיע האט געהאט א טעות איז עס אבער מעגליך אז קומענדיגע מאטעמאטיקער וועלן גיין אין ענליכע ליניעס אויף דאס צו אויפווייזן, און דערנאך האט ער פארגעזעצט און געזאגט ״לא׳מיר טאקע קאנסידערן אזא סארט פאָנקשען פון א קאמפּלעקס וועריעבּל...״
***
{התנצלות: דאס איז ליטערעלי א מסכת אין מאטעמאטיקס, והרבה הרבה הרבה יותר ממה שקראתי לפניכם כתוב כאן. איך האב, פאראדאקסיש, פרובירט אוועקצושטיין פון (פארפלאנטערט ווערן אין) מאטעמאטישע רעכענונגען וכדומה. איך האב נאר פרובירט צו גיבן א שטיקל בליק אין צו דאס וואס ווערט גערעכענט אלס איינע פון די סאמע וויכטיגסטע און שווערסטע פראבלעמען אין מאטעמאטיקס.}
- berlbalaguleh
- שריפטשטעלער

- הודעות: 20419
- זיך רעגיסטרירט: דינסטאג יולי 17, 2012 12:57 pm
- האט שוין געלייקט: 25361 מאל
- האט שוין באקומען לייקס: 15512 מאל
- קאנטאקט:
מי אני: קודם כל א יישר כח. נאר איך ווילל דיר זאגן אז נאך דיין מאטעמאטישע דיסערטאציע האט מיר אנגעהויבן דער קאפ צו שווינדלען. און אלס סייד עפעקט האביך אויכעט אנגעהויבן צו זיין נישט זיכער אויב איך עקזיסטיר...און דו ווילסט נאך אז איך זאלל דיר זאגן אויב יאיר עקזיסטירט...!
אבער איין זאך איז זיכער. אז קאווע שטיבל עקזיסטירט ב"ה. און איז חי וקיים אויף ביידע באקן...!
אבער איין זאך איז זיכער. אז קאווע שטיבל עקזיסטירט ב"ה. און איז חי וקיים אויף ביידע באקן...!
- מי אני
- שריפטשטעלער

- הודעות: 5784
- זיך רעגיסטרירט: פרייטאג אקטאבער 05, 2018 4:32 pm
- האט שוין געלייקט: 12391 מאל
- האט שוין באקומען לייקס: 8057 מאל
זאגסט ווייל מ׳רעדט דאך דא פון ״אימעדזשינערי״ נומערן... 
אגב, למעשה זענען ״אימעדזשינערי״ נומערן נישט ממש ״אימעדזשינערי״, דהיינו פאלש. זיי עקזיסטירן בעצם. למשל, אין מאדעלן געוויסע עלעקטרישע דינאמיקס וועט זיך עס ווענדן צו די סאלושאנס פון די עקוועישאנס דערפון זענען קאמפּלעקס צו נישט; אויב איז עס ״עכט״ גייט זיך עס אויפפירן וכו׳ איין וועג און אויב נישט א צווייטע. נו, עקזיסטירט עס/מען שוין יא...
אגב, למעשה זענען ״אימעדזשינערי״ נומערן נישט ממש ״אימעדזשינערי״, דהיינו פאלש. זיי עקזיסטירן בעצם. למשל, אין מאדעלן געוויסע עלעקטרישע דינאמיקס וועט זיך עס ווענדן צו די סאלושאנס פון די עקוועישאנס דערפון זענען קאמפּלעקס צו נישט; אויב איז עס ״עכט״ גייט זיך עס אויפפירן וכו׳ איין וועג און אויב נישט א צווייטע. נו, עקזיסטירט עס/מען שוין יא...
- מי אני
- שריפטשטעלער

- הודעות: 5784
- זיך רעגיסטרירט: פרייטאג אקטאבער 05, 2018 4:32 pm
- האט שוין געלייקט: 12391 מאל
- האט שוין באקומען לייקס: 8057 מאל
ומענין לענין באותו ענין פון סיריִס איז דא די וואן דער ווארדען טעארעם. דאס לויטעט אז אויב גיב איך א געוויסע צאל קאלירן צו קאלירן א סיריִס [גערופן r], גייט אלס זיין א געוויסע צאל נומערן וואס גייען מאכן אן אריטמעטיק פּראגרעשאן/פּעטערן פון קאלירן [גערופן k; מיינענדיג אז למשל דריי נומערן פון די סיריִס וועלן זיין די זעלבע מאס ווייטקייט אינצווישן זיי און זיי וועלן אלע האבן די זעלבע קאליר], איינמאל די סיריִס איז גענוג גרויס און קומט אן צו א געוויסע נומער [גערופן N]. די נומער N וואס ס׳דארף אנקומען צו/זיין גענוג גרויס פאר א געוויסע צאל קאלירן און צאל נומערן וואס מאכן א פּעטערן (r,k) ווערט גערופן די וואן דער ווארדען נומער.
למשל, ווען איך וועל 2 קאלירן און אז 3 נומערן אינעם סיריִס זאלן מאכן א פּעטערן איז די וואן דער ווארדען נומער 9. ווייל איינמאל עס קומט אן צו 9 וועל איך זיכער האבן א פּעטערן דארט וואו דריי נומערן אין א פּעטערן זענען די זעלבע קאליר, נישט קיין חילוק ווי שווער איך זאל ארבייטן דאס צו פארמיידן.
דא זעהט מען אז מיט 2 קאלירן [בלוי און רויט] ביז 9 האב איך מיך געקענט ארויסדרייען און קאלירן די נומערן אזוי אז עס זאל נישט אויסקומען אז איך קען מאכן א פּעטערן ווי 3 נומערן זאלן אלע זיין די זעלבע ווייט איינע פונעם אנדערן און אלע האבן די זעלבע קאליר. אבער ביים ניינטן אויב מאך איך דאס בלוי וועלן די 3 נומערן פון 1, 5, און 9 זיין א פּעטערן, וואו אלע האבן 4 נומערן צווישן זיך און אלע זענען בלוי. און אויב קאליר איך דאס רויט וועלן די 3 נומערן פון 3, 6, און 9 זיין אין א פּעטערן וואו אלע האבן 2 נומערן צווישן זיך און זענען אלע רויט.
ולמשל, ווען איך האב 3 קאלירן און איך וויל אז 3 נומערן דערין זאלן זיין א פּראגרעשאן/פּעטערן פון די זעלבע ווייטקייט וכו׳ איז די וואן דער ווארדען נומער וואס טוהט דאס פארזיכערן 27.
דער מאטעמאטיקער דר. ראנאלד גרעהעם זאגט צו $1,000 פאר דער וואס ווייזט אויף אז די וואן דער ווארדען נומער פאר ווען איך האב 2 קאלירן און איך וועל א געוויסע צאל פון נומערן אין די סיריִס וואס איך וויל זאלן זיין אין א פּעטערן פון קאלירן, אז עס איז ווייניגער ווי 2 צו די עקספאנענט פון די צאל וואס איך האב געוועלט וואס די צאל אליינס איז צו אן עקספאנענט פון 2.
מ׳האט דזשענערעלייזט דעם טעארעם אויף ווייטער אויך, ווי למשל זשעמערעדי׳ס טעארעם און דעם העילס-דזשוּוועט טעארעם.
למשל, ווען איך וועל 2 קאלירן און אז 3 נומערן אינעם סיריִס זאלן מאכן א פּעטערן איז די וואן דער ווארדען נומער 9. ווייל איינמאל עס קומט אן צו 9 וועל איך זיכער האבן א פּעטערן דארט וואו דריי נומערן אין א פּעטערן זענען די זעלבע קאליר, נישט קיין חילוק ווי שווער איך זאל ארבייטן דאס צו פארמיידן.
דא זעהט מען אז מיט 2 קאלירן [בלוי און רויט] ביז 9 האב איך מיך געקענט ארויסדרייען און קאלירן די נומערן אזוי אז עס זאל נישט אויסקומען אז איך קען מאכן א פּעטערן ווי 3 נומערן זאלן אלע זיין די זעלבע ווייט איינע פונעם אנדערן און אלע האבן די זעלבע קאליר. אבער ביים ניינטן אויב מאך איך דאס בלוי וועלן די 3 נומערן פון 1, 5, און 9 זיין א פּעטערן, וואו אלע האבן 4 נומערן צווישן זיך און אלע זענען בלוי. און אויב קאליר איך דאס רויט וועלן די 3 נומערן פון 3, 6, און 9 זיין אין א פּעטערן וואו אלע האבן 2 נומערן צווישן זיך און זענען אלע רויט.
ולמשל, ווען איך האב 3 קאלירן און איך וויל אז 3 נומערן דערין זאלן זיין א פּראגרעשאן/פּעטערן פון די זעלבע ווייטקייט וכו׳ איז די וואן דער ווארדען נומער וואס טוהט דאס פארזיכערן 27.
דער מאטעמאטיקער דר. ראנאלד גרעהעם זאגט צו $1,000 פאר דער וואס ווייזט אויף אז די וואן דער ווארדען נומער פאר ווען איך האב 2 קאלירן און איך וועל א געוויסע צאל פון נומערן אין די סיריִס וואס איך וויל זאלן זיין אין א פּעטערן פון קאלירן, אז עס איז ווייניגער ווי 2 צו די עקספאנענט פון די צאל וואס איך האב געוועלט וואס די צאל אליינס איז צו אן עקספאנענט פון 2.
מ׳האט דזשענערעלייזט דעם טעארעם אויף ווייטער אויך, ווי למשל זשעמערעדי׳ס טעארעם און דעם העילס-דזשוּוועט טעארעם.
- מי אני
- שריפטשטעלער

