דאס ריעמאן זעטאַ פאָנקשען און דאס ריעמאן היפאטעזיע
- מי אני
- שריפטשטעלער

- הודעות: 5784
- זיך רעגיסטרירט: פרייטאג אקטאבער 05, 2018 4:32 pm
- האט שוין געלייקט: 12391 מאל
- האט שוין באקומען לייקס: 8057 מאל
דעדעקינד עטאַ פאָנקשען
אין דעם איז אויך דא דעם דעדעקינד עטאַ פאָנקשען. דאס איז ווען איך האב עפעס א קאמפּלעקס נומער [אַן עכטע נומער ± אַן אימעדזשינערי נומער]. דאן הייב איך אָן פון 1 און איך מאָלטיפּליי צוזאמען עד אינפיניטי על זה הדרך: אוילער׳ס נומער e געהעכערט צו אַן עקספּאָנענט פון 2 מאל π טיימס i טיימס די קאמפּלעקס נומער (ועיין לעיל בנוגע אוילער׳ס אידענטיטעט), און דערנאך דאס אלעס געהעכערט צום עקספּאָנענט צום נומער וואו איך האלט יעצט, און וואס איך באקום סאָבּטרעקט איך פון 1. דאס אלעס וואס איך באקום ביי יעדעס נומער אין די סיריִס טוה איך אלעס צאממאָלטיפּלייען. דערנאך מאָלטיפּליי איך דאס וואס איך באקום פונעם סיריִס ביי די פיר-און-צוואנציגסטע רוּט פון e געהעכערט צו אַן עקספּאָנענט פון 2 מאל π טיימס i טיימס די קאמפּלעקס נומער.
***
viewtopic.php?p=508945#p508945
viewtopic.php?p=508945#p508945
- מי אני
- שריפטשטעלער

- הודעות: 5784
- זיך רעגיסטרירט: פרייטאג אקטאבער 05, 2018 4:32 pm
- האט שוין געלייקט: 12391 מאל
- האט שוין באקומען לייקס: 8057 מאל
בנוגע דעם געדאנק אז לגבי מציאותו של הקב״ה כביכול איז א דאָבּל-נעגעישאן נישט קיין עפירמעישאן און אז די עסאָסיעטיוו/מאָלטיפּליקיטעטיוו דיסטריבּיוּטיוו פּראַפּערטי ביי לאגיק גייט נישט אָן ביי דעם וכו׳, שרייבט דר. יאָהאַן מאַרעק במשנתו של אלעקסיאוס מעינאנג לגבי ״incomplete״ אביעקטן; זיי זענען נישט (נוקלעאר [מיינענדיג: נישט אנטאלאגיש, נישט טעכניש, נישט אינטענשאנעל, און נישט מאָדעל]) דעטערמינד לגבי זייער עסענס צו געוויסע פּרעדיקעטס:
דר. מאַרעק שרייבט דארט ווייטער ולגבי דעם אנטאלאגישן ארגומענט:
I am convinced that philosophical debate always ends in deadlock
ער האט אבער געזאגט דערויף:
ולדרכינו עפ״י מהלכו איז דאס אז טעאלאגישע באגריפן פון ״ג-ט״ ב״ה פאַלן אונטער דאס צווייטע קאטעגאריע ובנוגע ״being״: ווי די נעגעישאן פונעם דרויסענדן זאץ ווערט נישט דוקא דיסטריבּיוּטעד אריין צום פּרעדיקעט לעצמו. ואיה״נ אז ״ג-ט״ באדייט דאך דאס מערסטע מושלם אין אלעם שייך, איז אבער מצידינו איז דאס בהכרח נישט אזוי און גאר incomplete, ובפרט בנוגע ״being״ וכנ״ל, מכח אונזער אי-השגה דערין. הגם מ׳קען טאקע טענה׳ן אז די עסענס פון ״ג-ט״ איז דאך אט דאס: מוכרח המציאות.With respect to being, Meinong states that all complete objects have either being or non-being, and all incomplete objects lack being. Meinong’s indifference principle accommodates the law of excluded middle in the external but not in the internal version. From the fact that incomplete objects do not have being, it does not follow that they have non-being as well. Some of them, for example, incomplete objects that are also contradictorily determined, have non-being; others, like the triangle as such, are not determined with respect to being at all
דר. מאַרעק שרייבט דארט ווייטער ולגבי דעם אנטאלאגישן ארגומענט:
דר. מאַריאַ רייכער שרייבט אין די קאנטעקסט פון קאנט׳ס פירכא אויפ׳ן אנטאלאגישע ראיה אז ״עקזיסטענץ״ איז נישט קיין פּרעדיקעט: ואגב, אין דעם געביט ולגבי די חילוק בין פּלעטאניזם און פארמאליזם וכדומה במאטעמאטיקס, האט בּערטראנד ראָסעל געשריבן:Meinong stressed the distinction between “being existing” as a determination of so-being and “existence” (“to exist”) as a determination of being. Meinong’s distinction between judgements of so-being and judgements of being, combined with the indifference principle that being does not belong to the object’s nature (so-being), reminds one of Kant’s dictum that being is not a real predicate. Meinong did not accept the ontological argument either, and argued that “being existing” is a determination of so-being and can in a certain sense be properly accepted even of the object “existing golden mountain,” and, say, even of the object “existing round square,” whereas “existence”, which is a determination of being, will no more belong to the one than it does to the other. In other words, according to the characterization principle both the existing round square and the existing golden mountain (Russell 1907 uses “existent”) are existing (existent), but nevertheless they do not exist. Bertrand Russell could not see any difference between “being existent” and “to exist” and had “no more to say on this head.”
ומענין לענין באותו ענין האט דער פילאזאף דר. דוד לוּאיס געשריבן:Being is that which belongs to every conceivable term, to every possible object of thought... “A is not” must always be either false or meaningless. For if A were nothing, it could not be said not to be... Numbers, the Homeric gods, relations, chimeras, and four-dimensional spaces all have being, for if they were not entities of a kind, we could make no propositions about them. Thus being is a general attribute of everything, and to mention anything is to show that it is. Existence, on the contrary, is the prerogative of some only amongst beings
ער האט סתם אזוי געשריבן:I’m moved to laughter at the thought of how presumptous it would be to reject mathematics for philosophical reasons. How would you like the job of telling the mathematicians that they must change their ways, and abjure countless errors, now that philosophy has discovered that there are no classes? Can you tell them, with a straight face, to follow philosophical argument wherever it may lead? If they challenge your credentials, will you boast of philosophy’s other great discoveries: that motion is impossible, that a Being than which no greater can be conceived cannot be conceived not to exist, that it is unthinkable that anything exists outside the mind, that time is unreal, that no theory has ever been made at all probable by evidence (but on the other hand that an empirically adequate ideal theory cannot possibly be false), that it is a wide-open scientific question whether anyone has ever believed anything, and so on, and on, ad nauseum? Not me!
I am convinced that philosophical debate always ends in deadlock
ער האט אבער געזאגט דערויף:
אין די לעקציע [4:54-5:33] איז דר. איוואן שזעליעני מסביר העגעל'ס געדאנק (לפי רוב מפרשיו) פון "טיִסיס, אַנטיטיִסיס און סינטעטיס״, וואו אַנטיטיִסיס איז די נעגעישאן פונעם טיִסיס, און סינטעטיס איז די נעגעישאן פון דעם נעגעישאן, אבער דאך נישט דעם טיִסיס - עס איז עפעס ניי. אונז טרעפן מיר טאקע די געדאנק בעצם לגבי מגדיר זיין "ג-ט".That may suggest!an ‘anything goes’ attitude toward philosophical questions that I neither hold nor approve of. I would insist that when debate over a philosophical question ends in deadlock, it does not follow that there is no truth of the matter; or that we don’t know the truth of the matter; or that we ought to suspend judgement; or that we have no reason for thinking one thing rather than the other
- מי אני
- שריפטשטעלער

- הודעות: 5784
- זיך רעגיסטרירט: פרייטאג אקטאבער 05, 2018 4:32 pm
- האט שוין געלייקט: 12391 מאל
- האט שוין באקומען לייקס: 8057 מאל
איך האב געקלערט ווייטער אז עס איז דא א באקאנטן רמז ביי שתיית יין בפורים אז די (מגילה ז:) מיחייב איניש לבסומי בפוריא עד דלֹא ידע, אז די ווארט "ידע" איז ר"ת ע'ד ד'לא י'דע, ווייל די געדאנק דערין איז אז תכלית הידיעה שנדע שלא נדעך. דאס איז בעצם ווייטער אַן אינפיניט סיִקווענס, וויבאלד בתוך יעדעס "ידע" איז דא אַן "עד דלא ידע", וכן הלאה.מי אני האט געשריבן:אז מ׳האט אויבן גערעדט אין די געדאנק פון דאָבּל-נעגעישאן לגבי מגדיר זיין ״ג-ט״, איז כידוע דא צוויי סארטן דראָגס: אינהיבּטארי, וואס האלטן צוריק ניוראָטראסמיטארס אינעם מח, און עקסייטעטארי, וואס טוהן דאס פארקערטע. אלקאהאל איז אַן אינהיבּיטארי דראָג וואס (ווי דר. פּאָל בּלום איז דאס מסביר אין די לעקציע [27:06-27:15]) טוהט אינהיבּיטן די אינהיבּיטאָרי חלקים פונעם מח (הגם באמת זענען די חלקים אין ראם פון עקסייטעטארי) וואס האלטן אין אלגעמיין צוריק דעם מענטש, ולכן איז א שיכור ווילדער וכדומה.
ולפי״ז טרעפט מען אזא סארט ענליכן געדאנק פון א דאָבּל-נעגאטיוו ביי יין. האב איך געקלערט אז מ׳קען מיט דעם זאגן א רמז בהגמרא בעירובין סה. א״ר חנינא כל המתפתה ביינו יש בו מדעת קונו ע״ש. והיינו, אז ער פארשטייט די געדאנק פונעם דאָבּל-נעגאטיוו שבהיין, וואס די געדאנק איז לגבי לדעת את קונו וככל הנ״ל. (און דאס קען אויך זיין די רמז דארט פון נכנס יין יצא סוד. און דאס קען אויך זיין די געדאנק פון, סנהדרין ע., חמרא וריחני פקחין.)
אויך האב איך געקלערט אז דער רמב"ם שרייבט במו"נ (ח"א פס"א) אז שם הוי' ב"ה איז מורה על עצמותו ית' וואס מ'קען דאך נישט משיג זיין און דעריבער אסור לקרוא אותו ע"ש. און אונז טרעפן מיר בנדרים ז: דכל מקום שהזכרת השם מצויה שם עניות מצויה ע"ש. ולהלן שם בדף מא. נקטינן דאין עני אלא בדעה ע"ש. והיינו הרמז אז די שם איז מורה על עצמותו שאי אפשר לדעתו אשר אין ענין "עני", וואס האט א קשר מיט'ן מזכיר זיין דעם שם, אלא בדעה.
דאס קען האבן א קשר מיט מיין חתימה. והא לך לשונו של הנפוצות יהודה (דרוש ט): "והוא שידע בלתי היותו יודע מאומה, כי תכלית מה שנדע שנדע שלא נדע, כמו שהיה סוקרטי הפילוסוף מעיד על עצמו שאחרי בלותו לא היתה לו עדנה בלמוד החכמות זולתי מה שהשיג כי מאומה לא ישא בעמלו שיולך בידו מהידיעה והחכמה", עכ"ל. הגם דאס איז לגבי חכמה הכלליות און נישט לגבי ידיעת ה' דייקא.
- מי אני
- שריפטשטעלער

