דאס ריעמאן זעטאַ פאָנקשען און דאס ריעמאן היפאטעזיע

אין דער וועלט פון נאטור און וויסנשאפט
באניצער אוואטאר
מי אני
שריפטשטעלער
שריפטשטעלער
הודעות: 5784
זיך רעגיסטרירט: פרייטאג אקטאבער 05, 2018 4:32 pm
האט שוין געלייקט: 12391 מאל
האט שוין באקומען לייקס: 8057 מאל

שליחה דורך מי אני »

פון די סארט אלגעבּרעאישער ״לומדות״ [אנאליטיק קאָנטיניוּעישאן] פון זיך ארומשפילן מיט׳ן זעטאַ פאָנקשען און עס זאל ארויסגעבן א קאנווערדזשענט סומע אפילו ווען s איז נעגאטיוו, קומט אויס אז ווען איך געב אריין אינעם זעטאַ פאָנקשען 1-, ווערט דאס פארוואנדעלט אין צו 1+2+3+4... בב״ת וואס באדארף צו זיין און איז באמת דייווערדזשענט. אבער מיט די ״לומדות״ קען מען עקסטענדען די דאָמעין דערפון און עס ״קאנווערדזשט״ צו 1/12-. עס איז אבער נישט פשוט צו מאכן דערויף בסתם דעם ״=״ סיין, ווייל למעשה איז דאס באמת דייווערדזשענט צו אינפיניטי.

דער מאטעמאטיקער ראַמאַנודזשאַן האט אים דאס בסתם געהאט געשריבן, מיט א פשוט׳ן ״=״ סיין, צו דזשעאפרי העראלד הארדי ווען ער האט זיך געוואלט באקענען מיט אים. הארדי האט גראד אבער געכאפט אז דא רעדט מען פון א מאטעמאטישן עילוי. אן אנדערע מהלך ווי אזוי צו עקסטענדען די סארט דייווערדזשענט סיריִס צו א (סארט) ״קאנווערדזשענט״ סומע ווערט גערופן על שמו ראַמאַנודזשאן סאָמעישאן.

***

אין א וויץ בענין ריקוּרסיוויטי אין אקאדעמיע גופא:
19D6A380-672D-424B-B557-B03D36F3345C.jpeg
"איך בין אפילו נישט זיכער אז איך עקזיסטיר, ווי אזוי קען איך זיין זיכער אז...?" - יאיר
"אלס וואס איך ווייס איז אז איך ווייס גארנישט (אחוץ דעם עצם פאקט)" - סקראטוס
און אפילו אין דעם בין איך אויך נישט זיכער (וכן הלאה והלאה)
באניצער אוואטאר
מי אני
שריפטשטעלער
שריפטשטעלער
הודעות: 5784
זיך רעגיסטרירט: פרייטאג אקטאבער 05, 2018 4:32 pm
האט שוין געלייקט: 12391 מאל
האט שוין באקומען לייקס: 8057 מאל

בּערנאָלי נומערן

שליחה דורך מי אני »

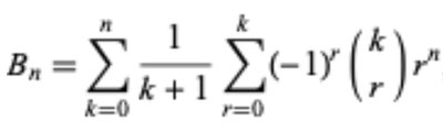
אין דעם געביט איז דא די געדאנק פון בּערנוֺיליִ נומערן. מאטעמאטיקער האבן אלס געזוכט ווי אזוי צו האבן א גענעראלע פארמולע אויף צו לעזן (פיניט) סיריִס וואס האבן סאָקסעסיוו קאנסעקיוטיוו נומערן איינס נאכ׳ן אנדערן און אלע געהעכערט צום זעלבן עקספּאנענט. דער מאטעמאטיקער יעקב בּערנאָלי (ווי אויך דער יאפאנעזער מאטעמאטיקער סעקיִ טאַקאַקאַזוּ אין די זעלבע תקופה) איז אויפגעקומען מיט א סוג פון נומערן, וואס העלפן דאס לעזן, וואס ווערן גערופן בּערנאָלי נומערן. די נומערן קען מען באקומען דורך די זעטאַ פאָנקשען. והיינו, אז איך וויל באקומען א [פאזיטיווע] בּערנאָלי נומער פון א געוויסע פלאץ [כדוגמא די ״דריטע״ בּערנאָלי נומער], דעמאלטס נעם איך 1 און איך נעם אוועק די פלאץ נומער דערפון (וואס וועט דאל בדרך כלל זיין נעגאטיוו) און איך לייג דרס אריין אינעם זעטאַ פאָנקשען, און וואס עס געבט מיר ארויס מאָלטיפּליי איך ביי נעגאטיוו פון דעם פלאץ נומער. די נומער וואס איך באקום איז די בּערנאָלי נומער פון יענעם פלאץ.