- הודעות: 5784
- זיך רעגיסטרירט: פרייטאג אקטאבער 05, 2018 4:32 pm
- האט שוין געלייקט: 12391 מאל
- האט שוין באקומען לייקס: 8057 מאל
דאס ריעמאן זעטאַ פאָנקשען און דאס ריעמאן היפאטעזיע
לעאנהערד אוילער האט אויפגעוואוזן אז ווען די זעטאַ פאָנקשען איז 2, ζ(2), דהיינו אז יעדע עקספאנענט דערין איז 2, וועט דאס קאנווערדזשען צו π²/6. ער האט ווייטער אויפגעוואוזן אז יעדע איִווען נומער פאר די זעטאַ פאָנקשען וועט זיין א דעריוועטיוו דערפון, וממילא אזוי ווי π וועט עס זיין טראנסאדענטעל (וממילא אירעשאנעל) נומער. פאר אַדד נומערן/אינפּוּטס אין צו די זעטאַ פאָנקשען ווייסט מען אז אפאר פון זיי גייען גיבן אירעשאנעל ענטפערס אבער מ׳האט נישט קיינע געהעריגע כללים.
דער פראנצויזישער מאטעמאטיקער דר. ראדזשער עפּערי האט אויפגעוואוזן אז ווען עס איז דריי, ζ(3), דעמאלטס גיבט עס אן אירעשאנעל נומער פון 1.20205... עס ווערט גערופן עפּערי׳ס קאנסטענט. עס קומט ארויף אין קוואנטום פיזיקס וואו עס איז די גייראמאגנעטישע רעישיאו פונעם עלעקטראן. דהיינו, די רעישיאו פון איר מאגנעטישע מאמענט [כח] צו איר ענגולער [דרייעדיגע] מאמענטום. ווי אויך קומט עס ארויף אין אנדערע ערטער.
***
ובנוגע סיִקווענסעס, נישט דוקא סיריִס וואו איך עדד אלע וועליוּס, איז דא די קאלאטץ קאנדזשעקטשור. דאס איז אויף א סיִקווענס ווי פאלגענד: איך הייב אן מיט א פּאזיטיווע אינטעדזשער. דערנאך אויב איז די נומער איִווען איז די נעקסטע נומער האלב דערפון, און אויב איז די נומער אַדד איז די נעקסטע נומער 3 מאל דאס און נאכדעם לייג איך צו 1. ועפ״י די געזעצן גיי איך אזוי ווייטער און ווייטער, לייגענדיג צו נומערן ווענדענדיג זיך אין ווי אזוי די נומער פאר דעם איז צו ס׳איז איִווען אדער אַדד. די קאנדזשעקטשור לויטעט אז נישט קיין חילוק מיט וועלכע נומער איך גיי אנהייבן גייט די סיִקווענס אלס אנקומען צום נומער 1.
דער מאטעמאטיקער דר. פּאָל ערדאס האט געזאגט אז ״מאטעמאטיקס איז נאכנישט גרייט פאר אזא פראבלעם״. ער האט צוגעזאגט $500 פאר ווער עס קען עס אויפווייזן.
***
אין דעם געדאנק פון סיִקווענסעס וואס גייען האבן אן אריטמעטיק פּראגרעשאן/פּעטערן פון א געוויסע סומע צווישן איין נומער אינעם צווייטן, איז דא די ערדאס-טוראן קאנדזשעקטשור אויף אריטמעטיק פּראגרעשאנס. דאס לויטעט אז אויב וועט די סיריִס פון די רעסיפּראקעלס פון די סיִקווענס [ווען איך עדד זיי אלע צאם] דיווערדזשען, דעמאלטס איז זיכער דא אין די סיִקווענס אריטמעטיק פּראגרעשאנס/פּעטערנס נישט קיין חילוק ווי גרויס די נומער פון די פּעטערן וואס דו כאפסט אן איז [ס׳איז ארבּיטרערילי גרויס]. מ׳אפפערט $5,000 פאר דער וואס קען דאס אויפווייזן.
למשל, פאר די סעט פון פּריימס ווייסט מען אז דאס איז אמת. אין דעם איז דא די גרין-טאַוּ טעארעם. דאס האט אויפגעוואוזן אז אין די סיִקווענס פון אלע פּריים נומערן וועט מען אלעמאל קענען טרעפן אן אריטמעטיק פּראגרעשאן/פּעטערן פון עני נומער מ׳וויל צווישן א קאַנסעקיוּטיוו צאל פון געוויסע פּריימס (אין די סדר וכו׳). די רעסיפּראקעלס פון די פּריימס ווען מ׳עדד זיי צאם טוהן זיי דיווערדזשען.
דער פראנצויזישער מאטעמאטיקער דר. ראדזשער עפּערי האט אויפגעוואוזן אז ווען עס איז דריי, ζ(3), דעמאלטס גיבט עס אן אירעשאנעל נומער פון 1.20205... עס ווערט גערופן עפּערי׳ס קאנסטענט. עס קומט ארויף אין קוואנטום פיזיקס וואו עס איז די גייראמאגנעטישע רעישיאו פונעם עלעקטראן. דהיינו, די רעישיאו פון איר מאגנעטישע מאמענט [כח] צו איר ענגולער [דרייעדיגע] מאמענטום. ווי אויך קומט עס ארויף אין אנדערע ערטער.
***
ובנוגע סיִקווענסעס, נישט דוקא סיריִס וואו איך עדד אלע וועליוּס, איז דא די קאלאטץ קאנדזשעקטשור. דאס איז אויף א סיִקווענס ווי פאלגענד: איך הייב אן מיט א פּאזיטיווע אינטעדזשער. דערנאך אויב איז די נומער איִווען איז די נעקסטע נומער האלב דערפון, און אויב איז די נומער אַדד איז די נעקסטע נומער 3 מאל דאס און נאכדעם לייג איך צו 1. ועפ״י די געזעצן גיי איך אזוי ווייטער און ווייטער, לייגענדיג צו נומערן ווענדענדיג זיך אין ווי אזוי די נומער פאר דעם איז צו ס׳איז איִווען אדער אַדד. די קאנדזשעקטשור לויטעט אז נישט קיין חילוק מיט וועלכע נומער איך גיי אנהייבן גייט די סיִקווענס אלס אנקומען צום נומער 1.
דער מאטעמאטיקער דר. פּאָל ערדאס האט געזאגט אז ״מאטעמאטיקס איז נאכנישט גרייט פאר אזא פראבלעם״. ער האט צוגעזאגט $500 פאר ווער עס קען עס אויפווייזן.
***
אין דעם געדאנק פון סיִקווענסעס וואס גייען האבן אן אריטמעטיק פּראגרעשאן/פּעטערן פון א געוויסע סומע צווישן איין נומער אינעם צווייטן, איז דא די ערדאס-טוראן קאנדזשעקטשור אויף אריטמעטיק פּראגרעשאנס. דאס לויטעט אז אויב וועט די סיריִס פון די רעסיפּראקעלס פון די סיִקווענס [ווען איך עדד זיי אלע צאם] דיווערדזשען, דעמאלטס איז זיכער דא אין די סיִקווענס אריטמעטיק פּראגרעשאנס/פּעטערנס נישט קיין חילוק ווי גרויס די נומער פון די פּעטערן וואס דו כאפסט אן איז [ס׳איז ארבּיטרערילי גרויס]. מ׳אפפערט $5,000 פאר דער וואס קען דאס אויפווייזן.
למשל, פאר די סעט פון פּריימס ווייסט מען אז דאס איז אמת. אין דעם איז דא די גרין-טאַוּ טעארעם. דאס האט אויפגעוואוזן אז אין די סיִקווענס פון אלע פּריים נומערן וועט מען אלעמאל קענען טרעפן אן אריטמעטיק פּראגרעשאן/פּעטערן פון עני נומער מ׳וויל צווישן א קאַנסעקיוּטיוו צאל פון געוויסע פּריימס (אין די סדר וכו׳). די רעסיפּראקעלס פון די פּריימס ווען מ׳עדד זיי צאם טוהן זיי דיווערדזשען.
- מי אני
- שריפטשטעלער

- הודעות: 5784
- זיך רעגיסטרירט: פרייטאג אקטאבער 05, 2018 4:32 pm
- האט שוין געלייקט: 12391 מאל
- האט שוין באקומען לייקס: 8057 מאל
עס איז אויך אינטרעסאנט צו באמערקן אין דעם געביט בּרוּן׳ס טעארעם. דאס לויטעט אז אויב מאך איך א סיריִס פון די רעסיפּראקעלס פון אלע צווילינג פּריימס [צוויי פּריימס וואס זענען אפגערוקט איינע פונעם צווייטן מיט נאר איין (איִווען) נישט-פּריים נומער אינדערמיט] גייט דאס קאנווערדזשען צו א ספעציפישע נומער; בּרוּן׳ס קאנסטענט. אויב איז די צווילינג פּריים קאנדזשעקטשור אמת, אז עס זענען דא אן אינפיניט צאל פון די סארט פּריימס, דעמאלטס וועט די קאנסטענט/נומער זיין אירעשאנעל.
***
בנוגע סיריִס איז דא די ערדאס דיסקרעפּענסי פּראבלעם. דאס לויטעט אזוי: אויב האב איך א סיריִס פון +1׳ס און -1׳ס ביז א געוויסע צאל וואס איך שטעל אויס און א געוויסע סדר, דערנאך שטעל איך אויס אין דעם אן אריטמעטיק פּראגרעשאן, והיינו אז איך ״שפרינג איבער״ יעדעס מאל א געוויסע צאל פון וועליוּס דערין, וועט עס עווענטועל אלס אויסקומען, נישט קיין חילוק אינעם סדר און אין די שפרינגען, צו סיגניפיקענטלי ווייטער פון 0; פאזיטיוו אדער נעגאטיוו [א הויכע דיסקרעפּענסי]. דער מאטעמאטיקער דר. טערענס טאַוּ האט דאס אויפגעוואוזן.
***
בנוגע סיריִס איז דא די ערדאס דיסקרעפּענסי פּראבלעם. דאס לויטעט אזוי: אויב האב איך א סיריִס פון +1׳ס און -1׳ס ביז א געוויסע צאל וואס איך שטעל אויס און א געוויסע סדר, דערנאך שטעל איך אויס אין דעם אן אריטמעטיק פּראגרעשאן, והיינו אז איך ״שפרינג איבער״ יעדעס מאל א געוויסע צאל פון וועליוּס דערין, וועט עס עווענטועל אלס אויסקומען, נישט קיין חילוק אינעם סדר און אין די שפרינגען, צו סיגניפיקענטלי ווייטער פון 0; פאזיטיוו אדער נעגאטיוו [א הויכע דיסקרעפּענסי]. דער מאטעמאטיקער דר. טערענס טאַוּ האט דאס אויפגעוואוזן.
- מי אני
- שריפטשטעלער

- הודעות: 5784
- זיך רעגיסטרירט: פרייטאג אקטאבער 05, 2018 4:32 pm
- האט שוין געלייקט: 12391 מאל
- האט שוין באקומען לייקס: 8057 מאל
איידאניעל נומערן
דער מאטעמאטיקער לעאנארד אוילער האט קלאסיפיצירט א סוג פון נומערן אלס איידאניעל נומערן. איינע פון די וועגן וויאזוי דאס צו פארשטיין איז אז דאס זענען נומערן וואס קענען נישט צושטאנד קומען דורך אזא סארט פראצעדור: איך נעם דריי אנדערע געהעריגע גאנצע נומערן [פאזיטיווע אינטעדזשערס] און איך מאָלטיפליי די ערשטע מיט די צווייטע, די צווייטע מיט די דריטע, און די ערשטע מיט די דריטע. דערנאך עדד איך זיי אלע צוזאמען. אויב איז נישט מעגליך דורך אזא סארט פראצעדור צוצוקומען צו א געוויסע נומער, נישט קיין חילוק וועלעכע דריי נומערן איך גיי וועלן, איז יענע נומער אן איידאניעל נומער.
מיט אזא סארט איידאניעל נומער אויב איז דא א נומער וואס עס איז נאר דא איין וועג פון צוקומען דערצו דורכ׳ן נעמען א נומער און עס סקווערן און דערנאך מאָלטיפּלייען עס ביי אן איידאניעל נומער, און דערנאך נעמען אן אנדערע נומער און עס סקווערן און דערנאך זיי צאמעדדן צוזאמען, וועט די נומער אדער זיין א סומע פון א פּריים וואס מ׳האט געסקווערד אדער צוויי מאל א פּריים וואס מ׳האט געסקווערד. דאס איז אבער אין אזא פאל וואו די צוויי נומערן וואס מ׳האט צאמגעעעד [די נומער וואס מ׳האט געסקווערד, און די אנדערע נומער וואס מ׳האט געסקווערד און מאָלטיפּלייט ביי די איידאניעל נומער] האבן נישט קיינע אייניגע פּריים פאקטארן ביי וואס מ׳קען זיי דיוויידן.
אוילער און פרידריך גאַוּס האבן צאמגעשטעלט א ליסטע פון 65 אזעלכע נומערן. מ׳ווייסט נישט אויב עס איז דא א זעקס-און-זעכציגסטע. אזוי פיל האט דר. פּיִטער וויינבערגער אויפגעוואוזן אז מער ווי 66 איז זיכער נישט דא. אויב איז די ריעמאן היפאטעזיע אמת וועט אויסקומען אז עס איז טאקע נישט דא מער ווי 65 אזעלכע נומערן.
מיט אזא סארט איידאניעל נומער אויב איז דא א נומער וואס עס איז נאר דא איין וועג פון צוקומען דערצו דורכ׳ן נעמען א נומער און עס סקווערן און דערנאך מאָלטיפּלייען עס ביי אן איידאניעל נומער, און דערנאך נעמען אן אנדערע נומער און עס סקווערן און דערנאך זיי צאמעדדן צוזאמען, וועט די נומער אדער זיין א סומע פון א פּריים וואס מ׳האט געסקווערד אדער צוויי מאל א פּריים וואס מ׳האט געסקווערד. דאס איז אבער אין אזא פאל וואו די צוויי נומערן וואס מ׳האט צאמגעעעד [די נומער וואס מ׳האט געסקווערד, און די אנדערע נומער וואס מ׳האט געסקווערד און מאָלטיפּלייט ביי די איידאניעל נומער] האבן נישט קיינע אייניגע פּריים פאקטארן ביי וואס מ׳קען זיי דיוויידן.
אוילער און פרידריך גאַוּס האבן צאמגעשטעלט א ליסטע פון 65 אזעלכע נומערן. מ׳ווייסט נישט אויב עס איז דא א זעקס-און-זעכציגסטע. אזוי פיל האט דר. פּיִטער וויינבערגער אויפגעוואוזן אז מער ווי 66 איז זיכער נישט דא. אויב איז די ריעמאן היפאטעזיע אמת וועט אויסקומען אז עס איז טאקע נישט דא מער ווי 65 אזעלכע נומערן.
- הבל וריק
- שריפטשטעלער