- הודעות: 5784
- זיך רעגיסטרירט: פרייטאג אקטאבער 05, 2018 4:32 pm
- האט שוין געלייקט: 12391 מאל
- האט שוין באקומען לייקס: 8057 מאל
דר. וויליאם לעין קרעיג זאגט בנוגע זיין דעבאטע מיט דר. קעווין שאַרפּ:מי אני האט געשריבן:דר. פרעד סאממערס פארציילט אז אלס תלמיד פון הגאון הרב דר. סאלאווייטשיק האט ער אים געזאגט, ״איך האב ספיקות איבער דאס מציאות פון ג-ט״. האט ער ארומגעלייגט זיין האנט ארום אים און געזאגט, ״פרעד, אינטעלעקטועלי איז עס 50/50. מ׳דארף גלייבן״.
ולגבי לאגיק און דעדאָקטיוו ארגומענטן בכלל זאגט ער:I have no confidence whatsoever in his claim that in order to believe in God I need to have a probability significantly higher than 51%. He gave no argument for that other than just an example. He gave an illustration that he thinks it is 51% probable that Hillary Clinton will win the presidential election. But that is not enough for him to believe that she will win. Well, fine, that is just an illustration. But in many other cases, 51% might be enough for a person to believe in something, especially (as William James pointed out) if this is a pressing conclusion that imposes itself upon you and is a matter of great urgency and importance, William James argued that in a case like that you are perfectly rational to believe in something even without evidence. This is James' famous essay, “The Will to Believe.” This idea that in order to believe something you have to be significantly more than 51% confident in it, I think is person-relative and subjective. For some people that might be true, for other people it might not. For some beliefs it might be true, but for other beliefs (as James said) it may not. I agree – I have no confidence in his argument from confidence!
דר. פּעטריק קעין שרייבט במשנתו של קאנט:Dr. Scharp's seems to think that the probability of the conclusion of a deductive argument cannot be any higher than the probability of the conjunction of the premises. You take the premises together and ask, “How probable is it that all of these premises are true?” And that will give you the probability of the conclusion. That is false in a deductive argument. The probability of the conjunction of the premises only sets a minimum probability for the conclusion. So if the probability of the premises is 51%, all that proves is that the probability of the conclusion cannot be less than 51%
It shows merely that the probability of the conclusion cannot be less than 51%. But it could be much higher. It could be 70, 80, 90%. I think Dr. Scharp was under the misimpression that the conclusion to a deductive argument has a probability which is simply equal to the probability of the conjunction of the premises
Allen Wood adduces significant textual evidence which confirms his emphasis upon Kant's conviction that belief in God's existence cannot be morally required, that is, there cannot be a moral obligation to believe that God exists (nor can belief in his existence be justly required by the state). Kant held these convictions out of respect for freedom of conscience, a disdain for hypocrisy, and because they fitted with his belief that the best 'theoretical' evidence and arguments could only establish God's logical possibility, that the concept of God is not self-contradictory. As Wood correctly notes, Kant did suggest that the 'minimum of theology' everyone can be expected to accept is the minimum compatible with this theoretical evidence, that is, that 'it is possible that there is a God', and sometimes claimed that 'religion' does not necessarily involve 'assertoric faith' in God, that is, belief in the existence of God, as opposed to his mere possibility. Thus, it is indeed possible for an agnostic (what Kant liked to call a 'sceptical' as opposed to a 'dogmatic' atheist) to be religious in Kant's sense
Yet, from the claim that religion may not necessarily involve assertoric faith in the existence of God, it does not follow that assertoric faith cannot be rationally required. In fact, Kant consistently asserted that it is. In his lectures on religion in the 1780s, for example, Kant compared the epistemic status of the 'firm conviction' in the postulate of God's existence with that of mathematical axioms
- מי אני
- שריפטשטעלער

- הודעות: 5784
- זיך רעגיסטרירט: פרייטאג אקטאבער 05, 2018 4:32 pm
- האט שוין געלייקט: 12391 מאל
- האט שוין באקומען לייקס: 8057 מאל
דר. אנטאני ענדערסאן איז מסביר גאָדעל׳ס אנטאלאגישע פּרוּף אויף מציאותו, וועלכע האט 3 דעפיניציעס, 6 אקסיאמען/פּרעמיסעס, און 3 טעארעמס וואס מ׳נעמט ארויס דערפון, אזוי:
אקסיאם 1). אויב א׳ האט א פּראַפּערטי ב׳ און פון א׳ קומט בהכרח אלס אפיר ג׳, דאן האט די ג׳ אויך ב׳. דאס מיינט אז יעדעס פּראַפּערטי וואס קומט אפיר פון א פּאזיטיווע פּראַפּערטי, איז אליינס פּאזיטיוו
אקסיאם 2). אויב די פארקערטע פון עפעס איז נעגאטיוו, דאן איז די עפעס פּאזיטיוו (ענליך צום געזעץ פון עקסקלוּדעד מיטן)
טעארעם 1). אויב א׳ איז א פּאזיטיווע פּראַפּערטי, דאן איז דא א מעגליכקייט אז עפעס מיט די א׳ עקזיסטירט
דערנאך איז ער נחית צו דעפינירן ״ג-ט״/א דיוויין בּיִאיִנג:
דעפיניציע 1). עפעס איז געטליך נאר (בדרך ״↔״) אויב עס האט אלס די עפעס׳ס עסענס ממש נאר (אויך בדרך ״↔״) פאזיטיווע פּראַפּערטיס
אקסיאם 3). געטליכקייט/דיוויניטי איז א פּאזיטיווע פּראַפּערטי
טעארעם 2). דאס שטעלט צאם אקסיאם 3 מיט טעארעם 1: עפעס קען מעגליך עקזיסטירן וואס איז געטליך
דעפיניציע 2). א׳ איז אַן עסענס פון עפעס, נאר אויב פאר יעדעס פּראַפּערטי ב׳ האט עס די עפעס די ב׳ בהכרח נאר אויב א׳ באדייט ב׳
אקסיאם 4). אויב א פּראַפּערטי איז פּאזיטיוו איז עס בהכרח פּאזיטיוו
טעארעם 3). אויב עפעס איז געטליך דאן איז געטליכקייט די עפעס׳ס עסענס ועיקר פּראַפּערטי
דעפיניציע 3). עפעס עקזיסטירט בהכרח נאר אויב יעדעס עסענס פונעם עפעס איז בהכרח
אקסיאם 5). הכרח׳דיגע/מוכרח המציאות איז פּאזיטיוו
די אוספיר דערפון איז אז ג-ט עקזיסטירט.
מ׳האט אויפגעוואוזן מיט א קאמפיוטער אז די לאגיק וואס ער טוהט איז וואליד און האלט אויס אויב נעמט מען אָן די אקסיאמען. די שאלה איז נאר לגבי איר סאַוּנדנעס/קאָדזשענסי.
מענאן בישאף שרייבט אין דעם:
ווי אויך וואלט קאנט זיך לכאורה געדינגען אויף אקסיאם 5 אז מ'קען דן זיין אין מציאות/עקזיסטענץ ווי א פּרעדיקעט.
***
דר. קענעט סיִסקין שרייבט במשנתו של הרמב״ם און זיין נעגאטיווע טעאלאגיע און דאָבּל נעגעישאן:
***
אקסיאם 1). אויב א׳ האט א פּראַפּערטי ב׳ און פון א׳ קומט בהכרח אלס אפיר ג׳, דאן האט די ג׳ אויך ב׳. דאס מיינט אז יעדעס פּראַפּערטי וואס קומט אפיר פון א פּאזיטיווע פּראַפּערטי, איז אליינס פּאזיטיוו
אקסיאם 2). אויב די פארקערטע פון עפעס איז נעגאטיוו, דאן איז די עפעס פּאזיטיוו (ענליך צום געזעץ פון עקסקלוּדעד מיטן)
טעארעם 1). אויב א׳ איז א פּאזיטיווע פּראַפּערטי, דאן איז דא א מעגליכקייט אז עפעס מיט די א׳ עקזיסטירט
דערנאך איז ער נחית צו דעפינירן ״ג-ט״/א דיוויין בּיִאיִנג:
דעפיניציע 1). עפעס איז געטליך נאר (בדרך ״↔״) אויב עס האט אלס די עפעס׳ס עסענס ממש נאר (אויך בדרך ״↔״) פאזיטיווע פּראַפּערטיס
אקסיאם 3). געטליכקייט/דיוויניטי איז א פּאזיטיווע פּראַפּערטי
טעארעם 2). דאס שטעלט צאם אקסיאם 3 מיט טעארעם 1: עפעס קען מעגליך עקזיסטירן וואס איז געטליך
דעפיניציע 2). א׳ איז אַן עסענס פון עפעס, נאר אויב פאר יעדעס פּראַפּערטי ב׳ האט עס די עפעס די ב׳ בהכרח נאר אויב א׳ באדייט ב׳
אקסיאם 4). אויב א פּראַפּערטי איז פּאזיטיוו איז עס בהכרח פּאזיטיוו
טעארעם 3). אויב עפעס איז געטליך דאן איז געטליכקייט די עפעס׳ס עסענס ועיקר פּראַפּערטי
דעפיניציע 3). עפעס עקזיסטירט בהכרח נאר אויב יעדעס עסענס פונעם עפעס איז בהכרח
אקסיאם 5). הכרח׳דיגע/מוכרח המציאות איז פּאזיטיוו
די אוספיר דערפון איז אז ג-ט עקזיסטירט.
מ׳האט אויפגעוואוזן מיט א קאמפיוטער אז די לאגיק וואס ער טוהט איז וואליד און האלט אויס אויב נעמט מען אָן די אקסיאמען. די שאלה איז נאר לגבי איר סאַוּנדנעס/קאָדזשענסי.
מענאן בישאף שרייבט אין דעם:
דר. גרעהעם אַפּיִ טענה׳ט אז אפגעזעהן פון די לאגיק שבו פארמאגט דאס די זעלבע שוואכקייט ווי אנסעלם׳ס אריגינעלע אנטאלאגישע ארגומענט: מ׳קען דאס טענה׳ן אויף א געוואלד סארט ענטיטיס, ווי אויף א פּערפעקט אינזל ווי גאָנילאָ האט גע׳טענה׳ט בשעתו.Gödel starts with an axiom—an assumption, in other words: If φ has the property P and from φ always follows ψ, then ψ also has the property P. For simplicity, we can assume that P stands for “positive”. For example:, if a fruit is delicious, a positive property, then it is also fun to eat. Therefore, the fun of eating it is also a positive property
The second axiom further sets a framework for P. If the opposite of something is positive, then that “something” must be negative. Thus, Gödel has divided a world into black and white: Either something is good or bad. For example, if health is good, then a disease must necessarily be bad
With these two premises, Gödel can derive his first theorem: If φ is a positive property, then there is a possibility that an x with property φ exists. That is, it is possible for positive things to exist
Now the mathematician turns for the first time to the definition of a divine being: x is divine if it possesses all positive properties φ. The second axiom ensures that a God defined in this way cannot have negative characteristics (otherwise one would create a contradiction)
The third axiom states that divinity is a positive characteristic. This point is not really arguable because divinity combines all positive characteristics
The second theorem now becomes a bit more concrete: by combining the third axiom (divinity is positive) and the first theorem (there is the possibility that something positive exists), a being x could exist that is divine
Gödel’s goal now is to show in the following steps that God must necessarily exist in the framework that has been laid out. For this purpose, he introduces in the second definition the “essence” φ of an object x, a characteristic property that determines all other characteristics. An illustrative example is “puppylike if something has this property, it is necessarily cute, fluffy and clumsy
The fourth axiom doesn’t seem too exciting at first. It simply states that if something is positive, then it is always positive — no matter the time, situation or place. Being puppylike and tasting good, for example, are always positive, whether during the day or at night in Heidelberg, Germany, or Buenos Aires
Gödel can now formulate the third theorem: if a being x is divine, then divinity is its essential property. This makes sense because if something is divine, it possesses all positive characteristics — and thus the properties of x are fixed
The next step relates to the existence of a particular being. If somewhere at least one being y possesses the property φ, which is the essential property of x, then x also exists. That is, if anything is puppylike, then puppies must also exist
According to the fifth axiom, existence is a positive property. I think most people would agree with that
From this one can now conclude that God exists because this being possesses every positive property, and existence is positive
As it turns out, Gödel’s logical inferences are all correct — even computers have been able to prove that. Nevertheless, these inferences have also drawn criticism. Besides the axioms, which of course can be questioned (why should a world be divisible into “good” and “evil”?), Gödel does not give more details about what a positive property is
It’s true that by means of the definitions and axioms, one can describe the set P mathematically:
1. If a property belongs to the set, its negation is not included. The set is self-contained
2. The fact that the essence of the set has only the characteristics of the set is itself an element of the set. The set always has the same elements — independent of the situation. In this case, the situation is the mathematical model in which the set is contained
3. Existence is part of the set
4. If φ is part of the set, then the property of having φ as the essence of the set is also contained in the set
But all of this does not ensure that this set is unique. There could be multiple collections that satisfy the requirements. For example, as logicians have shown, it is possible to construct cases where, by Gödel’s definition, there are more than 700 divine entities that differ in essence
ווי אויך וואלט קאנט זיך לכאורה געדינגען אויף אקסיאם 5 אז מ'קען דן זיין אין מציאות/עקזיסטענץ ווי א פּרעדיקעט.
***
דר. קענעט סיִסקין שרייבט במשנתו של הרמב״ם און זיין נעגאטיווע טעאלאגיע און דאָבּל נעגעישאן:
דער רמב״ם׳ס מהלך בסתם קען אולי גיין צוזאמען מיט מייסטער עקהארט׳ס מהלך אז די העכסטע געדאנק פון ״אַיִן״ איז הקב״ה.Maimonides’ appeal to negation (GP 1.58) is often misunderstood because in normal speech a double negative usually indicates a positive. If I say that this dog is not lacking in the power of sight, you would be justified in concluding that it can see for the simple reason that sight is a power normally associated with dogs. What Maimonides has in mind is a more extreme form of negation. Thus “God is powerful” means “God does not lack power or possess it in a way that makes it comparable to other things.” Can God do something like move a book off a shelf? Yes, to the extent that God does not lack power but no to the extent that God does not have to move muscles, summon energy, or receive a supply of food or fuel. The power to create the whole universe is so far beyond that needed to move a book that any comparison cannot help but mislead
***
דר. טאם ניקאלס שרייבט לגבי דאס זילזול כהיום נגד אינטעלעקטשועליזם און reasoning און דאס אויפשטייג פון אנטי-אינטעלעקטשועליזם:הקטן האט געשריבן:ס'איז היינט אן אפענע וועלט און ווער ס'וויל לערנען חכמה האט ב"ה אוואו צו גיין.
וכבר הבאתי מה שאמר היידעגער:These are dangerous times. Never have so many people had access to so much knowledge, and yet been so resistant to learning anything
כמובן קענען עקספּערטן אויך מאכן טעותים, און די טעותים קענען זיין גרעסערע אגב חורפיה לא דק, אבער על הכלל כולו איז עס ק״ו לטיפשים שלא קראו ולא שנו.What is most thought-provoking in these thought-provoking times, is that we are still not thinking
- מי אני
- שריפטשטעלער

