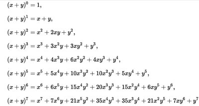
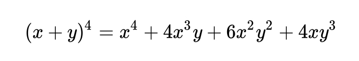
ועפי״ז קומט אויס אז טאמער אין אזא סארט אינפיניט גן כאפ איך אָן א בוים ביי רענדאם, איז די פּראַבּעבּיליטי אז דאס איז א בוים וואס ער קען זעהן אויפגעוואוזן אז ווען די זעטאַ פאָנקשען איז π²/6, (והיינו 6 דיוויידעד ביי π²), וואס דאס איז די בּעסעל פאָנקשען, ווען איך געב א וועליוּ פון 2 פאר ד זעטאַ פאָנקשען, ζ(2), דהיינו אז יעדע עקספאנענט דערין איז 2. דאס איז ווייל דאס ווייזט די פּראַבּעבּיליטי אז צוויי נומערן זאלן זיין קאָפּריים.
דאס גייט צוזאמען מיט די געדאנק פון אָפּעיק סעטס. דאס איז די מאטעמאטישע שאלה אז ווען איך האב א געוויסע שׁעיפּ, וואס איז די קורצסטע לענג פון ליינס (אלעס צוזאמען) וואס איך קען מאכן דערין, אזוי אז פון וועלכע זייט אימער מ׳זאל נאר מאכן א גראדע ליין אינעם שׁעיפּאין עני ענגעל, וועט עס זיך זיכער באגעגענען אין איינע פון די ליינס איך האב געמאכט דערין פאר'ן דורכגיין דאס גאנצע שׁעיפּ. (עס דערמאנט אביסל פון די אַרט גאַלערי פראבלעם.) מ׳ווייסט אז עס קען נישט זיין לענגער ווי די עצם פּערימעטער פונעם שׁעיפּ, און נישט קורצער ווי האלב די פּערימעטער. דאס איז לדוגמא די קורצסטע אָפּעיק סעט פאר׳ן סקווער וואס מ׳ווייסט; עס האט אלעס צוזאמען א לענג פון בערך 2.639, ביחס ווען דער פּערימעטער דערפון איז 4: ***
לגבי פעקטאָריעלס איז דא סטירלינג'ס עפּראַקסימעישאן. דאס לויטעט אז די פעקטאָריעל פון א געוויסע נומער, איז בערך יענע נומער דיוויידעד ביי e און דערנאך געהעכערט צום עקספּאָנענט פון יענע נומער. דערנאך מאָלטיפּליי דאס ביי די סקווער רוּט פון 2 מאל π טיימס יענע נומער. ווי העכער יענע נומער איז, אלס מער פונקטליך איז די עפּראַקסימעישאן.
***
ולגבי די מעגליכע הוכחה אז עס איז אומעגליך אויפצוווייזן אדער אפרעגן מציאות הא-ל, שרייבט דר. וויליאם פּאָלין אין די קאנטעקסט פונעם פריערדערמאנטן אנטאלאגישן הוכחה און קאנט'ס פירכא דערויף:
At that time still dreaming his dogmatic dreams, Kant believed in the possibility of an a priori proof of the existence of God, but in his master-work he denied the possibility of any logical proof for God. The essence of this denial rests in the reduction of all proofs to some form of the ontological, and, then, denying in toto the validity of the latter