- הודעות: 73
- זיך רעגיסטרירט: דאנערשטאג פעברואר 23, 2017 10:46 am
- האט שוין געלייקט: 209 מאל
- האט שוין באקומען לייקס: 826 מאל
Re: דאס ריעמאן זעטאַ פאָנקשען און דאס ריעמאן היפאטעזיע
@מי אני דו גייסט כאפן פראסקעס פאר דעם.
א מין פאסיוון שטייגער פון מאכן יענעם שפירן פּלאַטשיק. זייער אפענסיוו דיינע שטאף.
א מין פאסיוון שטייגער פון מאכן יענעם שפירן פּלאַטשיק. זייער אפענסיוו דיינע שטאף.
רעדאגירט געווארן צום לעצט דורך 1 אום הבל וריק, רעדאגירט געווארן איין מאל בסך הכל.
- מי אני
- שריפטשטעלער

- הודעות: 5784
- זיך רעגיסטרירט: פרייטאג אקטאבער 05, 2018 4:32 pm
- האט שוין געלייקט: 12391 מאל
- האט שוין באקומען לייקס: 8057 מאל
ייש"כ. איך נעם דאס אן אלס א "מתוך גנותו בא לידי שבחו"...
א חלק פון מיין מטרה אין עפענען די אשכול איז געווען ווייל איך האב געהאלטן (און האלט נאך אלס) אז עס פאסט פאר די אינטעלעקטואלע האָבּ פון חרדי'שע אידענטום צו האבן אן ארטיקל/אשכול/דיסקוסיע איבער דעם באקאנטן אפענעם מאטעמאטישע פראבלעם. מיינענדיג, לדעתי דארף עס צו זיין א כבוד פאר די חבירים דא אז עס איז דא אן אשכול אויף די נושא. און פארשטייט זיך אז מיין מטרה, אפילו אינדירעקט, איז בוודאי נישט צו מאכן מענטשן שפירן שלעכט. אויב איז דא איינער וואס פיהלט טאקע אזוי (ערענסט גערעדט...
) בעהט איך אנטשולדיגונג.
איך האב דאס פרובירט דאס בעסטע מסביר צו זיין (וכאמור, בקוצר אמרים) ווי ווייט מעגליך. וכמובן, בין איך אליין ווייט ווייט נישט קיין מומחה דערין בכלל.
א חלק פון מיין מטרה אין עפענען די אשכול איז געווען ווייל איך האב געהאלטן (און האלט נאך אלס) אז עס פאסט פאר די אינטעלעקטואלע האָבּ פון חרדי'שע אידענטום צו האבן אן ארטיקל/אשכול/דיסקוסיע איבער דעם באקאנטן אפענעם מאטעמאטישע פראבלעם. מיינענדיג, לדעתי דארף עס צו זיין א כבוד פאר די חבירים דא אז עס איז דא אן אשכול אויף די נושא. און פארשטייט זיך אז מיין מטרה, אפילו אינדירעקט, איז בוודאי נישט צו מאכן מענטשן שפירן שלעכט. אויב איז דא איינער וואס פיהלט טאקע אזוי (ערענסט גערעדט...
איך האב דאס פרובירט דאס בעסטע מסביר צו זיין (וכאמור, בקוצר אמרים) ווי ווייט מעגליך. וכמובן, בין איך אליין ווייט ווייט נישט קיין מומחה דערין בכלל.
- מי אני
- שריפטשטעלער

- הודעות: 5784
- זיך רעגיסטרירט: פרייטאג אקטאבער 05, 2018 4:32 pm
- האט שוין געלייקט: 12391 מאל
- האט שוין באקומען לייקס: 8057 מאל
קריטיקעל ליניע
מ׳קען דאס מסביר זיין אויף א וויזשוּאלן אופן. אין מאטעמאטיקס [אלגעברא] איז באקאנט דאס געדאנק פון קארטיִזשיִען קאָאָרדינעטס; א גרעף. דאס איז אז איך שטעל אויס א האריזאנטעל ליין מיט אלע נומערן, נעגאטיוו צו לינקס און פאזיטיוו צו רעכטס. דערנאך שטעל איך אויס אויף דעם א ווערטיקעל ליין מיט אלע נומערן, נעגאטיוו צו אראפ און פאזיטיוו צו ארויף. כזה:
און ווען מען וויל ווייזן א פונקט אויף דעם 2D פּלעין באקומט יעדעס פונקט צוויי נומערן; איינס פאר רעכטס/לינקס [גערופן די x וועריעבּל] און איינס פאר אויבן/אראפ [גערופן די y וועריעבּל]. ולמשל, אויב האב איך די פונקט וואס האט [2, 4-] מיינט דאס אז די ערשטע נומער וואס איז 4- צייל איך צו לינקס 4 פלעצער אויף דעם גריד/גרעף, און די צווייטע נומער וואס איז 2 מיינט אז איך צייל יעצט ארויף 2 פלעצער אויפ׳ן גריד/גרעף און דארט איז מיין פונקט. (דאס קען פארברייטערט ווערן צו 3D וואו יעדעס פונקט האט אויך א דריטע נומער [וועריעבּל z] וואס ווייזט אויפ׳ן טיפקייט פונעם פונקט.)
ווען מען האנדעלט מיט קאמפּלעקס נומערן נוצט מען אן ענליכן געדאנק. דהיינו, אלע ״עכטע״ נומערן ליגן דאך אויף א 1D נומער ליין, וואס איך זאג אז עס איז האריזאנטעל. דערנאך זאג איך אז די אימעדזשינערי נומערן, וואס געפינען זיך נישט דערויף, געפינען זיך אויך זייער אייגענע ווערטיקעל ליין. איז צו דעמאנסטרירן א קאמפּלעקס נומער, וואס איז צאמגעשטעלט פון סיי אן עכטע חלק און סיי אן אימעדזשינערי חלק, איז גייט דאס ווערן דעמאנסטרירט אלס א 2D פונקט: די עכטע חלק צו ״רעכטס/לינקס״ און די אימעדזשינערי חלק צו ״אויבן/אראפ״. (דערנאך קען מען דאס צאמשטעלן מיט אן אלגעמיינעם 2D גרעף, וואס יעדעס פונקט אליין פארמאגט צוויי נומערן וואס זענען אליין קאמפּלעקס נומערן, דורך עפעס וואס רופט זיך א ריעמאן מעניפאלד.)
איז לפי״ז קען מען צייגן וואס די ריעמאן היפאטעזיע זאגט, אז אלע [נאן-טריוויעל] זעראס פונעם זעטא פאָנקשען (וואס האבן אן אימעדזשינערי חלק וואס איז נישט 0) וועלן דאך מוזן האבן 1/2 אלס זייער עכטע חלק, וממילא וועלן זיי אלע ליגן, ווען איך צייג דאס אלס א גרעף כנ״ל, אין די הייעך נאר אין א גראדע ליניע וואו די האריזאנטעל ״עכטע״ ליניע איז 1/2. דאס ווערט גערופן די קריטיקעל ליניע. דאס איז א בילד דערפון:
און ווען מען וויל ווייזן א פונקט אויף דעם 2D פּלעין באקומט יעדעס פונקט צוויי נומערן; איינס פאר רעכטס/לינקס [גערופן די x וועריעבּל] און איינס פאר אויבן/אראפ [גערופן די y וועריעבּל]. ולמשל, אויב האב איך די פונקט וואס האט [2, 4-] מיינט דאס אז די ערשטע נומער וואס איז 4- צייל איך צו לינקס 4 פלעצער אויף דעם גריד/גרעף, און די צווייטע נומער וואס איז 2 מיינט אז איך צייל יעצט ארויף 2 פלעצער אויפ׳ן גריד/גרעף און דארט איז מיין פונקט. (דאס קען פארברייטערט ווערן צו 3D וואו יעדעס פונקט האט אויך א דריטע נומער [וועריעבּל z] וואס ווייזט אויפ׳ן טיפקייט פונעם פונקט.)
ווען מען האנדעלט מיט קאמפּלעקס נומערן נוצט מען אן ענליכן געדאנק. דהיינו, אלע ״עכטע״ נומערן ליגן דאך אויף א 1D נומער ליין, וואס איך זאג אז עס איז האריזאנטעל. דערנאך זאג איך אז די אימעדזשינערי נומערן, וואס געפינען זיך נישט דערויף, געפינען זיך אויך זייער אייגענע ווערטיקעל ליין. איז צו דעמאנסטרירן א קאמפּלעקס נומער, וואס איז צאמגעשטעלט פון סיי אן עכטע חלק און סיי אן אימעדזשינערי חלק, איז גייט דאס ווערן דעמאנסטרירט אלס א 2D פונקט: די עכטע חלק צו ״רעכטס/לינקס״ און די אימעדזשינערי חלק צו ״אויבן/אראפ״. (דערנאך קען מען דאס צאמשטעלן מיט אן אלגעמיינעם 2D גרעף, וואס יעדעס פונקט אליין פארמאגט צוויי נומערן וואס זענען אליין קאמפּלעקס נומערן, דורך עפעס וואס רופט זיך א ריעמאן מעניפאלד.)
איז לפי״ז קען מען צייגן וואס די ריעמאן היפאטעזיע זאגט, אז אלע [נאן-טריוויעל] זעראס פונעם זעטא פאָנקשען (וואס האבן אן אימעדזשינערי חלק וואס איז נישט 0) וועלן דאך מוזן האבן 1/2 אלס זייער עכטע חלק, וממילא וועלן זיי אלע ליגן, ווען איך צייג דאס אלס א גרעף כנ״ל, אין די הייעך נאר אין א גראדע ליניע וואו די האריזאנטעל ״עכטע״ ליניע איז 1/2. דאס ווערט גערופן די קריטיקעל ליניע. דאס איז א בילד דערפון:
- מי אני
- שריפטשטעלער