- הודעות: 5784
- זיך רעגיסטרירט: פרייטאג אקטאבער 05, 2018 4:32 pm
- האט שוין געלייקט: 12391 מאל
- האט שוין באקומען לייקס: 8057 מאל
***
אינעם סוגיא פון גראַנדי׳ס סיריִס האט יעקב בּערנאָלי געוואוזן אז ווען איך האב איין נומער דיוויידעד ביי א צווייטע נומער צוזאמען מיט א דריטע נומער, איז ווילאנג די צוויי נומערן זענען נישט דאס זעלבע קומט דאס אויס צו די סיריִס (די גרעסערע נומער איז m): ועפי״ז קומט אויס אז טאמער זענען ביידע דיווייזאר נומערן דאס זעלבע, והיינו צוויי מאל די זעלבע נומער, דאן קומט דאס אויס ענליך צו גראַנדי׳ס סיריִס מיט alternating פאזיטיוו און נעגאטיוו סיינס: דניאל בּערנאָלי האט געוואוזן אז אויב שפילט מען זיך ארום מיט׳ן אריינלייגן 0׳ס אינעם סיריִס, קען מען דאס מאכן האבן עני וועליוּ צווישן 0 און 1.
די סיריִס פון:
1-2+4-8+16 אא״וו
וואס איז ענליך אין דעם אז עס טוישט כסדר אהין-און-צוריק פון פאזיטיוו צו נעגאטיוו, נאר יעדעס נומער דאפעלט זיך, איז בעצם דייווערדזשענט. נאר מיט מאטעמאטישע לומדות קען מען עס מאכן קאנווערדזשען צו 1/3. והיינו, דורכ׳ן דאס (לדוגמא) טראנספארמירן צום סיריִס:
1/2-1/4+1/8-1/16 אא״וו
וואס דאס קאָנווערדזשד צו 1/3 (דורך אַן אוילער סאָמעישאן).
*
ולגבי די געדאנק דערין אז 0 קען מען דאך צוטיילן אין צו 1-1, און דאס איז אַן אפטייל צווישן צייט וואס לויפט פאראויס און צייט וואס לויפט צוריקצווועגס (ואגב עיין כאן), קען מען אויך זאגן ענליך לגבי די חילוק צווישן אטעאיסטן און טעאיסטן. ווייל ווי געזאגט:
און מ׳טרעפט טאקע (ברכות ז.) ביי דעם רגע כמימריה פון בלעם שהיה יכול לכוון, וואס איינמאל מ׳האט דעם פתח קען מען שוין גיין ווייטער (ע״ש בתוד״ה שאלמלי), אז די פסוק זאגט (מיכה ו ג) ומה הלאתיך ענה בי.
***
דער מאטעמאטיקער דר. דוד נעאוּ האט געזאגט לגבי צאמלייגן מאטעמאטיקס מיט טעאלאגיע:
ועיין כאן איבער די פּיטאגאָריען טעארעם וכאן איבער אוילער׳ס אידענטיטעט.
אינעם סוגיא פון גראַנדי׳ס סיריִס האט יעקב בּערנאָלי געוואוזן אז ווען איך האב איין נומער דיוויידעד ביי א צווייטע נומער צוזאמען מיט א דריטע נומער, איז ווילאנג די צוויי נומערן זענען נישט דאס זעלבע קומט דאס אויס צו די סיריִס (די גרעסערע נומער איז m): ועפי״ז קומט אויס אז טאמער זענען ביידע דיווייזאר נומערן דאס זעלבע, והיינו צוויי מאל די זעלבע נומער, דאן קומט דאס אויס ענליך צו גראַנדי׳ס סיריִס מיט alternating פאזיטיוו און נעגאטיוו סיינס: דניאל בּערנאָלי האט געוואוזן אז אויב שפילט מען זיך ארום מיט׳ן אריינלייגן 0׳ס אינעם סיריִס, קען מען דאס מאכן האבן עני וועליוּ צווישן 0 און 1.
די סיריִס פון:
1-2+4-8+16 אא״וו
וואס איז ענליך אין דעם אז עס טוישט כסדר אהין-און-צוריק פון פאזיטיוו צו נעגאטיוו, נאר יעדעס נומער דאפעלט זיך, איז בעצם דייווערדזשענט. נאר מיט מאטעמאטישע לומדות קען מען עס מאכן קאנווערדזשען צו 1/3. והיינו, דורכ׳ן דאס (לדוגמא) טראנספארמירן צום סיריִס:
1/2-1/4+1/8-1/16 אא״וו
וואס דאס קאָנווערדזשד צו 1/3 (דורך אַן אוילער סאָמעישאן).
*
ולגבי די געדאנק דערין אז 0 קען מען דאך צוטיילן אין צו 1-1, און דאס איז אַן אפטייל צווישן צייט וואס לויפט פאראויס און צייט וואס לויפט צוריקצווועגס (ואגב עיין כאן), קען מען אויך זאגן ענליך לגבי די חילוק צווישן אטעאיסטן און טעאיסטן. ווייל ווי געזאגט:
וממילא איז די חילוק פשוט איינס און זמן: אז גראד נאך דער טעאיסט עפירמד דאס געבט ער דערצו די נעגעישאן. און ביי ג-ט טרעפט מען דעם געדאנק אז ער איז כביכול למעלה מן הזמן. וממילא טאמער געבט מען דעם עפענונג דערצו בכלל, הגם אז בתוך רגע כמימריה ווארפט מען דאס אפ, קען מען דערין אריינקוועטשן גאנץ רעליגיע.מי אני האט געשריבן:עס קומט אויס אז לגבי דאס פּראפּאזישאן פון דאס ״עקזיסטענץ״ פון ג-ט איז עס כעין 1 - 1 [איינס מיינוס איינס; פּאזיטיוו 1 און דערנאך צוגעלייגט צו דעם נעגאטיוו 1], און דער אטעאיסט זאגט דאך מעיקרא אויף דעם א גאנצע 0. איז די שאלה דא צי ביי די פאל איז 1-1 ≠ 0 אדער יא 1-1 = 0 ווי ביי געהעריגע מאטעמאטיקס? מיינענדיג, איז עס טאקע די זעלבע ווי דער אטעאיסט (עכ״פ בעלמא הדין) צי נישט?
און מ׳טרעפט טאקע (ברכות ז.) ביי דעם רגע כמימריה פון בלעם שהיה יכול לכוון, וואס איינמאל מ׳האט דעם פתח קען מען שוין גיין ווייטער (ע״ש בתוד״ה שאלמלי), אז די פסוק זאגט (מיכה ו ג) ומה הלאתיך ענה בי.
***
דער מאטעמאטיקער דר. דוד נעאוּ האט געזאגט לגבי צאמלייגן מאטעמאטיקס מיט טעאלאגיע:
***Integration [of God into mathematics] is not possible in mathematics. In mathematics, God’s revelation is silent. There is nothing to integrate… as far as math goes, there ain’t nuthin’ there
ועיין כאן איבער די פּיטאגאָריען טעארעם וכאן איבער אוילער׳ס אידענטיטעט.
- מי אני
- שריפטשטעלער

- הודעות: 5784
- זיך רעגיסטרירט: פרייטאג אקטאבער 05, 2018 4:32 pm
- האט שוין געלייקט: 12391 מאל
- האט שוין באקומען לייקס: 8057 מאל
דער מאטעמאטיקער דר. דזשעימס פּראַפּ זאגט אז בעצם איז דאך עני פּאזיטיווע אינטעדזשער דו וועסט נאר אָנכאפן below די עוורידזש פון די גאנצע סעט פון פּאזיטיווע אינטעדזשערס. דאס איז וויבאלד עס זענען דא א פיניט צאל פון נומערן אונטער/קלענער פון דעם, אבער אַן אינפיניט צאל נומערן נאך/גרעסער פון דעם. אבער עפ״י ראַמאַנוּזשאן סאָמעישאן מאכט ער די וויץ:
אויב די עוורידזש פונעם גאנצן סעט איז נאר 1/6, איז דאך יעדעס גאנצע פאזיטיווע אינטעדזשער אטאמאטיש מער ווי דעם.
- מי אני
- שריפטשטעלער

- הודעות: 5784
- זיך רעגיסטרירט: פרייטאג אקטאבער 05, 2018 4:32 pm
- האט שוין געלייקט: 12391 מאל
- האט שוין באקומען לייקס: 8057 מאל
פרייליכע נומערן
ענליך צום געדאנק פונעם קאָלאַץ קאָנדזשעקטשור איז דא די געדאנק פון פרייליכע נומערן. דאס איז אז איך הייב אָן מיט א נומער. דערנאך סקווער איך יעדעס דידזשיט אינעם נומער און איך עדד זיי צאם. דערנאך, מיט די נומער וואס איך באקום, טוה איך איבער דאס שפיל. אויב צום סוף קום איך אָן צום נומער 1, דאן איז דאס א פרייליכע נומער. למשל:
עס קומט אויס אז אויב טוישט מען ארום די דידזשיטס פון א פרייליכע נומער, גייט יענע נומער אויך זיין א פרייליכע נומער, ופשוט.
אין בּעיס 2 און 4 איז יעדעס נומער "פרייליך". מ'ווייסט אז ביז בּעיס 500,000,000 איז נישטא קיין בּעיס ווי יעדעס נומער איז "פרייליך". מ'איז נישט זיכער צי בּעיס 2 און 4 זענען די איינציגסטע בּעיסעס ווי יעדעס נומער איז "פרייליך".
אין בּעיס 2 און 4 איז יעדעס נומער "פרייליך". מ'ווייסט אז ביז בּעיס 500,000,000 איז נישטא קיין בּעיס ווי יעדעס נומער איז "פרייליך". מ'איז נישט זיכער צי בּעיס 2 און 4 זענען די איינציגסטע בּעיסעס ווי יעדעס נומער איז "פרייליך".
- מי אני
- שריפטשטעלער