- הודעות: 5784
- זיך רעגיסטרירט: פרייטאג אקטאבער 05, 2018 4:32 pm
- האט שוין געלייקט: 12391 מאל
- האט שוין באקומען לייקס: 8057 מאל
ריעמאן סיריִס [ריערעינדזשמענט] טעארעם
אינעם געדאנק פון סיריִס און דאס צו זיי קאנווערדזשען אדער דייווערדזשען איז אינטרעסאנט צוצוצייכענען צו נאך א טעארעם פון בערנהארד ריעמאן. צום ערשט דארף מען וויסן אז עס איז דא א חילוק צווישן אבסאלוט קאנווערדזשענס און קאנדישאנאל קאנווערדזשענס. דאס מיינט אז ווען איך האב א סיריִס, וואס האט טערמינען וואס זענען סיי פאזיטיוו און סיי נעגאטיוו, וואס טוהט טאקע קאנווערדזשען, אבער טאמער גיי איך נישט קוקען אויף דעם און איך גיי (צאמ)רעכענען אלע טערמינען דערין כאילו זיי זענען אלע פאזיטיוו [איך גיי נאר רעכענען זייערע אבסאלוט וועליוּ] גייט דאס דעמאלטס דייווערדזשען, דעמאלטס איז די סיריִס קאנדישאנאלי קאנווערדזשענט. אויב אבער גייט דאס אפילו דעמאלטס נאך אלס קאנווערדזשען איז דאס אבסאלוטלי קאנווערדזשענט.
די טעארעם, גערופן די ריעמאן סיריִס [ריערעינדזשמענט] טעארעם, לויטעט אז טאמער איז די סיריִס קאנדישאנאלי קאנווערדזשענט, מיינט דאס אז די סדר פון די טערמינען דערין מאכן יא א חילוק אין צו וואס דאס גייט קאנווערדזשען אנדערש פון די אלגעמיינע באקאנטע קאמיוּטעטיוו געזעץ פון עדישאן אקסיאם וואס לויטעט אז ביים עדדן טערמינען צוזאמען מאכט נישט קיין חילוק די סדר פון די טערמינען צום ענדגילדיגן ענטפער/סומע, און איך גיי קענען ריערעינדזשען/אויסשטעלן די סדר פון די טערמינען צו באקומען א קאנווערדזשענס דערפון פון עני נומער איך בין בוחר אדער גאר א דייווערדזשענס.
די טעארעם, גערופן די ריעמאן סיריִס [ריערעינדזשמענט] טעארעם, לויטעט אז טאמער איז די סיריִס קאנדישאנאלי קאנווערדזשענט, מיינט דאס אז די סדר פון די טערמינען דערין מאכן יא א חילוק אין צו וואס דאס גייט קאנווערדזשען אנדערש פון די אלגעמיינע באקאנטע קאמיוּטעטיוו געזעץ פון עדישאן אקסיאם וואס לויטעט אז ביים עדדן טערמינען צוזאמען מאכט נישט קיין חילוק די סדר פון די טערמינען צום ענדגילדיגן ענטפער/סומע, און איך גיי קענען ריערעינדזשען/אויסשטעלן די סדר פון די טערמינען צו באקומען א קאנווערדזשענס דערפון פון עני נומער איך בין בוחר אדער גאר א דייווערדזשענס.
- מי אני
- שריפטשטעלער

- הודעות: 5784
- זיך רעגיסטרירט: פרייטאג אקטאבער 05, 2018 4:32 pm
- האט שוין געלייקט: 12391 מאל
- האט שוין באקומען לייקס: 8057 מאל
מעיטריסיִס
אין מאטעמאטיקס איז דא א מסכת פון א מאטעמאטישע ענטיטי וואס ווערט גערופן א מעיטריקס. דאס איז א סעט פון נומערן אויסגעשטעלט אין רוֺיס [אין די ברייט] און אין קאלומנס [אין די הייעך/ארויף-אראפ]. למשל א 3x3 מעיטריקס איז כזה:
|3 2 1|
|6 5 4|
|9 8 7|
אויב איז דאס א סקווער מעיטריקס, וואו די סומע פון די נומערן אין די רוֺיס [ברייט] איז די זעלבע ווי די אין די קאלומנס [הייעך], דעמאלטס האט דאס א דעטערמינענט, וואס איז איין נומער וואס צייגט צו א סארט ״כאראקטעריסטיק״ פון די מעיטריקס. (ווען די ברייט/הייעך פונעם מעיטריקס איז נאר 2 איז דאס די פראדוקט פון ווען איך מאלטיפליי די צוויי נומערן אין די דייעגאנאל/אלכסון שורה דערין וואס לויפן פון לינקס אויבן ביז רעכטס אונטן [גערופן די מעין דייעגאנאל], און איך מיינוס דערפון די פראדוקט פון די צוויי נומערן אינעם אנדערן אלכסון. ביי גרעסערע סקווער מעיטריסיִס ווערט עס מער קאמפליצירט, אבער עס בויט זיך בעצם אויפ׳ן געדאנק פון ווי אזוי איך טרעף צוויי-ביי-צוויי דעטערמינענטס בתוך דעם גרעסערן מעיטריקס וואס ווערן גערופן אירע מיינארס.) דאס איז מקושר צו דאס וואס ווערט גערופן די טרעיס פונעם מעיטריקס וואס איז די סומע ווען איך עדד צאם די נומערן אין די דייעגאנאל/אלכסון שורה דערין וואס לויפן פון לינקס אויבן ביז רעכטס אונטן.
א סקווער מעיטריקס וועט אויך האבן א כאראקטעריסטיק פּאלינאמיעל. צום ערשט דארף מען מסביר זיין דאס געדאנק פון אן איידענטיטי מעיטריקס. דאס איז א סקווער מעיטריקס וואו די מעין דייאגאנאל זענען אלע נומער 1 און אלע איבעריגע עלעמענטס דערינען זענען 0. דא וועט די מעין דייאגאנאל אנשטאט 1 זיין x. יעצט מיינוס איך יעדעס עלעמענט אין אונזער סקווער מעיטריקס פונעם איידענטיטי מעיטריקס (מיט די x׳ס אנשטאט די 1׳ס) וואס איז די זעלבע גרויס. דהיינו, די עלעמענט וואס איז אין א געוויסע פלאץ אין אונזער סקווער מעיטריקס מיינוס איך פון די נומער אין די זעלבע מקום אינעם איידענטיטי מעיטריקס. דערנאך נעם איך די דעטערמינענט פונעם נייעם מעיטריקס וואס איך האב דאדורך באקומען און דאס (וויבאלד עס האט x אנשטאט 1 אין עס) וועט אויסקומען צו א פּאלינאמיעל; דאס איז די כאראקטעריסטיק פּאלינאמיעל פון די מעיטריקס. עס וועט אויסקומען אז ווי גרויס אין ברייט/הויך די מעיטריקס איז, אזוי הויך וועט זיין די דעגרי/העכסטע עקספּאנענט פון די כאראקטעריסטיק פּאלינאמיעל. ווי אויך וועלן די טרעיס און די דעטערמינענט פונעם אריגינעלן מעיטריקס זיין קאָעפישענטס, באהאפטן צו די x׳ס דערינען אינעם כאראקטעריסטיק פּאלינאמיעל.
ווען איך סאַלוו די פּאלינאמיעל (עיין בהלינק הנ״ל קצת בזה, ועיין ג״כ כאן) צו באקומען די רוטס דערפון גייען די נומערן זיין די אייגענוועליוּס פון די אריגינעלע מעיטריקס. ווען איך עדד צאם די אייגענוועליוּס וועט די סומע זיין די טרעיס פונעם מעיטריקס.
עס איז דא א סארט סקווער מעיטריקס וואס ווערט גערופן א הערמיטיען מעיטריקס. דאס איז אזא סארט מעיטריקס וואס האט אין זיך קאמפּלעקס נומערן אלס עלעמענטס, און אויב, לא׳מיר זאגן, וועט די עלעמענט וואס איז אין רוֺי 2 קאלומן 3 זיין אן עכטע נומער פּלאָס אן אימעדזשינערי נומער, וועט די נומער אין רוֺי 3 קאלומן 2 זיין יענע עכטע נומער מיינוס יענע אימעדזשינערי נומער; אין אנדערע ווערטער, איר קאנדזשוגעט וועט ליגן אויפ׳ן אַרט וואו איך טויש אויף די קאלומן פלאץ פאר׳ן רוֺי פלאץ און די רוֺי פלאץ פאר׳ן קאלומן פלאץ. עס וועט אויסקומען אז די קאנדזשוגעטס וועלן זיין סימעטריש און ״איבערגעפליפּט״ צום מעין דייאגאנאל. די מעין דייאגאנאל אליין וועט נאר זיין דערינען עכטע נומערן ווייל אזוי איז עס איר אייגענע קאנדזשוגעט; איר אימעדזשינערי חלק איז 0 [וואס 0 איז נישט פאזיטיוו און נישט נעגאטיוו, וממילא איז עס איר אייגענע קאנדזשוגעט]. דא איז א משל פון א 4x4 הערמיטיען מעיטריקס:
ביי א הערמיטיען מעיטריקס וועלן אירע אייגענוועליוּס אלעמאל זיין ״עכטע״ נומערן.
דאס קומט זיך צאם מיט די ריעמאן היפאטעזיע דורך די הילבערט-פּאָליאַ קאנדזשעקטשור. דאס זאגט אז די נאן-טריוויעל זעראס פון די ריעמאן זעטא פאָנקשען (אננעמענדיג אז די ריעמאן היפאטעזיע איז אמת), וואס גייען דאך אלעמאל זיין 1/2 מיט עפעס אן אימעדזשינערי נומער, גייט די עכטע/געהעריגע נומער פון די אימעדזשינערי נומער [אן די i] זיין אן אייגענוועליוּ פון עפעס א הערמיטיען מעיטריקס. דר. דזשארדזש פּאָליאַ האט דאדורך מקשר געווען די היפאטעזיע מיט קוואנטום פיזיקס, ווייל ער האט געוואוזן אז דאס וועט לויטן אז די העמילטאָניען, א מין נומער/פאָנקשען איבער די ענערגיעס פון א קוואנטום סיסטעם, זענען הערמיטיען ומקושר צום היפאטעזיע כנ״ל.
|3 2 1|
|6 5 4|
|9 8 7|
אויב איז דאס א סקווער מעיטריקס, וואו די סומע פון די נומערן אין די רוֺיס [ברייט] איז די זעלבע ווי די אין די קאלומנס [הייעך], דעמאלטס האט דאס א דעטערמינענט, וואס איז איין נומער וואס צייגט צו א סארט ״כאראקטעריסטיק״ פון די מעיטריקס. (ווען די ברייט/הייעך פונעם מעיטריקס איז נאר 2 איז דאס די פראדוקט פון ווען איך מאלטיפליי די צוויי נומערן אין די דייעגאנאל/אלכסון שורה דערין וואס לויפן פון לינקס אויבן ביז רעכטס אונטן [גערופן די מעין דייעגאנאל], און איך מיינוס דערפון די פראדוקט פון די צוויי נומערן אינעם אנדערן אלכסון. ביי גרעסערע סקווער מעיטריסיִס ווערט עס מער קאמפליצירט, אבער עס בויט זיך בעצם אויפ׳ן געדאנק פון ווי אזוי איך טרעף צוויי-ביי-צוויי דעטערמינענטס בתוך דעם גרעסערן מעיטריקס וואס ווערן גערופן אירע מיינארס.) דאס איז מקושר צו דאס וואס ווערט גערופן די טרעיס פונעם מעיטריקס וואס איז די סומע ווען איך עדד צאם די נומערן אין די דייעגאנאל/אלכסון שורה דערין וואס לויפן פון לינקס אויבן ביז רעכטס אונטן.
א סקווער מעיטריקס וועט אויך האבן א כאראקטעריסטיק פּאלינאמיעל. צום ערשט דארף מען מסביר זיין דאס געדאנק פון אן איידענטיטי מעיטריקס. דאס איז א סקווער מעיטריקס וואו די מעין דייאגאנאל זענען אלע נומער 1 און אלע איבעריגע עלעמענטס דערינען זענען 0. דא וועט די מעין דייאגאנאל אנשטאט 1 זיין x. יעצט מיינוס איך יעדעס עלעמענט אין אונזער סקווער מעיטריקס פונעם איידענטיטי מעיטריקס (מיט די x׳ס אנשטאט די 1׳ס) וואס איז די זעלבע גרויס. דהיינו, די עלעמענט וואס איז אין א געוויסע פלאץ אין אונזער סקווער מעיטריקס מיינוס איך פון די נומער אין די זעלבע מקום אינעם איידענטיטי מעיטריקס. דערנאך נעם איך די דעטערמינענט פונעם נייעם מעיטריקס וואס איך האב דאדורך באקומען און דאס (וויבאלד עס האט x אנשטאט 1 אין עס) וועט אויסקומען צו א פּאלינאמיעל; דאס איז די כאראקטעריסטיק פּאלינאמיעל פון די מעיטריקס. עס וועט אויסקומען אז ווי גרויס אין ברייט/הויך די מעיטריקס איז, אזוי הויך וועט זיין די דעגרי/העכסטע עקספּאנענט פון די כאראקטעריסטיק פּאלינאמיעל. ווי אויך וועלן די טרעיס און די דעטערמינענט פונעם אריגינעלן מעיטריקס זיין קאָעפישענטס, באהאפטן צו די x׳ס דערינען אינעם כאראקטעריסטיק פּאלינאמיעל.
ווען איך סאַלוו די פּאלינאמיעל (עיין בהלינק הנ״ל קצת בזה, ועיין ג״כ כאן) צו באקומען די רוטס דערפון גייען די נומערן זיין די אייגענוועליוּס פון די אריגינעלע מעיטריקס. ווען איך עדד צאם די אייגענוועליוּס וועט די סומע זיין די טרעיס פונעם מעיטריקס.
עס איז דא א סארט סקווער מעיטריקס וואס ווערט גערופן א הערמיטיען מעיטריקס. דאס איז אזא סארט מעיטריקס וואס האט אין זיך קאמפּלעקס נומערן אלס עלעמענטס, און אויב, לא׳מיר זאגן, וועט די עלעמענט וואס איז אין רוֺי 2 קאלומן 3 זיין אן עכטע נומער פּלאָס אן אימעדזשינערי נומער, וועט די נומער אין רוֺי 3 קאלומן 2 זיין יענע עכטע נומער מיינוס יענע אימעדזשינערי נומער; אין אנדערע ווערטער, איר קאנדזשוגעט וועט ליגן אויפ׳ן אַרט וואו איך טויש אויף די קאלומן פלאץ פאר׳ן רוֺי פלאץ און די רוֺי פלאץ פאר׳ן קאלומן פלאץ. עס וועט אויסקומען אז די קאנדזשוגעטס וועלן זיין סימעטריש און ״איבערגעפליפּט״ צום מעין דייאגאנאל. די מעין דייאגאנאל אליין וועט נאר זיין דערינען עכטע נומערן ווייל אזוי איז עס איר אייגענע קאנדזשוגעט; איר אימעדזשינערי חלק איז 0 [וואס 0 איז נישט פאזיטיוו און נישט נעגאטיוו, וממילא איז עס איר אייגענע קאנדזשוגעט]. דא איז א משל פון א 4x4 הערמיטיען מעיטריקס:
ביי א הערמיטיען מעיטריקס וועלן אירע אייגענוועליוּס אלעמאל זיין ״עכטע״ נומערן.
דאס קומט זיך צאם מיט די ריעמאן היפאטעזיע דורך די הילבערט-פּאָליאַ קאנדזשעקטשור. דאס זאגט אז די נאן-טריוויעל זעראס פון די ריעמאן זעטא פאָנקשען (אננעמענדיג אז די ריעמאן היפאטעזיע איז אמת), וואס גייען דאך אלעמאל זיין 1/2 מיט עפעס אן אימעדזשינערי נומער, גייט די עכטע/געהעריגע נומער פון די אימעדזשינערי נומער [אן די i] זיין אן אייגענוועליוּ פון עפעס א הערמיטיען מעיטריקס. דר. דזשארדזש פּאָליאַ האט דאדורך מקשר געווען די היפאטעזיע מיט קוואנטום פיזיקס, ווייל ער האט געוואוזן אז דאס וועט לויטן אז די העמילטאָניען, א מין נומער/פאָנקשען איבער די ענערגיעס פון א קוואנטום סיסטעם, זענען הערמיטיען ומקושר צום היפאטעזיע כנ״ל.
- מי אני
- שריפטשטעלער

- הודעות: 5784
- זיך רעגיסטרירט: פרייטאג אקטאבער 05, 2018 4:32 pm
- האט שוין געלייקט: 12391 מאל
- האט שוין באקומען לייקס: 8057 מאל
גאַוּסיען און אייזענשטיין אינטעדזשערס
עס איז אינטרעסאנט אנצומערקן אז אינערהאלב קאמפּלעקס נומערן זענען דא סוגים. איין סוג ווערט אנגערופן גאַוּסיען אינטעדזשערס. דאס זענען קאמפּלעקס נומערן וואס סיי די ״עכטע״ חלק און סיי די אימעדזשינערי חלק זענען גאנצע אינטעדזשערס [גאנצע פאזיטיווע אדער נעגאטיווע נומערן]. עס גייט אויסקומען אז ווען מ׳פּלאַט זיי אויף א קאמפּלעקס גרעף כנ״ל וועלן זייערע פּינטעלעך שאפן סקווערס איינס ביחס צום צווייטן.
דערנאך זענען דא אייזענשטיין אינטעדזשערס. דאס זענען קאמפּלעקס נומערן וואו די ״עכטע״ חלק איז א גאנצע אינטעדזשער אבער די אימעדזשינערי חלק איז אן אינטעדזשער טיימס e [עיין כאן בסוף התגובה] צו אן עקספאנענט פון א דריטל פון 2 מאל πi [ואגב, עיין כאן]. ווען מ׳פּלאַט די סארט קאמפּלעקס נומערן אויף א קאמפּלעקס גרעף וועלן זייערע פּינטעלעך שאפן טרייענגעלס איינס ביחס צום צווייטן.
דערנאך זענען דא אייזענשטיין אינטעדזשערס. דאס זענען קאמפּלעקס נומערן וואו די ״עכטע״ חלק איז א גאנצע אינטעדזשער אבער די אימעדזשינערי חלק איז אן אינטעדזשער טיימס e [עיין כאן בסוף התגובה] צו אן עקספאנענט פון א דריטל פון 2 מאל πi [ואגב, עיין כאן]. ווען מ׳פּלאַט די סארט קאמפּלעקס נומערן אויף א קאמפּלעקס גרעף וועלן זייערע פּינטעלעך שאפן טרייענגעלס איינס ביחס צום צווייטן.
- מי אני
- שריפטשטעלער

- הודעות: 5784
- זיך רעגיסטרירט: פרייטאג אקטאבער 05, 2018 4:32 pm
- האט שוין געלייקט: 12391 מאל
- האט שוין באקומען לייקס: 8057 מאל
א וויץ אין דעם געדאנק פון סיריִס:
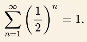
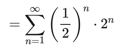
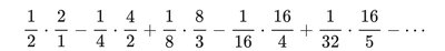
דאס איז ווייל די סיריִס, נאטירט אזוי:
[די n הייבט זיך אן ביי 1 (ווי איידער 0, וואס דעמאלטס וואלט די ערשטע נומער געווען 1 [גאנצע]. והיינו 1/2 געשריבן 1 מאל, צוזאמען מיט 1/2 מאל 1/2 [געשריבן אין מאלטיפליקעישאן 2 מאל], צוזאמען מיט 1/2 מאל 1/2 מאל 1/2, וכן הלאה.] גייט קאנווערדזשען צו 1. דאס איז די זעלבע ווי די ערשטע סיריִס וואס אונז הא׳מיר דערמאנט אינעם אשכול
דאס איז א וויזוּאלע רעפרעזענטאציע פון די סיריִס ווי עס פילט אן א [1] סקווער, אויב עס האט אינפיניט שטיקלעך אזוי.
ועיין כאן.
דאס איז ווייל די סיריִס, נאטירט אזוי:
[די n הייבט זיך אן ביי 1 (ווי איידער 0, וואס דעמאלטס וואלט די ערשטע נומער געווען 1 [גאנצע]. והיינו 1/2 געשריבן 1 מאל, צוזאמען מיט 1/2 מאל 1/2 [געשריבן אין מאלטיפליקעישאן 2 מאל], צוזאמען מיט 1/2 מאל 1/2 מאל 1/2, וכן הלאה.] גייט קאנווערדזשען צו 1. דאס איז די זעלבע ווי די ערשטע סיריִס וואס אונז הא׳מיר דערמאנט אינעם אשכול
וואס דארט קאנווערדזשט עס צו 2, און אונז נעמען אוועק די ערשטע 1 גאנצע.מי אני האט געשריבן:למשל די סיריִס וואו איך האלב און נאכדעם לייג איך צו האלב דערפון אא״וו כזה: 1+1/2+1/4+1/8+1/16 אא״וו בב״ת, אדער די סיריִס פון די רעסיפּראקעלס פון פּאַליגאַנעל נומערן, 1+1/3+1/6+1/10 אא״וו בב״ת, זענען ״קאנווערדזשענט סיריִס״, ווייל זיי גייען עעווענטשועל צוקומען צו א געוויסע וועליוּ [2] וואס פון דארט (אדער אפילו צו דארט) און ווייטער גייט עס ממש וואקסן אומדערקענבאר.
דאס איז א וויזוּאלע רעפרעזענטאציע פון די סיריִס ווי עס פילט אן א [1] סקווער, אויב עס האט אינפיניט שטיקלעך אזוי.
ועיין כאן.
- מי אני
- שריפטשטעלער

- הודעות: 5784
- זיך רעגיסטרירט: פרייטאג אקטאבער 05, 2018 4:32 pm
- האט שוין געלייקט: 12391 מאל
- האט שוין באקומען לייקס: 8057 מאל
רעדענדיג פון סיריִס און סיִקווענסעס איז אינטרעסאנט צו דערמאנען אז עס איז אויך דא דערין דעם געדאנק פון א ריִקורסיוו סיִקווענס. דאס באדייט אז די נומערן אין די סיִקווענס ארבעטן און ווערן דעפינירט ווענדענדיג זיך אין לויט דאס וואס עס קומט פאר זיי בתוך די סיִקווענס גופא. למשל, די פיִבּאָנאטשי סיִקווענס איז אזא סארט סיִקווענס ווייל יעדעס וועליוּ ווענדט זיך אין די סומע פון די צוויי פאר איר. דאס וועט ווערן ארויסגעשריבן:
f(1)=1
f(2)=1
f(n)=(f(n-1))+(f(n-2))
דהיינו, אז צום ערשט ״סיִד״ איך און איך ״זיי אן״ [צוויי] וועליוּס מיט וואס אנצוהויבן דעם סיִקווענס. דערנאך זאג איך אז ביי וועלכע נומער אינעם סיִקווענס דו האלטס ביי נעם די נומער פון איינס פאר דעם און די נומער פון צוויי פאר דעם און לייג זיי צאם און וועסט באקומען דעם נומער וואו דו האלטס יעצט.
f(1)=1
f(2)=1
f(n)=(f(n-1))+(f(n-2))
דהיינו, אז צום ערשט ״סיִד״ איך און איך ״זיי אן״ [צוויי] וועליוּס מיט וואס אנצוהויבן דעם סיִקווענס. דערנאך זאג איך אז ביי וועלכע נומער אינעם סיִקווענס דו האלטס ביי נעם די נומער פון איינס פאר דעם און די נומער פון צוויי פאר דעם און לייג זיי צאם און וועסט באקומען דעם נומער וואו דו האלטס יעצט.
- מי אני
- שריפטשטעלער