- הודעות: 5784
- זיך רעגיסטרירט: פרייטאג אקטאבער 05, 2018 4:32 pm
- האט שוין געלייקט: 12391 מאל
- האט שוין באקומען לייקס: 8057 מאל
דער קריסטליכער טעאלאג דר. וויליאם לעין קרעיג איז (בעצם) נישט מסכים דערמיט. ער טענה׳ט אז דאס׳ן טענה׳ן ״ג-ט איז העכער פון מענטשליכע השגה און שפראך״ באדייט אז דאס פּרינציפּ פון בּייוועילענס, והיינו דאס געזעץ פון עקסקלוּדעד מיטן גייט נישט האלטן. ער האלט אז דאס איז אבסורד (און ווי אויך גייט דאס קעגן דאס געזעץ פון נאַן-קאַנטרעדיקשאן).מי אני האט געשריבן:אז מ׳האט דערמאנט גראַנדי׳ס סיריִס בנוגע רעליגיע האב איך געקלערט ענליך אז דא [פון 1:50] איז מען מסביר, עפ״י דר. אנטאני פלוּ, אז ס׳איז יתכן לומר אז דער אטעאיסט און דער טעאיסט זאגן בעצם די זעלבע זאך אויף למעשה (עכ״פ לגבי די אביעקטיווע וועלט ממש). דאס איז נאך מער עפ״י א שטארקע מהלך פון טעאיסטישע נעגאטיווע טעאלאגיע. און ווי אונז האבן דא אראפגעברענגט:והיינו, אז עס קומט אויס אז לגבי דאס פּראפּאזישאן אן פון דאס ״עקזיסטענץ״ פון ג-ט איז עס כעין 1 - 1 [איינס מיינוס איינס; פּאזיטיוו 1 און דערנאך צוגעלייגט צו דעם נעגאטיוו 1], און דער אטעאיסט זאגט דאך מעיקרא אויף דעם א גאנצע 0. איז די שאלה דא צי ביי די פאל איז 1-1 ≠ 0 אדער יא 1-1 = 0 ווי ביי געהעריגע מאטעמאטיקס? מיינענדיג, איז עס טאקע די זעלבע ווי דער אטעאיסט (עכ״פ בעלמא הדין) צי נישט?מי אני האט געשריבן:דאס דערמאנט פון דעם פראנצויזישן טעאלאג מישעל דע סערטעא'ס מימרא:The weight of [God's] transcendence makes any proposition relative, even to the point that the statement "God exists" has to be followed by a denial
(דאס קען שוין אויך אָנרירן אויף די געדאנק.)
דאס געבט אפשר א נייעם באדייט/קנייטש צו יוּקליד׳ס מימרא:The laws of nature are but the mathematical thoughts of G-dווי אויך צו דר. מעקס טעגמארק׳ס היפאטעזיע…
ועוד טענה׳ט ער, אז עס באדייט א סעלף-רעפערענץ וואס פרעגט דאס אפ. והיינו, די זאץ/פּראַפּאזישאן ״מ׳קען מגדיר זיין תוארים לגבי ג-ט דורך בּייוועילענט פּראַפּאזישאנס״ איז דאך בעצם אליינס א בּייוועילענט פּראַפּאזישאן לגבי ג-ט וממילא גייט די פּרינציפּ אליינס דא נישט נוגע זיין. אבער דאן איז דאך דאס נישט פאלש; עס איז ״אינדערמיט״. אבער מען זאגט דאך יא אז די פּראַפּאזישאן לגבי ג-ט איז פאלש ממש.
ובלשונו:
וידוע די פראבלעם פון רעליגיעזע שפראך. ועיין במו״נ ח״א פנ״ט. (און ווי די קריסטליכע טעאלאג דר. סעלי מקפעיג האט געזאגט, ״טעאלאגיע איז מערסטענס פיקציע״.)A second denial of theological truth comes from the quarter of Eastern mysticism and its peculiarly Western step-child, the New Age movement. According to this perspective, which I shall call mystical Anti-Realism, there are propositions about God all right, but they are neither true nor false; they are all of them truth valueless. Thus, propositions expressed by sentences like “God exists,” “God is good,” or “The world was created by God” are neither true nor false, having no truth value. God is said to transcend all categories of human thought and language, so that it is quite impossible to assert any truths about God, as Christian theology pretends to do
Unfortunately, it’s not even clear what is meant by the Mystical Anti-Realist claim that God is “above human thought and language.” This is a metaphorical expression; but what does it mean? The best sense I can make of this claim is that what logicians call the Principle of Bivalence fails to be valid for propositions about God. The Principle of Bivalence states that for any proposition p, p is either true or false. The Principle is very closely related to the Law of Excluded Middle, one of the famous three “laws of thoughts,” which states that for any proposition p and its negation not-p, either p is true or not-p is true. The claim under consideration is that propositions ostensibly referring to God are neither true nor false
Now on the face of it such a position seems incomprehensible, for it seems absurd to say that a logical contradiction is not false. But on this view a proposition expressed by a sentence like “God both exists and does not exist” is not false. Such a proposition seems necessarily false! Neither is it true that “God either exists or does not exist.” But this statement seems to be necessarily true — what other alternative is there?
But the position involves an even deeper incoherence. For consider the proposition expressed by the sentence: “God can be described by bivalent propositions.” Since that proposition is itself a proposition about God, the Principle of Bivalence should not be valid for it. Therefore, it cannot have a truth value; in particular, it cannot be false. But if it is not false, then how can it be the case, as the Anti-Realist claims, that the Principle of Bivalence fails for propositions about God? If the Principle of Bivalence fails for propositions about God, then isn’t it false that God can be described by bivalent propositions? The claim thus refutes itself: one cannot coherently affirm that propositions about God are neither true nor false
The Anti-Realist might retort that the above only shows that rational paradox is inevitable when we try to talk about God
*
איך פארשטיי אז די אשכול איבער מאטעמאטיקס ממש גייט אריין אפטמאל אין פילאזאפיע/טעאלאגיע. אבער גאטלאבּ פרעגע האט געזאגט אז ״יעדעס גוטע מאטעמאטיקער איז כאטש א האלבע פילאזאף, און יעדעס גוטע פילאזאף איז כאטש א האלבע מאטעמאטיקער. א פילאזאף וואס האט נישט קיין קשר צו מאטעמאטיקס/דזשיאמעטרי איז נאר א האלבער פילאזאף. א מאטעמאטיקער וואס האט נישט קיין קשר צו פילאזאפיע איז נאר א האלבער מאטעמאטיקער.״ וידוע וואס איז געווען געשריבן ביים שער פון אפלטון׳ס ישיבה (אין א וועג דאס התייסדות פון מערב-וועלט פילאזאפיע): ״דער וואס קען נישט דזשיאמעטרי זאל נישט אריינטרעהטן.״ דער פייטן ופילוסוף געארג פיליפּ פרידריך פרייהער וואן הארדענבערג, באקאנט אלס ״נאָוואַליס״, האט געזאגט, ״פּיוּר מאטעמאטיקס איז רעליגיע.״
- מי אני
- שריפטשטעלער

- הודעות: 5784
- זיך רעגיסטרירט: פרייטאג אקטאבער 05, 2018 4:32 pm
- האט שוין געלייקט: 12391 מאל
- האט שוין באקומען לייקס: 8057 מאל
דא צונעמט דר. אלכסנדר פּרוס די פּאראדאקס פונעם לאמפ אזוי:מי אני האט געשריבן:איך האב געקלערט בדרך צחות אז לגבי ווי אזוי איך האב צוגעשטעלט דעם געדאנק פון אמונה צו גראַנדי׳ס סיריִס אז מ׳קען אין דעם אריינטייטשן דעם אויבן-דערמאנטן טאמסאן׳ס לאמפ חקירה. דאס שטעלט צאם גראַנדי׳ס סיריִס מיט די סיריִס פון 1+1/2+1/4+1/8 אא״וו וועלכעס קאנווערדזשד צו 2, אזוי ווי מ׳האט דערמאנט אנהויב אשכול. והיינו, די חקירה פרעגט אז אויב איך האב א לאמפ וואס איך צינד דאס אן נאכ׳ן דורכגיין 1 מינוט [לגבי די גראַנדי סיריִס וועט דאס האבן א וועליוּ פון 1] און איך לעש עס דערנאך אויס נאכ׳ן דורכגיין 1/2 מינוט [לגבי די גראַנדי סיריִס וועט דאס האבן א וועליוּ פון (1-)], דערנאך צינד איך עס צוריק אָן נאכ׳ן דורכגיין 1/4 מינוט, דערנאך לעש איך עס אויס נאכ׳ן דורכגיין 1/8 מינוט, איך צינד עס נאכאמאל אָן נאכ׳ן דורכגיין 1/16 מינוט, וכן הלאה והלאה. ווי דערמאנט גייען די אלע אינטערוואלס, הגם זיי זענען אינפיניט, קאנווערדזשען צו 2 [מינוט]. שטעלט זיך די שאלה, ביי 2 מינוט איז די לאמפ אנגעצונדען אדער אויסגעלאשן? דאז ווענדט זיך אינעם גראַנדי סיריִס וויבאלד בתוך די 2 מינוט איז דאך דא אן אינפיניט צאל פון געהאלבטע אינטערוואלס, וואס ביי יעדע פון זיי טוישט זיך עס אלטערנאטיוולי פון (1-) [אויסגעלאשן] צו 1 [אנגעצינדען], און די סיריִס קאנווערדזשד דאך נישט געהעריג כנ״ל. און אן ענטפער פון 1/2 ביי דעם אין די קאנטעקסט האט אויך נישט קיין זין.
ולענינינו, איז דאס אולי א שטיקל רמז אז בעת בריאת העולם, וואס מעשה בראשית איז וואו מען קלערט אויף מציאות הא-ל, טרעפן מיר אז ס׳דא דעם ״אור״ הגנוז מחמת הרשעים...
והיינו, אז צווישן אן אינפיניט סוּפערטעסק פון א בּיינערי אור וחושך ביז מען קומט אָן צום מושג פון ״2״ קעגנזייטיגע הוכחות, איז דאס א זאך וואס איז שווער משיג ומכריע צו זיין וכו׳ ונגנז הוא מבני אדם.
1). צייט איז אַן אקטועלע אינפיניטי וואס איז צוטיילט לעתים
2). אי הכי איז די מעשה פון טאמסאן׳ס לאמפ (מעטאפיזיש) מעגליך
3). בהכרח, אויב איז דאס (מעטאפיזיש) אמת דאן איז דאס אדער אָנגעצינדן אדער אויסגעלאשן נאך 2 מינוט
די סתירה איז אז עס איז בהכרח נישט אָנגעצינדן און בהכרח נישט אויסגעלאשן נאך 2 מינוט - וויבאלד עס איז אלעמאל דא א צייט ווען עס איז אויסגעלאשן נאכ׳ן זיין אָנגעצינדן וכן להיפך, זייענדיג בעצם אַן אינפיניט צאל פאסירונגען פון אויסגעלאשן, אָנגעצינדען, אויסגעלאשן, אָנגעצינדען וכו'.
עס איז אבער מוכרח אויך צוצולייגן די הנחה אז:
4). יעדעס טויש אין די אָנגעצינדן צי אויסגעלאשענקייט דערפון איז א פועל יוצא פון די לעצטע טויש פאר די יעצטיגע. ווייל אז נישט איז דאך דאס פון זיך אליינס און אומאפהענגיק אין די סיריִס בכלל.
אבער דאן איז דאך די צווייטע הנחה פאלש: עס איז יא אומעגליך. דאס איז וויבאלד עס איז דאך אָנגעוואנדן אין ווי אזוי עס איז געווען ממש פריער, מיינענדיג דאס לעצטע טויש איז וואס איז פועל אויף וואס עס איז ענדגילטיג געבליבן. אבער עס איז דאך נישטא קיין ענדגילטיגע ״לעצטע״ טויש וכנ״ל!
און אין די סוגיא פון טעאיזם נוצט ער א סעלף רעפערענשאל משל אז עס איז כאילו מ'זאל פרעגן, ״אויב אטעאיזם איז אמת, וואלט ג-ט געוואלט מ׳זאל זיין אטעאיסטן?״ אבער אויב עס איז אמת איז דאך נישטא קיין ג-ט וואס וויל! ער זאגט אויך אז די פראבלעם ארבעט אויף פארקערט טאמער זאגט מען בריאת יש מאַיִן דערביי (וואס גראַנדי האט דאך געוואלט צייגן מיט זיין גראַנדי׳ס סיריִס, צו וואס דאס איז דומה, לענין בריאת יש מאַיִן). והיינו, אויב ג-ט באשאפט אזא סארט לאמפ מאַיִן איז עס אדער געווען אָנגעצינדן אדער אויסגעלאשן ביים בריאה. אבער דאס איז אויך נישט תלוי אין קיין פריערדיגן פאזיציע בעפאר.
דר. פּרוס פאר זיך האלט אז הגם אקטועלע אינפיניטיס זענען מעגליך (וסמך לזה ממאטעמאטיקס), איז אבער קאָזעל פיניטיזם אמת. והיינו אז עס איז אומעגליך צו זיין אַן אינפיניט סעריע פון פועל ונפעל; אזוי ווי ביי די טאמסאן׳ס לאמפ און דערפאר איז דאס טאקע נישט מעטאפיזיש מעגליך (ער זאגט אז דאס איז זיכער סינטעטיש אומעגליך וויבאלד די שנעלקייט אין צייט ביי דעם וואס ווערט מער און מער גייט עווענטועל גורם זיין אז די טויש פונעם switch וכו׳ גייט שנעלער ווי די שנעלקייט פון ליכטיגקייט).
דאס שטארקט אויך די קאלאם קאסמאלאגישע ארגומענט אז אויב דארף אלעס א cause, דארף אלעס אָלטימעטלי האבן אַן uncaused cause.
אגב, דר. וויליאם לעין קרעיג זאגט אז עס ליגט נישט אין זיין מאדערנע ווערסיע פונעם קאלאם קאסמאלאגישן ארגומענט א טענה/הוכחה פאר בריאת יש מאַיִן.
ועיין במו״נ ח״א פע״ג-עו וואו ער גלייכט נישט די (אריגינעלע) קאלאם ארגומענט.
דער פילאזאף דר. וויליאם רוֺי, אַן אטעאיסט, האט פארמולירט וואס ער האט גערופן די הוּם-עדוואָרדס פּרינציפּ. דאס לויטעט אז אויב יעדעס חלק פרטי בתוך א סעט האט א סיבה אלס א הסבר (פאר איר עקזיסטענץ), דאן האט מען מסביר געווען די סעט על הכלל מיט א סיבה אלס א הסבר (פאר איר עקזיסטענץ). דאס איז אָנגעבליך א פירכא צו אבן סינא׳ס הוכחה בפרט און דעם (קאלאם) קאסמאלאגישן ארגומענט בכלל: מ׳דארף נישט זוכן קיין אנדערע סיבה פאר דאס עקזיסטענץ פונעם כלל ווען מ׳פארשטייט א הסבר צו דאס עקזיסטענץ פון יעדעס חלק פרטי בתוכה. דר. אלכסנדר פּרוס טענה׳ט אבער אז דאס גייט נישט אָן ביי אַן אינפיניט קאָזעל ריִגרעס פון סיבות (עכ״פ טאמער איז עס א סארט אינפיניטי וואס האט אַן אָנהויב נאר איך קען דאס אינפיניטלי צוטיילן - איך וועל אין אזא פאל מוזן צוקומען צו א סיבה מחוצה לה), ואפילו ביי פיניט סעריע פון קאָזעל סיבות איז דאס אבער סירקולער. ועפי״ז, אויב איז די הוּם-עדוואָרדס פּרינציפּ אמת וויל ער גאר יא שטארקן דאדורך די טענה פון א סיבה ראשונה.
- מי אני
- שריפטשטעלער