- הודעות: 5784
- זיך רעגיסטרירט: פרייטאג אקטאבער 05, 2018 4:32 pm
- האט שוין געלייקט: 12391 מאל
- האט שוין באקומען לייקס: 8057 מאל
די סעינט פּעטערסבורג שפיל
עפעס וואס רירט אויך אן אין דעם געביט איז וואס ווערט גערופן די סעינט פּעטערסבורג פּאראדאקס. דאס איז אז עס איז דא א שפיל וואו א קאסינא זאגט דיר אז ס׳לייגט אריין $2 און דו ווארפסט א מטבע. אויב עס פאלט אויף העדס דעמאלטס געוואונסטו 2 מאל דאס, $4, און די שפיל גייט ווייטער, און אז נישט נעמסטו די $2 און געענדיגט. אויב עס פאלט נאכאמאל אויף העדס געוואונסטו 2 מאל די $4 וואס איז שוין יעצט דא, $8, און מ׳גייט ווייטער. אויב עס פאלט ביין דריטן מאל אויף העדס געוואונסטו 2 מאל דאס, $16, און מ׳גייט ווייטער. וכן הלאה והלאה. ביי יעדעס מאל אויב עס פאלט אויף טעילס נעמסטו וואס דו האסט פארדינט ביז יעצט און די שפיל ענדיגט זיך. די שאלה איז וויפיל זאלסטו זיין גרייט צו צאלן צום קאסינא צו קענען שפילן דעם שפיל? סתם אזוי וואלטן מענטשן געזאגט אז עס איז זיי נישט ווערט צו צאלן $25 דערפאר. אבער אויב מען מאכט א מאטעמאטישע חשבון דערויף איז דאס א סיריִס וואס דייווערדזשט צו אינפיניטי. כזה:
דאס איז ווייל די פראבעביליטי פאר׳ן ערשטן מאל צו פאלן אויף א העדס איז 1/2, ולעומת איר ווערט וואס איז שוין דארט [$2] איז דאס 1 [2 מאל 1/2]. די פראבעביליטי מעיקרא אז עס זאל צוויי מאל נאכאנאנד פאלן אויף העדס [אז דאס שפיל זאל ווייטער גיין] איז 1/4 [ווייל 1/2 מאל 1/2] ולעומת איר ווערט וואס איז שוין דארט [$4] איז עס ווייטער 1 [4 מאל 1/4]. וכן הלאה והלאה, וממילא איז עס א סיריִס פון 1+1+1+1... וואס לויפט ביז ∞ וממילא איז דאס בעצם די עקספּעקטעד וועליוּ פון דאס געוועט, וממילא קומט אויס אז עפ״י מאטעמאטישע ראציאנאל זאל מען זיין גרייט צו גיבן עני פיניט צאל צו שפילן די שפיל.
מ׳האט באמערקט אז די סיריִס איז נישט אזוי פשוט. דאס איז ווייל הגם אז (קהלת ה ט) אוהב כסף לא ישבע כסף איז אבער די יוּטיליטי און וועליוּ פאר׳ן געוואונער פונעם געלט איינמאל ער האט שוין גאר אסאך נישט די זעלבע ווי ווען ער האט אסאך ווייניגער; עס איז נישט די זעלבע ״1״. ואגב, דא האט מען געטראפן אז איינמאל מ׳קומט אן צו פארדינען א געוויסע סכום [די סקווער רוּט פון וויפיל נפשות זענען אינעם הויזגעזונט טיימס $115,000 א יאר] וואקסט נישט די צופרידענהייט פונעם מענטש אלס א פאָנקשען פון געלט. דער מאטעמאטיקער גבריאל קרעימער האט טאקע גע׳טענה׳ט אז מ׳זאל אויסשטעלן די סיריִס אז אנשטאט פון מאָלטיפּלייען יעדע שאנס ביי איר ווערט כנ״ל, זאל מען מאלטיפלייען יעדע שאנס ביי די סקווער רוט פון איר ווערט. אין אזא פאל קאנווערדזשט עס צו בערך 3 און א האלב. מ׳קען דאס אבער טעארעטיש עקסטענדן צו עני סארט יוטיליטי וואס גייט נישט אראפ: למשל אריינלייגן אין א מאשין וואס גיבט תענוג אויף א לעוועל פון 2 צו די עקספּאנענט צו וויפיל מאל איך בין אנגעקומען מיט העדס אין א רייע.
נאך אן אינטרעסאנטע זאך דערין קומט אויס אז אויב זאג איך אז די שפיל איז אז מ׳באקומט $1 בנוסף צו די געדאפּלעכץ ביי יעדעס מאל [די פּעטראגראד שפיל], אדער אז די מטבע האט מער א פראבעביליטי צו פאלן אויף העדס [די מאסקווע שפיל] גייט די יוטיליטי נאך אלס זיין בעצם די זעלבע - אינפיניט.
ובסוגיא זו איז דא די פּאסאדענא פּאראדאקס. דאס איז ווען איך נעם דעם סעינט פּעטערסבורג שפיל אבער די קאסינא לייגט צו אזא תנאי: אויב ווען מ׳קומט אן צום ערשטן טעילס זענען די צאל פון אלע העדס עד האידנא אַדד דעמאלטס געוואונט ער טאקע די געדאפּלעכץ עד כאן. אבער אויב איז די צאל פון העדס עד האידנא איִווען דעמאלטס דארף ער צאלן צום קאסינא די צאל פון די געדאפלעכץ וואס ליגט אין שיסל פון זיין טאש. די סיריִס פון דעם זעהט אויס אזוי:
וואו ביי אן אַדד ווארף וואו ער פארדינט אויב עס ענדיגט זיך, איז דאס א פאזיטיוו און ביי אן איִווען ווארף וואו ער פארלירט אויב עס ענדיגט זיך איז עס א נעגאטיוו. דאס קאנווערדזשט צו 0.69 והיינו איר יוטיליטי. אבער דאס איז אן אָלטערנעיטינג הארמאניק סיריִס וואס איז א קאנדישענעלי קאנווערדזשינג סיריִס. און ווי ערווענט אויבן איז קען דאס קאנווערדזשן צו עני נומער איך וויל לויט ווי אזוי איך שטעל אויס די [אינפיניט] טערמינען דערין. און מאטעמאטיקער טענה׳ן אז עס זעהט אויס ארבּיטרערי דאס אויסצושטעלן דייקא לויט׳ן סדר פון ווארפן.
דאס איז ווייל די פראבעביליטי פאר׳ן ערשטן מאל צו פאלן אויף א העדס איז 1/2, ולעומת איר ווערט וואס איז שוין דארט [$2] איז דאס 1 [2 מאל 1/2]. די פראבעביליטי מעיקרא אז עס זאל צוויי מאל נאכאנאנד פאלן אויף העדס [אז דאס שפיל זאל ווייטער גיין] איז 1/4 [ווייל 1/2 מאל 1/2] ולעומת איר ווערט וואס איז שוין דארט [$4] איז עס ווייטער 1 [4 מאל 1/4]. וכן הלאה והלאה, וממילא איז עס א סיריִס פון 1+1+1+1... וואס לויפט ביז ∞ וממילא איז דאס בעצם די עקספּעקטעד וועליוּ פון דאס געוועט, וממילא קומט אויס אז עפ״י מאטעמאטישע ראציאנאל זאל מען זיין גרייט צו גיבן עני פיניט צאל צו שפילן די שפיל.
מ׳האט באמערקט אז די סיריִס איז נישט אזוי פשוט. דאס איז ווייל הגם אז (קהלת ה ט) אוהב כסף לא ישבע כסף איז אבער די יוּטיליטי און וועליוּ פאר׳ן געוואונער פונעם געלט איינמאל ער האט שוין גאר אסאך נישט די זעלבע ווי ווען ער האט אסאך ווייניגער; עס איז נישט די זעלבע ״1״. ואגב, דא האט מען געטראפן אז איינמאל מ׳קומט אן צו פארדינען א געוויסע סכום [די סקווער רוּט פון וויפיל נפשות זענען אינעם הויזגעזונט טיימס $115,000 א יאר] וואקסט נישט די צופרידענהייט פונעם מענטש אלס א פאָנקשען פון געלט. דער מאטעמאטיקער גבריאל קרעימער האט טאקע גע׳טענה׳ט אז מ׳זאל אויסשטעלן די סיריִס אז אנשטאט פון מאָלטיפּלייען יעדע שאנס ביי איר ווערט כנ״ל, זאל מען מאלטיפלייען יעדע שאנס ביי די סקווער רוט פון איר ווערט. אין אזא פאל קאנווערדזשט עס צו בערך 3 און א האלב. מ׳קען דאס אבער טעארעטיש עקסטענדן צו עני סארט יוטיליטי וואס גייט נישט אראפ: למשל אריינלייגן אין א מאשין וואס גיבט תענוג אויף א לעוועל פון 2 צו די עקספּאנענט צו וויפיל מאל איך בין אנגעקומען מיט העדס אין א רייע.
נאך אן אינטרעסאנטע זאך דערין קומט אויס אז אויב זאג איך אז די שפיל איז אז מ׳באקומט $1 בנוסף צו די געדאפּלעכץ ביי יעדעס מאל [די פּעטראגראד שפיל], אדער אז די מטבע האט מער א פראבעביליטי צו פאלן אויף העדס [די מאסקווע שפיל] גייט די יוטיליטי נאך אלס זיין בעצם די זעלבע - אינפיניט.
ובסוגיא זו איז דא די פּאסאדענא פּאראדאקס. דאס איז ווען איך נעם דעם סעינט פּעטערסבורג שפיל אבער די קאסינא לייגט צו אזא תנאי: אויב ווען מ׳קומט אן צום ערשטן טעילס זענען די צאל פון אלע העדס עד האידנא אַדד דעמאלטס געוואונט ער טאקע די געדאפּלעכץ עד כאן. אבער אויב איז די צאל פון העדס עד האידנא איִווען דעמאלטס דארף ער צאלן צום קאסינא די צאל פון די געדאפלעכץ וואס ליגט אין שיסל פון זיין טאש. די סיריִס פון דעם זעהט אויס אזוי:
וואו ביי אן אַדד ווארף וואו ער פארדינט אויב עס ענדיגט זיך, איז דאס א פאזיטיוו און ביי אן איִווען ווארף וואו ער פארלירט אויב עס ענדיגט זיך איז עס א נעגאטיוו. דאס קאנווערדזשט צו 0.69 והיינו איר יוטיליטי. אבער דאס איז אן אָלטערנעיטינג הארמאניק סיריִס וואס איז א קאנדישענעלי קאנווערדזשינג סיריִס. און ווי ערווענט אויבן איז קען דאס קאנווערדזשן צו עני נומער איך וויל לויט ווי אזוי איך שטעל אויס די [אינפיניט] טערמינען דערין. און מאטעמאטיקער טענה׳ן אז עס זעהט אויס ארבּיטרערי דאס אויסצושטעלן דייקא לויט׳ן סדר פון ווארפן.
- מי אני
- שריפטשטעלער