- הודעות: 5784
- זיך רעגיסטרירט: פרייטאג אקטאבער 05, 2018 4:32 pm
- האט שוין געלייקט: 12391 מאל
- האט שוין באקומען לייקס: 8057 מאל
דער אור ה׳ איז אויך מסביר (מאמר א כלל ג פ״ג) דעם רמב״ם:מי אני האט געשריבן:וז"ל של העיקרים (מאמר ב פ"ו):ועיין ג"כ במו"נ ח"א פנ"ז "הוא נמצא ולא במציאות" ע"ש.אבל לפי האמת אין זה גדר ולא רושם, כי הוא יתברך אין לו גדר, כי הגדר מחובר מסוג והבדל, ומלת 'נמצא' אינה סוג שתאמר על כל נשואיו בהסכמה כמו שמדרך הסוג להיות כן, כי אין בעולם סוג יכללהו עם זולתו. כי לא יאמר 'נמצא' על הא-ל יתברך ועל זולתו בהסכמה, כי המציאות האמתי הוא אליו יתברך, ומציאות שאר הנמצאות קנוי ממציאותו, ואחר שהנמצא אינו סוג יכלול אותו יתברך ואת זולתו, אין לו הבדל.
דאס דערמאנט פון דעם פראנצויזישן טעאלאג מישעל דע סערטעא'ס מימרא:
The weight of [God's] transcendence makes any proposition relative, even to the point that the statement "God exists" has to be followed by a denial
ועפי״ז וזה.והעמיק עוד כי גם המציאות והאחדות לא יאמר בו ית׳ כי אם בשיתוף השם.
ער פאר זיך, אין דעם ענין פון אינפיניטי [נושא האשכול], האלט אז עס איז יא שייך תוארים בהקב״ה ביחס לזולתו. און די געדאנק אז די חילוק ביניהם איז צווישן פיניט און אינפיניט [בתכלית ובבלתי בעל תכלית], וממילא איז עס אינו נערך במדריגה, איז גענוג מספיק אויף צו זאגן אז עס איז נישטא קיין דמיון ביניהם (דער רלב״ג האלט אויך בעצם אזוי במלחמות ה׳ מאמר ג פ״ג). דאס זעלבע האלט ער איז בנוגע די חילוק בינו לבין ברואיו צווישן מחוייב המציאות און אפשרי, וואס איז במין. וממילא קען מען יא זאגן ״מציאות״ עליו ית׳ וואס איז א תואר עצמי (און נישט קאָלעפּסט לעצמותו, וואס דעמאלטס וואלט די ״עצמיות״ אליין געווען מובן אצלינו, וואס דאס איז מן הנמנע אלס׳ן זיין זיין השכל המשכיל והמושכל אחד, ועיין במו״נ ח״א פס״ח) וואס מ׳קען יא זאגן און איז די הוראה אז ער איז בלתי נעדר.
ער איז אויך קעגן דעם געדאנק פונעם רמב״ם בזה וואס האלט כנ״ל אז א דאָבּל-נעגאטיוו ביי דעם איז נישט קיין פּאזיטיוו. ווי ער שרייבט:
***ובכלל, באמרינו שהוא ית׳ איננו בלתי יודע, כבר חייבנו שהוא יודע… [ו]מה שיתחייב ביודע, יתחייב ביכול ורוצה ושאר התוארים.
ווי ארויסגעברענגט אָנהויב אשכול זענען דא צוויי וועגן ווי אזוי ארויסצושרייבן דעם זעטאַ פאָנקשען: אדער אלס אַן אינפיניט סומע אדער אלס אַן אינפיניט פּראדוקט. די שאלה שטעלט זיך וועלכע איז מער אקוראט ווען מ׳שטעלט דאס אפ ״אינדערמיט״; ווען עס איז פיניט? דא ווייזן זיי אז לכאורה געבט די פראדוקט ווערסיע מער ביז עס ״קומט אָן״ לאינפיניטי.
***
דא ברענגט דער מאטעמאטיקער דר. מעטיוּ וואטקינס צו א טעאלאגישע ״פּרוּף״ פאר׳ן ריעמאן היפּאטעזיע…
***
ולגבי דר. וויליאם לעין קרעיג׳ס דעבאטע מיט דר. קעווין שׁאַרפּ ברענגט דר. קרעיג צו פון דר. טימאטי מקגרוּ, לגבי דאס למעשה׳דיגע נישט דעמאנסטרעטיוו נאטור פון די סארט ארגומענטן:
ועיין כאן במה שהבאתי מדר. עלווין פּלאנטינגא.If someone concluded that each of these arguments for God’s existence has only a 13% chance of being true or sound then instead of saying it's still more likely than not that at least one of the arguments is true he should say “It's still more likely than not that God exists.” That the overall conclusion is true. So he's quite right, and Tim McGrew (an excellent philosopher in dealing with probability theory at the University of Western Michigan) has published an article on this in Philosophia Christi where he points out the power of the cumulative case where it could be that in the case of these five arguments that I typically present (or seven in the Sharp debate) each one has, say, only a 13% probability that theism is true given that argument. And yet the cumulative force of the case would easily satisfy the demand of Sharp that this overall conclusion be highly probable. So he's quite right. That is the power of a cumulative case. You don't even need to present arguments that make it 51% probable that God exists. One could make it 23% probable that God exists, another 25%, another 15%. And yet the overall cumulative probability of the arguments would make it highly probable that God exists
- מי אני
- שריפטשטעלער

- הודעות: 5784
- זיך רעגיסטרירט: פרייטאג אקטאבער 05, 2018 4:32 pm
- האט שוין געלייקט: 12391 מאל
- האט שוין באקומען לייקס: 8057 מאל
הרב דר. מיכאל אברהם איז מסביר גאָדעל׳ס מאָדעל הוכחה למציאות הא-ל. ער הייבט דארט אָן:
צום סוף פירט ער אויס אז מ׳קען דאס נוצן אלס א הוכחה צו ריין פילאזאפישע אינטוּאיטיוו מושגים, ״פילאזאפיע״, וואס זענען פועל אויף ראיות עובדות, הגם אז זיי אליינס זענען נישט ניתן לחושים:
צום סוף פירט ער אויס אז מ׳קען דאס נוצן אלס א הוכחה צו ריין פילאזאפישע אינטוּאיטיוו מושגים, ״פילאזאפיע״, וואס זענען פועל אויף ראיות עובדות, הגם אז זיי אליינס זענען נישט ניתן לחושים:
- מי אני
- שריפטשטעלער

- הודעות: 5784
- זיך רעגיסטרירט: פרייטאג אקטאבער 05, 2018 4:32 pm
- האט שוין געלייקט: 12391 מאל
- האט שוין באקומען לייקס: 8057 מאל
ווי איך פארשטיי, לערענט אפ דר. עלווין ריינעס דעם רמב"ם לגבי נבואת משרע"ה אז משרע"ה איז (דורך שלימות אין "געשטאלט אינטוּאישאן") צוגעקומען צו א דעמאנסטרעטיוו פּרוּף ממש על מציאות ה'. ער שרייבט דארט:מי אני האט געשריבן:און אז מ׳האט דערמאנט די געדאנק פון גאָדעל׳ס טעארעם, וואס צייגט טאקע אויף די געדאנק פון אומעגליכקייט אלעס צו דערגיין בתוך א סיסטעם, שרייבט דער מאטעמאטיקער דר. דזשעימס סטיין אז עס איז יתכן אז עס איז דא א פּרוּף וואס צייגט אויף דאס אומעגליכקייט צו אויפווייזן אדער אפפרעגן מציאת הא-ל (איינמאל מ׳האט דעפינירט די פּראַפּערטיס פונעם מושג ״ג-ט״):Both sides [theism and atheism] have been so busy trying to construct proofs supporting their case that it seems to me they have overlooked the obvious. Once the attributes of a deity are precisely defined, there may be a proof that it is impossible to prove the existence or nonexistence of such a deity. Alternatively, the deity hypothesis may possibly be shown to be independent of a set of philosophical axioms, adjoining either the deity hypothesis or its negation to those axioms leads to a consistent axiom set
I feel Maimonides' theologic agony was his striving and subsequent failure to discover the Mosaic mode of proof for the existence of God
- מי אני
- שריפטשטעלער

- הודעות: 5784
- זיך רעגיסטרירט: פרייטאג אקטאבער 05, 2018 4:32 pm
- האט שוין געלייקט: 12391 מאל
- האט שוין באקומען לייקס: 8057 מאל
בנוגע ראַמאַנוּדזשאַן סאָמעישאן האט מען מרחיב געווען די וויץ אזוי:
ובנוגע דאס אז מ׳קען פּלאַטן אויף א גרעף די אימעדזשינערי נומערן מלמעלה למטה און די עכטע נומערן מימין לשמאל, איז דא די וויץ:
און אז מ׳רעדט שוין, לגבי גרעפס בכלליות:
(אין פיזיקס וכדומה איז די x עקסיס אפטמאל צייט. די ״ארידזשין״ ביי א גרעף באדייט וואו סיי די x און סיי די y זענען 0.)
ובענין i (צוזאמען מיט טריגאנאמעטרי):
- מי אני
- שריפטשטעלער