- הודעות: 5784
- זיך רעגיסטרירט: פרייטאג אקטאבער 05, 2018 4:32 pm
- האט שוין געלייקט: 12391 מאל
- האט שוין באקומען לייקס: 8057 מאל
מ׳פארציילט אז דער בארימטער מאטעמאטיקער דזשאן וואן-ניומאן איז געווען ערגעץ צוגאסט. האט אים זיין גאסטגעבערין געפרעגט אזא חידה:
צוויי ביציקלעך זענען 100 מייל ווייט איינע פונעם צווייטן. זיי הייבן ביידע אן צו גיין איינע צום/קעגן צווייטן מיט א שנעלקייט פון 10 מפ״ש [מייל פּער שעה] כסדר א גאנצע צייט. אינעם זעלבן רגע הייבט א פליג אן צו פליען פונעם ערשטן ביציקל צום צווייטן מיט א שנעלקייט פון 20 מפ״ש, און ווען עס קומט אן צום צווייטן פלינט עס צוריק צום ערשטן מיט די זעלבע שנעלקייט, און נאכדעם צוריק וכן הלאה. ווען די צוויי ביציקלעך וועלן זיך באגעגענען ווי ווייט איז די פליג געפלויגן אלעס צוזאמען?
עס זענען דא צוויי וועגן ווי אזוי דאס צו קאמפיוטן. די גרינגע וועג איז צו כאפען און רעכענען די ״צייט״ ווי לאנג די צוויי ביציקלעך וועלן פארן ביז זיי באגעגענען זיך, וואס דאס איז 5 שעה; ווייל עס איז כאילו נאר איין ביציקל פארט צום צווייטן [וואס שטייט] 20 מפ״ש, וממילא פאר 100 מייל איז דאס 5 שעה. יעצט, דורכאויס די גאנצע צייט גייט די פליג מיט א קאנסטענט שנעלקייט פון 20 מפ״ש, וממילא פאר 5 שעה גייט דאס א שטרעקע פון 100 מייל.
די שווערערע וועג איז דורך סאָמ׳ן/רעכענען אן אינפיניט סיריִס. דאס ערשטע מאל די פליג פליהט צום קעגנקומענדיגן ביציקל איז דאס כאילו עס פליהט צו אים מיט א שנעלקייט פון 30 מפ״ש: איר אייגענע 20 און די 10 פונעם ביציקל וואס קומט איר אנטקעגן. וממילא אז זיי הייבן אן 100 מייל אפגערוקט און זי פליהט צו אים ביי 30 מפ״ש מאכט זי דאס אין 3 אהאלב שעה און זי פליהט א שטרעקע פון 66 און צוויי דריטל מייל. דערנאך פליהט עס צוריק א שטרעקע פון 33 און א דריטל מייל וואס די ביציקלעך זענען יעצט נאר ווייט איינע פונעם צווייטן, וממילא וועט די פלי רייזי נאר נעמען א דריטל אזוי לאנג ווי פריער. און אזוי גייט דאס ווייטער און ווייטער ווי יעדעס נייע פלי רייזע פונעם פליג וואו עס דרייט זיך אויס צוריק צו פליען וועט נאר נעמען א דריטל אזוי לאנג ווי די רייזע פאר דעם, והיינו די דריטע א א דריטל פון די צווייטע וואס דאס איז א ניינטל פונעם ערשטן, וכן הלאה והלאה. און עס קומט אויס אז דאס איז אזא סיריִס:
66 און צוויי דריטל [די ערשטע רייזע] מאל
(1+1/3+1/9+1/27...)
די סיריִס אין די פּאַרענטעסיס קאנווערדזשט צו 1 און אהאלב, און 66 און צוויי דריטל מאל דאס איז 100.
נאך דעם וואס זי האט דאס אים געפרעגט האט זיך וואן ניומאן פארטראכט א מאמענט און איר געענטפערט 100. האט זי אים געזאגט, ״אָהה. האסט געכאפט די טריק״. האט ער זיך פארוואונדערטערהייט געפרעגט, ״וועלכע טריק?״ האט זי אים געזאגט אז זי מיינט די ערשטע וועג ווי איידער דארפן צוקומען צו א סיריִס. האט ער אי געזאגט, ״דאס איז ווי אזוי איך האב דאס געסאלווט״.
צוויי ביציקלעך זענען 100 מייל ווייט איינע פונעם צווייטן. זיי הייבן ביידע אן צו גיין איינע צום/קעגן צווייטן מיט א שנעלקייט פון 10 מפ״ש [מייל פּער שעה] כסדר א גאנצע צייט. אינעם זעלבן רגע הייבט א פליג אן צו פליען פונעם ערשטן ביציקל צום צווייטן מיט א שנעלקייט פון 20 מפ״ש, און ווען עס קומט אן צום צווייטן פלינט עס צוריק צום ערשטן מיט די זעלבע שנעלקייט, און נאכדעם צוריק וכן הלאה. ווען די צוויי ביציקלעך וועלן זיך באגעגענען ווי ווייט איז די פליג געפלויגן אלעס צוזאמען?
עס זענען דא צוויי וועגן ווי אזוי דאס צו קאמפיוטן. די גרינגע וועג איז צו כאפען און רעכענען די ״צייט״ ווי לאנג די צוויי ביציקלעך וועלן פארן ביז זיי באגעגענען זיך, וואס דאס איז 5 שעה; ווייל עס איז כאילו נאר איין ביציקל פארט צום צווייטן [וואס שטייט] 20 מפ״ש, וממילא פאר 100 מייל איז דאס 5 שעה. יעצט, דורכאויס די גאנצע צייט גייט די פליג מיט א קאנסטענט שנעלקייט פון 20 מפ״ש, וממילא פאר 5 שעה גייט דאס א שטרעקע פון 100 מייל.
די שווערערע וועג איז דורך סאָמ׳ן/רעכענען אן אינפיניט סיריִס. דאס ערשטע מאל די פליג פליהט צום קעגנקומענדיגן ביציקל איז דאס כאילו עס פליהט צו אים מיט א שנעלקייט פון 30 מפ״ש: איר אייגענע 20 און די 10 פונעם ביציקל וואס קומט איר אנטקעגן. וממילא אז זיי הייבן אן 100 מייל אפגערוקט און זי פליהט צו אים ביי 30 מפ״ש מאכט זי דאס אין 3 אהאלב שעה און זי פליהט א שטרעקע פון 66 און צוויי דריטל מייל. דערנאך פליהט עס צוריק א שטרעקע פון 33 און א דריטל מייל וואס די ביציקלעך זענען יעצט נאר ווייט איינע פונעם צווייטן, וממילא וועט די פלי רייזי נאר נעמען א דריטל אזוי לאנג ווי פריער. און אזוי גייט דאס ווייטער און ווייטער ווי יעדעס נייע פלי רייזע פונעם פליג וואו עס דרייט זיך אויס צוריק צו פליען וועט נאר נעמען א דריטל אזוי לאנג ווי די רייזע פאר דעם, והיינו די דריטע א א דריטל פון די צווייטע וואס דאס איז א ניינטל פונעם ערשטן, וכן הלאה והלאה. און עס קומט אויס אז דאס איז אזא סיריִס:
66 און צוויי דריטל [די ערשטע רייזע] מאל
(1+1/3+1/9+1/27...)
די סיריִס אין די פּאַרענטעסיס קאנווערדזשט צו 1 און אהאלב, און 66 און צוויי דריטל מאל דאס איז 100.
נאך דעם וואס זי האט דאס אים געפרעגט האט זיך וואן ניומאן פארטראכט א מאמענט און איר געענטפערט 100. האט זי אים געזאגט, ״אָהה. האסט געכאפט די טריק״. האט ער זיך פארוואונדערטערהייט געפרעגט, ״וועלכע טריק?״ האט זי אים געזאגט אז זי מיינט די ערשטע וועג ווי איידער דארפן צוקומען צו א סיריִס. האט ער אי געזאגט, ״דאס איז ווי אזוי איך האב דאס געסאלווט״.
- מי אני
- שריפטשטעלער

- הודעות: 5784
- זיך רעגיסטרירט: פרייטאג אקטאבער 05, 2018 4:32 pm
- האט שוין געלייקט: 12391 מאל
- האט שוין באקומען לייקס: 8057 מאל
דאס פערי סיִקווענס און פאָרד סירקעלס
עס איז דא א סארט סיִקווענס וואס רופט זיך די פערי סיִקווענס. דאס איז ווען איך וועל אויס א נומער אלס א דענאמינעיטאר פון א פרעקשאן און איך לייג דערנאך אויס [בדרך כלל פון 0 ביז 1] די פרעקשאנס ביז אהין, מיט די [גאנצע] נומערן ביז די וואס איך האב אויסגעוועלט ועד בכלל אלס דענאמינעיטארס מיט אלע [גאנצע] נומערן [וואס קענען פארשטייט זיך נישט זיין מער ווי די דענאמינעיטאר וואס זיי האבן] אלס׳ן נומערעיטאר, פונעם קלענסטן ביזן גרעסטן אין א סדר. אלע פרעקשאנס ווערן אויסגעשריבן אין זייער מערסטע סימפּליפייד פארעם [למשל 1/2 אנשטאט 4/2]. דא איז א משל פון די סיִקווענסעס פאר ווען איך וועל אלס א נומער 1, 2, 3, 4, און 5:
עס קומט אויס אן אינטרעסאנטע זאך. אז מ׳איז בוחר אין עני דריי נומערן פון די סיִקווענס אין א רייע וועט מען זעהן אז די נומערעיטאר פון די מיטעלסטע איז די סומע פון די צוויי נומערעיטערס וואס זענען ארום איר אויף ביידע זייטן, און איר דענאמינעיטאר איז די סומע פון די צוויי דענאמינעיטארס וואס זענען ארום איר אויף ביידע זייטן. טאמער איז עס נישט אזוי איז עס ווייל מ׳קען סימפּליפייען די פרעקשאן וואס קומט אויס ווען איך נעם די סומע פון די נומערעיטארס פון ביידע זייטן און איך לייג דאס אויף די סומע פן די דענאמינעיטארס פון ביידע זייטן.
די מאטעמאטיקער דזשערוים פרענעל און עדמונד לאנדוי האבן אויפגעוואוזן אז דאס האט א קשר צום ריעמאן היפאטעזיע. דאס איז ווייל אז איך האב א פערי סיִקווענס ביז א געוויסע נומער פאר די דענאמינעיטאר כנ״ל וואס גייט האבן א געוויסע צאל פון פרעקשאנס אין די סיִקווענס, און איך נעם א געוויסע פרעקשאן אין די סיִקווענס און איך נעם אוועק דערפון די צאל פון די פלאץ וואו עס געפינט זיך אינעם סיִקווענס וואס איז דיוויידעד ביי די נומער פונעם סיִקווענס ביז וואו די דענאמינעיטארס ווערן גענוצט [לא׳מיר זאגן די צווייטע פון א פערי סיִקווענס ביז נומער 5, וואס די סיִקווענס האט 11 מעמבערס אין די סיִקווענס, און די עצם פרעקשאן איז 1/5, גייט עס מיינען 1/5 מיינוס 2/11], און איך טוה אזוי פון 1 ביז די לעצטע נומער אינעם סיִקווענס ביז וואו די דענאמינעיטארס גייען און איך עדד דערנאך די אלע וועליוּס צאם [איך נעם די אבסאלוט וועליוּ און אויב האט עס א נעגאטיווע וועליוּ איגנאריר איך עס], איז וואו גרעסער די סיִקווענס, וממילא די סיריִס, איז, אלס מער עפּראקסימעיט עס דאס וואס די ריעמאן היפאטעזיע און די פּריים קאַוּנטינג פאָנקשען טוהן.
נאך אן אינטרעסאנטע זאך אין די פערי סיִקווענס זענען די פאָרד סירקעלס. דאס זענען סירקעלס וואס איך שטעל אויס אויף א נומער ליין אזוי אז עס איז טענדזשענט פון אונטן און רירט פונקטליך און נאר אן אויף א פרעקשאן [פון 1 ביז 0]. די סירקעל וועט האבן א דיאמעטער פון די פרעקשאן וואו די דענאמינעיטאר איז סקווערד און די נומערעיטאר ווערט אלס געטוישט צו 1. עס גייט אויסקומען אז אויב שטעל איך אויס אלע פרעקשאנס ביז א געוויסע נומער דענאמינעיטאר אין א רייע, א פערי סיִקווענס, און אויף די נומער ליין פון די פרעקשאנס מאך איך די סירקעלס, וועט יעדעס אזא סירקעל זיין אדער טענדזשענט און פונקט אנרירן [זיין טענדזשענט צו] אנדערע אזא סארט סירקעלס אדער אינגאנצן אוועק שטיין [דיסדזשוינט]; קיין איינס וועט קיינמאל נישט אריינגיין בתחומה של חברתה. למשל, וואו די פערי סיִקווענס איז ביז 10 זעהט עס אויס כזה [מ׳קען דאס אויך עקסטענדען ווייטער צו די נעגאטיווע זייט טאמער איך נעם די אבסאלוט וועליוּ און איגנאריר די נעגאטיווע סיין]:
ועיין כאן.
עס קומט אויס אן אינטרעסאנטע זאך. אז מ׳איז בוחר אין עני דריי נומערן פון די סיִקווענס אין א רייע וועט מען זעהן אז די נומערעיטאר פון די מיטעלסטע איז די סומע פון די צוויי נומערעיטערס וואס זענען ארום איר אויף ביידע זייטן, און איר דענאמינעיטאר איז די סומע פון די צוויי דענאמינעיטארס וואס זענען ארום איר אויף ביידע זייטן. טאמער איז עס נישט אזוי איז עס ווייל מ׳קען סימפּליפייען די פרעקשאן וואס קומט אויס ווען איך נעם די סומע פון די נומערעיטארס פון ביידע זייטן און איך לייג דאס אויף די סומע פן די דענאמינעיטארס פון ביידע זייטן.
די מאטעמאטיקער דזשערוים פרענעל און עדמונד לאנדוי האבן אויפגעוואוזן אז דאס האט א קשר צום ריעמאן היפאטעזיע. דאס איז ווייל אז איך האב א פערי סיִקווענס ביז א געוויסע נומער פאר די דענאמינעיטאר כנ״ל וואס גייט האבן א געוויסע צאל פון פרעקשאנס אין די סיִקווענס, און איך נעם א געוויסע פרעקשאן אין די סיִקווענס און איך נעם אוועק דערפון די צאל פון די פלאץ וואו עס געפינט זיך אינעם סיִקווענס וואס איז דיוויידעד ביי די נומער פונעם סיִקווענס ביז וואו די דענאמינעיטארס ווערן גענוצט [לא׳מיר זאגן די צווייטע פון א פערי סיִקווענס ביז נומער 5, וואס די סיִקווענס האט 11 מעמבערס אין די סיִקווענס, און די עצם פרעקשאן איז 1/5, גייט עס מיינען 1/5 מיינוס 2/11], און איך טוה אזוי פון 1 ביז די לעצטע נומער אינעם סיִקווענס ביז וואו די דענאמינעיטארס גייען און איך עדד דערנאך די אלע וועליוּס צאם [איך נעם די אבסאלוט וועליוּ און אויב האט עס א נעגאטיווע וועליוּ איגנאריר איך עס], איז וואו גרעסער די סיִקווענס, וממילא די סיריִס, איז, אלס מער עפּראקסימעיט עס דאס וואס די ריעמאן היפאטעזיע און די פּריים קאַוּנטינג פאָנקשען טוהן.
נאך אן אינטרעסאנטע זאך אין די פערי סיִקווענס זענען די פאָרד סירקעלס. דאס זענען סירקעלס וואס איך שטעל אויס אויף א נומער ליין אזוי אז עס איז טענדזשענט פון אונטן און רירט פונקטליך און נאר אן אויף א פרעקשאן [פון 1 ביז 0]. די סירקעל וועט האבן א דיאמעטער פון די פרעקשאן וואו די דענאמינעיטאר איז סקווערד און די נומערעיטאר ווערט אלס געטוישט צו 1. עס גייט אויסקומען אז אויב שטעל איך אויס אלע פרעקשאנס ביז א געוויסע נומער דענאמינעיטאר אין א רייע, א פערי סיִקווענס, און אויף די נומער ליין פון די פרעקשאנס מאך איך די סירקעלס, וועט יעדעס אזא סירקעל זיין אדער טענדזשענט און פונקט אנרירן [זיין טענדזשענט צו] אנדערע אזא סארט סירקעלס אדער אינגאנצן אוועק שטיין [דיסדזשוינט]; קיין איינס וועט קיינמאל נישט אריינגיין בתחומה של חברתה. למשל, וואו די פערי סיִקווענס איז ביז 10 זעהט עס אויס כזה [מ׳קען דאס אויך עקסטענדען ווייטער צו די נעגאטיווע זייט טאמער איך נעם די אבסאלוט וועליוּ און איגנאריר די נעגאטיווע סיין]:
ועיין כאן.
- מי אני
- שריפטשטעלער