- הודעות: 5784
- זיך רעגיסטרירט: פרייטאג אקטאבער 05, 2018 4:32 pm
- האט שוין געלייקט: 12391 מאל
- האט שוין באקומען לייקס: 8057 מאל
אביסל ענליך צום סעינט פּעטערסבּורג געים שרייבן דר. פרענק ארנצעניאוס, דר. אדם עלגא, און דר. דזשאן האָטאָרן אזא סארט משל (צווישן אנדערע):
דאנאלד טראמפּ באקומט אַן אפפער פון א באנק אין רוסלאנד (יא יא…). אויב געבט ער זיי א מיליאן דאלאר וועלן זיי אים מאכן (קאַוּנטעבּל) אינפיניט אפפערס פון געבן רובל ווי פאלגענד: יעדעס רובל באנקנאט האט א סיריעל נומער אָנגעהויבן פון 1. ביי 12:00 וועלן זיי אים געבן 10 רובל באנקנאטן, אין די רייע אָנגעהויבן על הסדר פון די קלענסטע סיריעל נומער און ארויף, און די מיט די קלענסטע סיריעל נומער, די מיט די נומער 1, דארף ער פארברענען. אז נישט באקומט ער גארנישט. 12:30 באקומט ער נאך 10 רובל באנקנאטן און ער דארף ווייטער פארברענען די מיט די קלענסטע סיריעל נומער וואס ער האט בכלל [די צווייטע קלענסטע וואס ער האט באקומען 12:00, והיינו די מיט די נומער 2]. 12:45 עוד הפעם. 12:52 עוד הפעם. 12:57 עוד הפעם. וכן הלאה והלאה על זה האופן אינפיניט פעמים ביז מ׳קומט אָן צו 1:00.
ער נעמט אָן דעם דיעל און ס׳קומט אויס אז ביי 1:00 האט ער גארנישט.
דאס איז אויך א משל פון זיי, וואס האט צו טוהן מיט קאַנווערדזשענס וואס איך האב אָנגעהויבן די אשכול מיט: ***
לגבי מאניפּולירן דיווערדזשענט סיריִס שרייבט דער מאטעמאטיקער דר. דזשעימס פּראַפּ:
דער מאטעמאטיקער דר. סטיווען סטראָגאץ שרייבט לגבי די אוילער אידענטיטעט:
דאנאלד טראמפּ באקומט אַן אפפער פון א באנק אין רוסלאנד (יא יא…). אויב געבט ער זיי א מיליאן דאלאר וועלן זיי אים מאכן (קאַוּנטעבּל) אינפיניט אפפערס פון געבן רובל ווי פאלגענד: יעדעס רובל באנקנאט האט א סיריעל נומער אָנגעהויבן פון 1. ביי 12:00 וועלן זיי אים געבן 10 רובל באנקנאטן, אין די רייע אָנגעהויבן על הסדר פון די קלענסטע סיריעל נומער און ארויף, און די מיט די קלענסטע סיריעל נומער, די מיט די נומער 1, דארף ער פארברענען. אז נישט באקומט ער גארנישט. 12:30 באקומט ער נאך 10 רובל באנקנאטן און ער דארף ווייטער פארברענען די מיט די קלענסטע סיריעל נומער וואס ער האט בכלל [די צווייטע קלענסטע וואס ער האט באקומען 12:00, והיינו די מיט די נומער 2]. 12:45 עוד הפעם. 12:52 עוד הפעם. 12:57 עוד הפעם. וכן הלאה והלאה על זה האופן אינפיניט פעמים ביז מ׳קומט אָן צו 1:00.
ער נעמט אָן דעם דיעל און ס׳קומט אויס אז ביי 1:00 האט ער גארנישט.
דאס איז אויך א משל פון זיי, וואס האט צו טוהן מיט קאַנווערדזשענס וואס איך האב אָנגעהויבן די אשכול מיט: ***
לגבי מאניפּולירן דיווערדזשענט סיריִס שרייבט דער מאטעמאטיקער דר. דזשעימס פּראַפּ:
***Mathematicians don’t have much use for divergent series these days, but physicists seem to have a higher tolerance for them. String theorists actively like them. Of course they do
דער מאטעמאטיקער דר. סטיווען סטראָגאץ שרייבט לגבי די אוילער אידענטיטעט:
- מי אני
- שריפטשטעלער

- הודעות: 5784
- זיך רעגיסטרירט: פרייטאג אקטאבער 05, 2018 4:32 pm
- האט שוין געלייקט: 12391 מאל
- האט שוין באקומען לייקס: 8057 מאל
פּרינציפּ פון פּערמאנענס
דא האב איך געשריבן איבער דעם אז ווען אַן עקספּאָנענט איז א פרעקשאן, דאן באדייט דאס אז די די דענאמינעיטאר וועט זיין די מספר פון די רוּט [2 פאר א סקווער רוּט, 3 פאר א קיוּבּיק רוּט, 4 פאר א 4 רוּט [א נומער מאל די זעלבע נומער מאל די זעלבע נומער מאל די זעלבע נומער וועט אנקומען צו די נומער אין די רוּט], און די נוּמערעיטאר וועט זיין די עקספּאָנענט פון די נומער אין די רוּט. דאס אויפצוווייזן באנוצט מען זיך מיט וואס ווערט גערופן דעם פּרינציפּ פון פּערמאנענס. דאס באדייט אז נישט קיין חילוק וועלכע סארט נומערן איך נוץ אריינצולייגן אין די וועריעבּל פון אַן אַלגעבּרעאישן עקוועישאן [גאנצע, פרעקשאנס, ואפילו קאמפּלעקס], וועט די אַלגעבּרעאישע עקוועישאן נאכפאלגן די זעלבע אלגעמיינע הלכות און manipulations ולפי די נומער שבה.
דער מאטעמאטיקער דר. דזשעימס פּראַפּ שרייבט ווי אזוי דאס ווייזט אז עקספּאָנענטס וואס זענען פרעקשאנס, זענען באמת רוּטס: כידוע, ווען מ׳מאָלטיפּלייט צוויי בּעיסעס וואס זענען דאס זעלבע, וואס האבן עקספּאָנענטס, לאז איך די בּעיס די זעלבע און איך עדד צאם די עקספּאָנענטס. (ווען איך דיווייד צוויי בּעיסעס וואס זענען דאס זעלבע, וואס האבן עקספּאָנענטס, לאז איך די בּעיס די זעלבע און איך סאָבּטרעקט די צווייטע עקספּאָנענט פונעם ערשטן. ווען איך העכער א בּעיס מיט אַן עקספּאָנענט ביי א צווייטע עקספּאָנענט, לאז איך די בּעיס דאס זעלבע און איך מאָלטיפּליי די עקספּאָנענטס.)
די פּרינציפּ האלט אבער נישט אלעמאל, ולדוגמא ביי קאָטערניִאַנס וכמבואר. אבער דאס אליינס צו דעגרינטעווען ״פארוואס נישט?״, איז וויכטיג צום פארשטאנד פונעם נושא.
און אז מ׳רעדט שוין, שרייבט ער דארט לגבי פרעקשאנס בכלל:
ער שרייבט דארט אויך לגבי דעם ארכימידיען פּרינציפּ. דאס לויטעט אז ווען איך האב צוויי נומערן, וואס איינס איז פיל פיל פיל קלענער ווי דאס צווייטע, גיי איך אלס האבן א נומער וואס איך קען מאלטיפּלייען די קלענערע ביי, כדי עס זאל אָנקומען צו כאטש אזוי גרויס ווי די גרעסערע נומער. אין אנדערע ווערטער, עס איז אין א סעט וואס האט נישט קיין אינפיניטלי קליין אדער אינפיניטלי גרויס. ער שרייבט:
ובענין לימיטס ביז אינפיניטי איז, כידוע, אויפגעוואוזן אין מאטעמאטיקס אז
.9999999999…=1
שרייבט דארט דר. פּראַפּ:
ולגבי ראַמאַנוּזשאַן סאָמעישאן שרייבט דא דר. פּראַפּ:
עס איז אויך דא די געדאנק פון קאַוּשי סיִקווענסעס. דאס זענען סיִקווענסעס וואס מ׳קען גרינגער זעהן אז זיי קאַנווערדזשען, וויבאלד ווי ווייטער די סיִקווענס גייט אלס ווייניגער איז די מרחק און דיפערענץ צווישן די צוויי נומערן וואס זענען איינס נעבן דאס אנדערע. אין אנדערע ווערטער, אין דעם סיִקווענס, ווען איך כאפ אָן א ווייטקייט צווישן נומערן, זענען אלע (די אינפיניט לינקע זייט) קלענער ווי דעם אחוץ א פיניט צאל וואס זענען גרעסער (די פיניט רעכטע זייט).
דער מאטעמאטיקער דר. דזשעימס פּראַפּ שרייבט ווי אזוי דאס ווייזט אז עקספּאָנענטס וואס זענען פרעקשאנס, זענען באמת רוּטס: כידוע, ווען מ׳מאָלטיפּלייט צוויי בּעיסעס וואס זענען דאס זעלבע, וואס האבן עקספּאָנענטס, לאז איך די בּעיס די זעלבע און איך עדד צאם די עקספּאָנענטס. (ווען איך דיווייד צוויי בּעיסעס וואס זענען דאס זעלבע, וואס האבן עקספּאָנענטס, לאז איך די בּעיס די זעלבע און איך סאָבּטרעקט די צווייטע עקספּאָנענט פונעם ערשטן. ווען איך העכער א בּעיס מיט אַן עקספּאָנענט ביי א צווייטע עקספּאָנענט, לאז איך די בּעיס דאס זעלבע און איך מאָלטיפּליי די עקספּאָנענטס.)
די פּרינציפּ האלט אבער נישט אלעמאל, ולדוגמא ביי קאָטערניִאַנס וכמבואר. אבער דאס אליינס צו דעגרינטעווען ״פארוואס נישט?״, איז וויכטיג צום פארשטאנד פונעם נושא.
און אז מ׳רעדט שוין, שרייבט ער דארט לגבי פרעקשאנס בכלל:
Many people find fractions and decimals confusing, counter-intuitive, and even scary. Consider the story of the A&W restaurant chain’s ill-fated third-of-a-pound burger, introduced as a beefier rival of the McDonald’s quarter-pounder. Many customers were unhappy that A&W was charging more for a third of a pound of beef than McDonald’s charged for a quarter of a pound. And why shouldn’t they be unhappy? Three is less than four, so one-third is less than one-fourth, right?
Well, that’s what many of those aggrieved customers told the consultants who had been hired to find out why A&W’s “Third is the Word!” innovation had gone so disastrously awry. But I wonder if those customers were rationalizing (sorry…) after the fact. Maybe some of these people had had such bad experiences when learning about fractions in school (the awkward fraction 1/3 in particular) that they preferred to avoid eating at establishments that triggered their math anxiety
ער שרייבט דארט אויך לגבי דעם ארכימידיען פּרינציפּ. דאס לויטעט אז ווען איך האב צוויי נומערן, וואס איינס איז פיל פיל פיל קלענער ווי דאס צווייטע, גיי איך אלס האבן א נומער וואס איך קען מאלטיפּלייען די קלענערע ביי, כדי עס זאל אָנקומען צו כאטש אזוי גרויס ווי די גרעסערע נומער. אין אנדערע ווערטער, עס איז אין א סעט וואס האט נישט קיין אינפיניטלי קליין אדער אינפיניטלי גרויס. ער שרייבט:
ועיין כאן.the Archimedean property: Given two counting numbers m and n, no matter how disparate in size they are, if you add enough m’s together you can get a sum at least as big as n, and vice versa. The older I get, the more profound I think the Archimedean Property is, not just as a mathematical assertion but as an assertion about the observable universe. We study quarks and we study galaxies, and they’re very different from each other, but they occupy a common scale, with human beings somewhere in the middle. Maybe there are things that are infinitely smaller than quarks or infinitely larger than galaxies, but how could we ever come to know about them? It seems to me that the Archimedean property of the counting numbers in a way corresponds to fundamental limits on our ability to probe the universe with our finite bodies and minds
ובענין לימיטס ביז אינפיניטי איז, כידוע, אויפגעוואוזן אין מאטעמאטיקס אז
.9999999999…=1
שרייבט דארט דר. פּראַפּ:
I asked ChatGPT, the modern apotheosis of unjustified self-confidence, to prove that .999… is less than 1. Its reply began “Here is a proof that .999… is less than 1.” It then proceeded to show (using familiar arguments) that .999… is equal to 1, before majestically concluding “But our goal was to show that .999… is less than 1. Hence the proof is complete.” This reply, as an example of brazen mathematical non sequitur, can scarcely be improved upon
Curiously, shortly after ChatGPT gave me this answer, the chat session terminated unexpectedly, and when I started a new session and repeated my question, ChatGPT gave me a more sensible answer; no matter how strongly I prompted it, it wouldn’t repeat its earlier bogus answer. I know ChatGPT is just a predictive language model, but it was hard no avoid the sensation that this predictive language model was ashamed of its earlier response
ולגבי ראַמאַנוּזשאַן סאָמעישאן שרייבט דא דר. פּראַפּ:
***Ramanujan himself didn’t mention the zeta function; he just did some manipulations of the series. But which manipulations are we allowed to do? There’s the rub. There are ways to manipulate Ramanujan’s sum so as to lead to different conclusions than Ramanujan’s. For instance, there’s a way to “prove” (*) that 1+2+3+4+… is 0, and there are infinitely many ways to “prove” that 1+2+3+4+… is −1/8. There are good reasons to prefer Ramanujan’s manipulations to these, but anyone who shows you Ramanujan’s derivation without explaining why his way of juggling symbols is profound and the others are mere curiosities isn’t telling you the whole story
I think it’s misleading to say that 1+2+3+4+… equals −1/12. It would be better to say something more like “the divergent series 1+2+3+4+… is associated with the value −1/12” or “the zeta-regularized value of the series 1+2+3+4+… is −1/12” or “The Ramanujan constant of the series 1+2+3+4+… is −1/12.” Phrasing the result this way isn’t as catchy as asserting equality, but it’s more honest (while at the same time more respectable-sounding than “1+2+3+4+… wants to be −1/12”)
(*) If S = 1+2+3+… then 2S = 1+1+2+2+3+3+… = 1+(1+2)+(2+3)+… = 1+3+5+… = (1+2+3+…) − (2+4+6+…) = S − 2S = −S, and 2S = −S implies S = 0
עס איז אויך דא די געדאנק פון קאַוּשי סיִקווענסעס. דאס זענען סיִקווענסעס וואס מ׳קען גרינגער זעהן אז זיי קאַנווערדזשען, וויבאלד ווי ווייטער די סיִקווענס גייט אלס ווייניגער איז די מרחק און דיפערענץ צווישן די צוויי נומערן וואס זענען איינס נעבן דאס אנדערע. אין אנדערע ווערטער, אין דעם סיִקווענס, ווען איך כאפ אָן א ווייטקייט צווישן נומערן, זענען אלע (די אינפיניט לינקע זייט) קלענער ווי דעם אחוץ א פיניט צאל וואס זענען גרעסער (די פיניט רעכטע זייט).
- מי אני
- שריפטשטעלער

- הודעות: 5784
- זיך רעגיסטרירט: פרייטאג אקטאבער 05, 2018 4:32 pm
- האט שוין געלייקט: 12391 מאל
- האט שוין באקומען לייקס: 8057 מאל
לגבי דעם אז א דאָבּל-נעגעישאן לגבי תוארים על הקב"ה באדייט נישט א פּאזיטיוו, שרייבט דר. משה הלברטל:
ולגבי צי ס'איז שייך א דעמאנסטרעטיוו פּרוּף למציאות ה', שרייבט ער עפ"י משנתו של דר. שלמה פינס, וועלכער האט אפגעלערענט דעם רמב"ם במו"נ אלס צוצוקומען צו א סארט סקעפּטיסיזם בעניני מעטאפיזיקס:
Just as we cannot say that God “sees,” neither can we say that God “knows”; and just as we cannot say that God “sits,” neither can we say that God “is present” or “exists”
The inclusive nature of the attribute/adjective transforms religious language into a medium that ignores God’s transcendence from the world. Maimonides therefore takes the view that one can only negate the association of certain attributes with God; one can say, for example, that He is not absent or that He is not multiple, but no positive attributes can be associated with Him. It should be emphasized that the negative attributes are categorical negatives, that is, one may infer no positive attributes from them. Ordinary negation differs logically from categorical negation in that ordinary negation allows for the corresponding positive attribute — that is, the opposite of the attribute being negated — to be inferred. If a person is said not to be absent, it may be inferred that he is present. But if the number three is said not to be yellow, it cannot be inferred that it is green or red. In that sort of categorical negation, what is negated is the category of color with respect to numbers. The expression “God is not absent” does not allow for the inference that God is present, as it would in a case of ordinary negation. Categorical negation maintains that the category of absence or presence, as we know it, does not apply to God; the same is true of unity and multiplicity. Because there is no way to apply positive attributes to God, all that we know about his essence pertains to what He is not. A person who knows God advances through the sequence of negations and comes to know more and more that he does not know
But if the critique of religious language is taken seriously, then a proof of God’s existence that concludes with the statement “God exists” lacks any meaning whatsoever. God cannot be known in any positive way, and so the immortality of the soul [which is achieved through the actualization of the soul's capacity to apprehend metaphysical truths] is likewise impossible. Accordingly, human perfection must be situated in some context other than knowledge of God, for in this critical view of things, that knowledge includes only what cannot be known
- מי אני
- שריפטשטעלער

- הודעות: 5784
- זיך רעגיסטרירט: פרייטאג אקטאבער 05, 2018 4:32 pm
- האט שוין געלייקט: 12391 מאל
- האט שוין באקומען לייקס: 8057 מאל
זיי שרייבן:
Bernhard Riemann died in 1866 at the age of 39. Here is a list of things named after him
Riemann bilinear relations
Riemann conditions
Riemann form
Riemann function
Riemann–Hurwitz formula
Riemann matrix
Riemann operator
Riemann singularity theorem
Riemann surface
Compact Riemann surface
The tangential Cauchy–Riemann complex
Zariski–Riemann space
Cauchy–Riemann equations
Riemann integral
Generalized Riemann integral
Riemann multiple integral
Riemann invariant
Riemann mapping theorem
Measurable Riemann mapping theorem
Riemann problem
Riemann solver
Riemann sphere
Riemann–Hilbert correspondence
Riemann–Hilbert problem
Riemann–Lebesgue lemma
Riemann–Liouville integral
Riemann–Roch theorem
Arithmetic Riemann–Roch theorem
Riemann–Roch theorem for smooth manifolds
Grothendieck–Hirzebruch–Riemann–Roch theorem
Hirzebruch–Riemann–Roch theorem
Riemann–Stieltjes integral
Riemann series theorem
Riemann sum
Riemann–von Mangoldt formula
Riemann hypothesis
Generalized Riemann hypothesis
Grand Riemann hypothesis
Riemann hypothesis for curves over finite fields
Riemann theta function
Riemann Xi function
Riemann zeta function
Riemann–Siegel formula
Riemann–Siegel theta function
Free Riemann gas
Riemann–Cartan geometry
Riemann–Silberstein vector
Riemann-Lebovitz formulation
Riemann curvature tensor
Riemann tensor
Riemannian graph
Riemannian group
Riemannian holonomy
Riemannian manifold also called Riemannian space
Riemannian metric tensor
Riemannian Penrose inequality
Riemannian polyhedron
Riemannian singular value decomposition
Riemannian submanifold
Riemannian submersion
Riemannian volume form
Riemannian wavefield extrapolation
Sub-Riemannian manifold
Riemannian symmetric space
Riemann's differential equation
Riemann's existence theorem
Riemann's explicit formula
Riemann's minimal surface
Riemann's theorem on removable singularities
Riemannian Geometry
Riemannian 2-Manifold
Riemannian Connection on a Surface
Pseudo-Riemannian Manifold
- מי אני
- שריפטשטעלער

- הודעות: 5784
- זיך רעגיסטרירט: פרייטאג אקטאבער 05, 2018 4:32 pm
- האט שוין געלייקט: 12391 מאל
- האט שוין באקומען לייקס: 8057 מאל
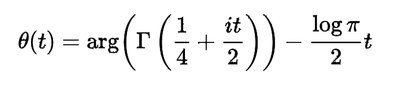
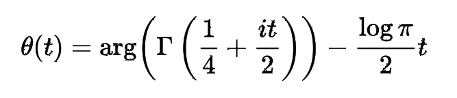
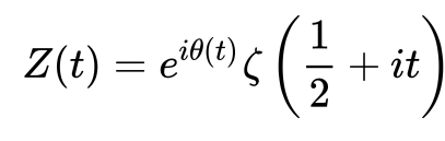
ריעמאן-סיעגעל טעטאַ און זעטאַ פאָנקשען/Z פאָנקשען
אין דעם סוגיא פונעם ריעמאן זעטאַ פאָנקשען איז דא דאס ריעמאן-סיעגעל זעטאַ פאָנקשען (אויך גערופן דעם Z פאָנקשען) וואס העלפט דאס איוועליוּעיטן. דאס ארבעט עפ״י די געמאַ פאָנקשען און די ריעמאן-סיעגעל טעטאַ פאָנקשען.
די געמאַ פאָנקשען איז א מאטעמאטישע לומדות פון אויסברייטערן די געדאנק פון א פעקטאָריעל (פאָנקשען) צו קאמפּלעקס נומערן אויך; עכ״פ וואו די ״עכטע״ חלק פונעם נומער איז פּאזיטיוו. עפי״ז ארבעט די ריעמאן-סיעגעל טעטאַ פאָנקשען אז ווען איך האב א נומער נעם איך די געמאַ פאָנקשען פונעם קאמפּלעקס נומער פון ״עכטע״ (פּאזיטיוו) 1/4 פּלאָס/מיט די אימעדזשינערי האלב פון דעם נומער וואס איך האב געוועהלט. דערנאך נעם איך אוועק דערפון די לאַגעריטם (בּעיס פון 10) וואס גייט מיר געבן π, טיימס די נומער וואס איך האב געוועהלט, און איך נעם דערנאך די האלב דערפון. עפי״ז איז די ריעמאן-סיעגעל זעטאַ פאָנקשען/Z פאָנקשען פאר א נומער, ווען איך נעם די ריעמאן-סיעגעל טעטאַ פאָנקשען פון דעם נומער, געב דאס אלס אימעדזשינערי, און שטעל דאס אלס די עקספּאָנענט פון אוילער׳ס נומער (ועיין ערך אוילער׳ס אידענטיטעט). דערנאך מאָלטיפּליי איך דאס ביי די (געהעריגע) זעטאַ פאָנקשען פונעם קאמפּלעקס נומער וואס איז פאזיטיוו (״עכטע״) 1/2 פּלאָס די נומער וואס איך האב געוועהלט אלס די אימעדזשינערי חלק. עס קומט אויס אז די זעראָס פון די ״עכטע״ נומערן וואס איך פיטער אריין צום ריעמאן-סיעגעל זעטאַ פאָנקשען/Z פאָנקשען זענען די ״נאַן-טריוויעל״ זיראָס פונעם זעטאַ פאָנקשען ווען די ״עכטע״ חלק איז 1/2, און די זיראָס פון די קאמפּלעקס נומערן דערפון זענען די ״טריוויעל״ זיראָס פונעם זעטאַ פאָנקשען.
***
אז מ׳האט פריער דערמאנט די געדאנק פון דיסטריבּיוּשאן ביי לאגיק, איז ווי אזוי עס ארבעט דארט איז אז טאמער האט מען א פּראַפּאזישאן:
א׳ און (ב׳ אדער ג׳)
דאן איז דאס די זעלבע ווי:
(א׳ און ב׳) אדער (א׳ און ג׳)
די געמאַ פאָנקשען איז א מאטעמאטישע לומדות פון אויסברייטערן די געדאנק פון א פעקטאָריעל (פאָנקשען) צו קאמפּלעקס נומערן אויך; עכ״פ וואו די ״עכטע״ חלק פונעם נומער איז פּאזיטיוו. עפי״ז ארבעט די ריעמאן-סיעגעל טעטאַ פאָנקשען אז ווען איך האב א נומער נעם איך די געמאַ פאָנקשען פונעם קאמפּלעקס נומער פון ״עכטע״ (פּאזיטיוו) 1/4 פּלאָס/מיט די אימעדזשינערי האלב פון דעם נומער וואס איך האב געוועהלט. דערנאך נעם איך אוועק דערפון די לאַגעריטם (בּעיס פון 10) וואס גייט מיר געבן π, טיימס די נומער וואס איך האב געוועהלט, און איך נעם דערנאך די האלב דערפון. עפי״ז איז די ריעמאן-סיעגעל זעטאַ פאָנקשען/Z פאָנקשען פאר א נומער, ווען איך נעם די ריעמאן-סיעגעל טעטאַ פאָנקשען פון דעם נומער, געב דאס אלס אימעדזשינערי, און שטעל דאס אלס די עקספּאָנענט פון אוילער׳ס נומער (ועיין ערך אוילער׳ס אידענטיטעט). דערנאך מאָלטיפּליי איך דאס ביי די (געהעריגע) זעטאַ פאָנקשען פונעם קאמפּלעקס נומער וואס איז פאזיטיוו (״עכטע״) 1/2 פּלאָס די נומער וואס איך האב געוועהלט אלס די אימעדזשינערי חלק. עס קומט אויס אז די זעראָס פון די ״עכטע״ נומערן וואס איך פיטער אריין צום ריעמאן-סיעגעל זעטאַ פאָנקשען/Z פאָנקשען זענען די ״נאַן-טריוויעל״ זיראָס פונעם זעטאַ פאָנקשען ווען די ״עכטע״ חלק איז 1/2, און די זיראָס פון די קאמפּלעקס נומערן דערפון זענען די ״טריוויעל״ זיראָס פונעם זעטאַ פאָנקשען.
***
אז מ׳האט פריער דערמאנט די געדאנק פון דיסטריבּיוּשאן ביי לאגיק, איז ווי אזוי עס ארבעט דארט איז אז טאמער האט מען א פּראַפּאזישאן:
א׳ און (ב׳ אדער ג׳)
דאן איז דאס די זעלבע ווי:
(א׳ און ב׳) אדער (א׳ און ג׳)
- מי אני
- שריפטשטעלער