- הודעות: 5784
- זיך רעגיסטרירט: פרייטאג אקטאבער 05, 2018 4:32 pm
- האט שוין געלייקט: 12391 מאל
- האט שוין באקומען לייקס: 8057 מאל
דזשאָרדען׳ס טאָשׁענט פאָנקשען
דא הא׳מיר מסביר געווען דאס געדאנק פון א פּרימאריעל אז דאס איז וואו איך מאָלטיפּליי צאם אלע פּריים נומערן ביז/אונטער א געוויסע נומער. מען קען דורך דעם עקספּרעסן די זעטאַ פאָנקשען, ווען איך לייג אריין אינעם פאָנקשען [גאנצע] נומערן [אינטעדזשערס] וואס זענען מער ווי 1, ווען איך שטעל צאם די פּרימאריעל מיט דזשאָרדען׳ס טאָשׁענט פאָנקשען.
דזשאָרדען׳ס טאָשׁענט פאָנקשען נעמט אוילער׳ס טאָשׁענט פאָנקשען, באשריבן דא, נאך ווייטער. דארט האב איך נאר געוואלט וויסן די 1 סעט פון אלע נומערן וואס זענען קאָפּריים צום נומער וואס איך שאץ וואס זענען אונטער דעם נומער. דא וויל איך וויסן ווען איך נעם/וועל א געוויסע צאל, וויפיל סעטס [גערופן א טאָפּל] פון דעם צאל/גרויס פון נומערן וואס זענען אונטער דעם נומער וואס איך שאץ וואס זענען קאָפּריים צו דעם נומער וואס איך שאץ.
איך קען געוואוּר ווערן וויפיל אזעלכע גרויס סעטס איך קען שאפן פאר יענעם נומער אזוי:
איך דיווייד 1 ביי א פּריים וואס איז א דיווייזאר פון די נומער וואס איך שאץ נאכ׳ן האבן געהעכערט דעם פּריים צום עקספּאנענט וואס איז די גרויס/צאל וואס איך וויל די סעטס זאלן זיין, און איך סאָבּטרעקט די נומער וואס איך באקום פון 1. איך טוה אזוי צו/מיט אלע פּריים דיווייזארס פון דעם נומער וואס איך שאץ, און איך מאָלטיפּליי אלע ענטפערס וואס איך האב באקומען צוזאמען. דערנאך מאָלטיפּליי איך דאס ביי די נומער וואס איך שאץ געהעכערט צום עקספּאנענט פון די צאל/גרויס וואס איך וויל די סעטס.
אין מאטעמאטישע נאָטעישאן איז דאס:
יעצט, אנגעהויבן פון גאנצע אינטעדזשערס פון 2 און ווייטער, גייט די זעטאַ פאָנקשען פאר יענעם נומער זיין די זעלבע ווי ווען איך נעם די סיריִס קאנווערדזשענס פון נומערן (אויך) אנגעהויבן פון 2 עד ∞ פון די פרימאריעל פון א נומער [אנגעהויבן פון 2 ביז ∞] טיימס די אַוּטפּוּט פונעם דזשאָרדען׳ס טאָשׁענט פאָנקשען פאר יענעם נומער וואס איך האב געוועלט פאר׳ן זעטאַ פאָנקשען, און די פראדוקט וואס איך באקום גיי איך ביי דעם דיוויידען די פּרימאריעל פון די נומער פון איינס ווייניגער פונעם פריערדיגן פּרימאריעל נומער [נישט די ענדגילטיגע פראדוקט פונעם פרימאריעל, נאר איינס ווייניגער פון פאר איך הייב אן צו קאָמפּיוּטן די פּרימאריעל. ווען מען זאגט "פּרימאריעל" דא מיינט מען דעם ערשטן סארט] וואס איך האב דערנאך געהעכערט צום עקספּאנענט פונעם נומער וואס איך האב געוועלט פאר׳ן זעטאַ פאָנקשען. נאך איך האב דעם קאנווערדזשענס גיי איך צולייגן דערצו דאס וואס איך באקום נאך איך העכער 2 צו דעם עקספּאנענט פונעם נומער וואס איך האב געוועלט פאר׳ן זעטאַ פאָנקשען וואס איך האב דערנאך דיוויידעד ביי 1 ווייניגער ווי דעם. דאס גייט זיין די גענויע זעלבע צו ווען איך לייג אריין דעם נומער אינעם זעטאַ פאָנקשען גופא. אין מאטעמאטישע נאָטעישאן:
***
די צווייטע מעשה דא איז א זיסע מעשה בנוגע איינעם׳ס ״פּרוּף״ אויפ׳ן ריעמאן היפאטעזיע.
דזשאָרדען׳ס טאָשׁענט פאָנקשען נעמט אוילער׳ס טאָשׁענט פאָנקשען, באשריבן דא, נאך ווייטער. דארט האב איך נאר געוואלט וויסן די 1 סעט פון אלע נומערן וואס זענען קאָפּריים צום נומער וואס איך שאץ וואס זענען אונטער דעם נומער. דא וויל איך וויסן ווען איך נעם/וועל א געוויסע צאל, וויפיל סעטס [גערופן א טאָפּל] פון דעם צאל/גרויס פון נומערן וואס זענען אונטער דעם נומער וואס איך שאץ וואס זענען קאָפּריים צו דעם נומער וואס איך שאץ.
איך קען געוואוּר ווערן וויפיל אזעלכע גרויס סעטס איך קען שאפן פאר יענעם נומער אזוי:
איך דיווייד 1 ביי א פּריים וואס איז א דיווייזאר פון די נומער וואס איך שאץ נאכ׳ן האבן געהעכערט דעם פּריים צום עקספּאנענט וואס איז די גרויס/צאל וואס איך וויל די סעטס זאלן זיין, און איך סאָבּטרעקט די נומער וואס איך באקום פון 1. איך טוה אזוי צו/מיט אלע פּריים דיווייזארס פון דעם נומער וואס איך שאץ, און איך מאָלטיפּליי אלע ענטפערס וואס איך האב באקומען צוזאמען. דערנאך מאָלטיפּליי איך דאס ביי די נומער וואס איך שאץ געהעכערט צום עקספּאנענט פון די צאל/גרויס וואס איך וויל די סעטס.
אין מאטעמאטישע נאָטעישאן איז דאס:
יעצט, אנגעהויבן פון גאנצע אינטעדזשערס פון 2 און ווייטער, גייט די זעטאַ פאָנקשען פאר יענעם נומער זיין די זעלבע ווי ווען איך נעם די סיריִס קאנווערדזשענס פון נומערן (אויך) אנגעהויבן פון 2 עד ∞ פון די פרימאריעל פון א נומער [אנגעהויבן פון 2 ביז ∞] טיימס די אַוּטפּוּט פונעם דזשאָרדען׳ס טאָשׁענט פאָנקשען פאר יענעם נומער וואס איך האב געוועלט פאר׳ן זעטאַ פאָנקשען, און די פראדוקט וואס איך באקום גיי איך ביי דעם דיוויידען די פּרימאריעל פון די נומער פון איינס ווייניגער פונעם פריערדיגן פּרימאריעל נומער [נישט די ענדגילטיגע פראדוקט פונעם פרימאריעל, נאר איינס ווייניגער פון פאר איך הייב אן צו קאָמפּיוּטן די פּרימאריעל. ווען מען זאגט "פּרימאריעל" דא מיינט מען דעם ערשטן סארט] וואס איך האב דערנאך געהעכערט צום עקספּאנענט פונעם נומער וואס איך האב געוועלט פאר׳ן זעטאַ פאָנקשען. נאך איך האב דעם קאנווערדזשענס גיי איך צולייגן דערצו דאס וואס איך באקום נאך איך העכער 2 צו דעם עקספּאנענט פונעם נומער וואס איך האב געוועלט פאר׳ן זעטאַ פאָנקשען וואס איך האב דערנאך דיוויידעד ביי 1 ווייניגער ווי דעם. דאס גייט זיין די גענויע זעלבע צו ווען איך לייג אריין דעם נומער אינעם זעטאַ פאָנקשען גופא. אין מאטעמאטישע נאָטעישאן:
***
די צווייטע מעשה דא איז א זיסע מעשה בנוגע איינעם׳ס ״פּרוּף״ אויפ׳ן ריעמאן היפאטעזיע.