- הודעות: 5784
- זיך רעגיסטרירט: פרייטאג אקטאבער 05, 2018 4:32 pm
- האט שוין געלייקט: 12391 מאל
- האט שוין באקומען לייקס: 8057 מאל
אגב, דער מאטעמאטיקער גאטהאלד אייזענשטיין, וואס על שמו ווערן גערופן די אייזענשטיין אינטעדזשערס, איז ל״ע געשטארבן אלט זייענדיג 29 יאר (אזוי ווי אנדערע מאטעמאטישע עילוים וואס זענען ל״ע געשטארבן גאר אינג, ווי ניִלס הענריק אַבּעל, עוואריסט געלויס, און פרענק רעמסי). (זיינע עלטערן זענען געווען אידן וואס האבן זיך ל״ע גע׳שמד׳ט.) מ׳זאגט נאך אז קארל פרידריך גאַוּס האט געזאגט אויף אים, ״עס זענען נאר געווען דריי מאטעמאטיקער וואס האבן געשאקעלט א וועלט: ארכימידוס, ניוטאן, און אייזענשטיין.״ ער האט זיכער געזאגט אז ״אזא סארט מאטעמאטישע טאלאנט קומט נאר אפיר געציילט מאל אין א יאר-הונדערט.״
וויבאלד די נומערן זענען געבויט מכח א דריטל אין אַן עקספּאָנענט, וואס דאס באדייט אז זיי האבן א רוּט פון 3, קומט אויס אז יעדעס אייזענשטיין אינטעדזשער איז א קיוּבּיק [3] רוּטס פון יוּניטי וואס אַן עקספּאָנענט פון 3, אדער א מאָלטיפּל דערפון, וועלן דאס צוריקצוברענגען צו 1.
***
ולגבי די קשר צווישן גאָדעל׳ס אינקאמפּליטנעס טעארעם און אויפווייזן מציאות ה׳ איז דאס וואס דר. ליעם קאפי בּרייט שרייבט: ***
ומענין לענין באותו ענין פונעם קשר צווישן מאטעמאטיקס און טעאלאגיע זאגט דר. וויקטאר בּלאַזשאָ לגבי יוּקליד:
וויבאלד די נומערן זענען געבויט מכח א דריטל אין אַן עקספּאָנענט, וואס דאס באדייט אז זיי האבן א רוּט פון 3, קומט אויס אז יעדעס אייזענשטיין אינטעדזשער איז א קיוּבּיק [3] רוּטס פון יוּניטי וואס אַן עקספּאָנענט פון 3, אדער א מאָלטיפּל דערפון, וועלן דאס צוריקצוברענגען צו 1.
***
ולגבי די קשר צווישן גאָדעל׳ס אינקאמפּליטנעס טעארעם און אויפווייזן מציאות ה׳ איז דאס וואס דר. ליעם קאפי בּרייט שרייבט: ***
ומענין לענין באותו ענין פונעם קשר צווישן מאטעמאטיקס און טעאלאגיע זאגט דר. וויקטאר בּלאַזשאָ לגבי יוּקליד:
Here’s another fun linguistic-cultural perspective on diagrams in Greek geometry. The language in which Euclid describes constructions is quite odd. “Let the circle ABC have been described.” The language of Greek mathematics “makes the author and temporality disappear from a proof,” as one historian has put it. Euclid is not saying that he’s drawing the diagram, and he’s not telling the reader to draw the diagram. He’s just sort of commanding the diagram into existence
You know the book of Genesis in the Bible: “Let there be light,” God said, and there was light. Euclid uses literally the same kind of construction. It’s exactly the same verb form as in the Ancient Greek version of the Bible. Just as God makes heaven and earth by merely pronouncing that they exist, so Euclid makes geometrical objects appear just ordering them to be. It’s not “I draw” or “you draw” but “let it have been done”
You could read this as supporting a Platonic conception of mathematics. Euclid is distancing himself from actual drawing. The objects of mathematics just are. They are not something you or I have to make
But here’s a counter argument to this interpretation. Netz argues that actually Euclid’s grammatical construction merely reflects a purely practical circumstance of the Greek tradition. Namely, that Greek mathematicians had to prepare their diagrams in advance due to technical limitations of the visual media available. Here’s what Nets writes:
“Of the media available to the Greeks none had ease of writing and rewriting. [Standard media were papyri and wax tablets, and, for larger audiences, such as Aristotle’s lectures,] the only practical option was wood painted white. None of these [ways of representing figures] is essentially different from a diagram as it appears in a book. The limitations of the media available suggest the preparation of the diagram prior to the communicative act - a consequence of the inability to erase. This, in fact, is the simple explanation for the use of perfect imperatives [such as] ‘let the point A have been taken’. It reflects nothing more than the fact that, by the time one comes to discuss the diagram, it has already been drawn”
That’s Netz’s interpretation, and if he’s right then Euclid’s grammatical choice reflects only incidental cultural circumstances and says nothing about philosophical commitments. “Let it have been done” just means “I did it yesterday”. It doesn’t mean that geometry is set apart from concrete action and that doing has no place in mathematics
- מי אני
- שריפטשטעלער

- הודעות: 5784
- זיך רעגיסטרירט: פרייטאג אקטאבער 05, 2018 4:32 pm
- האט שוין געלייקט: 12391 מאל
- האט שוין באקומען לייקס: 8057 מאל
לגבי די אנטאלאגישע הוכחה/ארגומענט און קאנט'ס פירכא דערויף, שרייבט שלמה מיימון אין זיין גבעת המורה אויפ'ן מו"נ (ח"א פנ"ז):
***
- מי אני
- שריפטשטעלער

- הודעות: 5784
- זיך רעגיסטרירט: פרייטאג אקטאבער 05, 2018 4:32 pm
- האט שוין געלייקט: 12391 מאל
- האט שוין באקומען לייקס: 8057 מאל
זעטאַ פאָנקשען רעגולאריזעישאן
בנוגע מאטעמאטישע לומדות לגבי מאכן א דיווערדזשענט סיריִס קאנווערדזשען איז דא א לומדות, ובנוגע דעם זעטאַ פאָנקשען, וואס רופט זיך זעטאַ פאָנקשען רעגולאריזעישאן. לדוגמא, עפי״ז קען מען געבן א קאנווערדזשענט וועליוּ פאר די דיווערדזשענט סיריִס פון 1+1+1+1+1… פון 1/2-. דאס ארבעט אז מ׳זאגט עפ״י די לומדות אז דאס איז די זעלבע ווי ווען מ׳געבט 0 צום זעטאַ פאָנקשען. מ׳קען דאס באטראכטן ווייל אז מ׳גרעפט דעם דיווערדזשענט סיריִס זעהט עס אויס כזה:
אויב דערנאך וויל מען דאס ״עוורידזשן״, זעהט עס דאך אויס כזה:
אט די שיפע ליניע וואס גראד דאס אויס גייט דורכגיין די y עקסיס פון די גרעף ביי 1/2-.
עפי״ז איז דא די וויץ בנוגע די טראַלי פראבלעם: והיינו, אז אויב האט מען איינע נאך איינע נאך איינע בב״ת אויף די טרעק, קומט דאך אויס לפי די לומדות אז עס קומט אָן צו 1/2-, והיינו אז מ׳הרג׳עט א נעגאטיוו האלבע מענטש, והיינו אז מ׳מאכט לעבעדיג א האלבע מענטש (וויבאלד דא איז דאך די פאזיטיוו טויט, וממילא די נעגאטיוו דערפון לעבעדיג). אויב אזוי איז דאך דאס בעסער ווי לאזן אויף א ליידיגע טרעק…
ובענין די טראַלי פראבלעם בב״ת איז דא די וויץ אויך: ועיין כאן בענין בדיחה בהטראַלי פראבלעם וסעט טעאריע, (וכאן).
עפי״ז איז דא די וויץ בנוגע די טראַלי פראבלעם: והיינו, אז אויב האט מען איינע נאך איינע נאך איינע בב״ת אויף די טרעק, קומט דאך אויס לפי די לומדות אז עס קומט אָן צו 1/2-, והיינו אז מ׳הרג׳עט א נעגאטיוו האלבע מענטש, והיינו אז מ׳מאכט לעבעדיג א האלבע מענטש (וויבאלד דא איז דאך די פאזיטיוו טויט, וממילא די נעגאטיוו דערפון לעבעדיג). אויב אזוי איז דאך דאס בעסער ווי לאזן אויף א ליידיגע טרעק…
ובענין די טראַלי פראבלעם בב״ת איז דא די וויץ אויך: ועיין כאן בענין בדיחה בהטראַלי פראבלעם וסעט טעאריע, (וכאן).
- מי אני
- שריפטשטעלער

- הודעות: 5784
- זיך רעגיסטרירט: פרייטאג אקטאבער 05, 2018 4:32 pm
- האט שוין געלייקט: 12391 מאל
- האט שוין באקומען לייקס: 8057 מאל
סילוועסטער׳ס סיִקווענס
עס איז דא סיִקווענס וואס רופט זיך סילוועסטער׳ס סיִקווענס. דאס איז אז איך הייב אָן מיט 2 און דערנאך 3, און דערנאך צו באקומען דעם נעקסטן נומער אינעם סיִקווענס מאָלטיפּליי איך צוזאם אלע נומערן פאר איר אינעם סיִקווענס און איך לייג צו 1. עס קומט אויס אז טאמער עדד איך צאם די רעסיפּראקעלס, והיינו אז איך ״דריי ארום״ יעדעס נומער און מאך זיי פאר פרעקשאנס אזוי אז די נומער ווערט די דינאַמינעיטאר און די נוּמערעיטאר דערפון איז 1 (וויבאלד יעדעס נומער בסתם איז דאך די נומער די נוּמערעיטאר אויבן און 1 די דענאַמינעיטאר אונטן; אז איך דיווייד דאס ביי 1 איז דאס דאך די נומער גופא), דאן איז דאס די סיריִס פון פרעקשאנס וואס קאנווערדזשד דאס שנעלסטע צו 1.
אגב, יעדעס סומע פון פרעקשאנס, וואו יעדעס פון די פרעקשאנס האט א נומערעיטאר פון 1 און יעדעס פרעקשאן האט אַן אנדערע דענאַמינעיטאר, ווערט גערופן א מצרי׳שע פרעקשאן.
אגב, יעדעס סומע פון פרעקשאנס, וואו יעדעס פון די פרעקשאנס האט א נומערעיטאר פון 1 און יעדעס פרעקשאן האט אַן אנדערע דענאַמינעיטאר, ווערט גערופן א מצרי׳שע פרעקשאן.