אן אנדערן וועג פון באקומען/דזשענערעיטן בּערנאָלי נומערן איז דורך דעם געדאנק פון א בּיינוֺימיִעל קאָעפישׁענט. דא הא׳מיר אביסל מסביר געווען דעם געדאנק פון א פּאַליִנוֺימיִעל עקוועישאן. א בּיינוֺימיִעל עקוועישאן איז פשוט א פּאַליִנוֺימיִעל וואס איז נאר צאמגעשטעלט פון צוויי טערמינען [צוויי מאַנוֺימיִעלס]; יעדעס איינס מיט א געהעריגע נומער [די קאָעפישענט ביי וועלכעס עס איז מאָלטיפּלייד; וואס קען זיין 1, וממילא שרייבט מען נאר ארויס די וועריעבּל], א וועריעבּל [וואס קען זיין געהויבן צו אן עקספּאנענט פון 0, וממילא שרייבט מען עס נישט ארויס], און אן אנדערע (בדרך כלל נאר פאזיטיווע) עקספּאנענט פאר יעדעס איינס [וואס איינע פון זיי קען זיין 1, וממילא שרייבט מען עס נישט ארויס].

אויב האב איך א בּיינוֺימיִעל וואס די גאנצע בּיינוֺימיִעל צוזאם ווערט געהעכערט צו אן עקספּאנענט, והיינו אז איך בין כופל די גאנצע בּיינוֺימיִעל אויף זיך אליין אזויפיל מאל ווי די עקספּאנענט זאגט מיר, גייט דאס ווערן עקספּענדעד אין צו א פּאַליִנוֺימיִעל עקוועישאן [מיט אנדערע עקספּאָנענטס פאר יעדעס איינס]. עס קומט אויס אז פאר יעדעס סארט בּיינוֺימיִעל וואס איך עקספּענד אויף אזא וועג, אויב שטעל איך דאס אויס די רעזאָלטינג פּאַליִנוֺימיִעל וואס קומט ארויס פונעם וועריעבּל וואס האט דעם גרעסטן עקספּאנענט [די דעגריִ] ביז דעם קלענסטן, גייט עס אלס האבן די זעלבע קאָעפישענטס ביי יענעם מקום, ווענדענדיג זיך אינעם עקספּאנענט צו וועלכעס איך האב געהויבן דעם גאנצן אריגינעלן בּיינוֺימיִעל. דאס ווערט ארויסגעשריבן אזוי:
IMG_8503.jpg
IMG_8503.jpg (21.21 KiB) געזען געווארן 6140 מאל


דאס מיינט אז די העכערע נומער [n] איז די עקספּאנענט צו וועלכעס איך האב געהויבן דעם גאנצן אריגינעלן בּיינוֺימיִעל, און די אונטערשטע [k] איז די פלאץ אינעם פּאַליִנוֺימיִעל עקספּענשׁאָן דערפון. עס וועט אלס זיין די פעקטאָריעל פונעם עקספּאָנענט דיוויידעד ביי די פעקטאָריעל פונעם פלאץ-נומער נאך דעם וואס איך האב דאס מאָלטיפּלייד ביי די פעקטאָריעל פונעם חילוק צווישן די צוויי נומערן (דאס איז די קאַמבּינעישאן פון דעם). מ׳קען גראד זעהן די בּיינוֺימיִעל קאָעפישענטס פון פּאַסקאַל׳ס טרייענגעל. יעדעס רוֺי דערין איז כנגד די נומער פון די עקספּאנענט צו וואס כ׳האב געהעכערט דעם אריגינעלן בּיינוֺימיִעל [די העכסטע שורה איז אן עקספּאנענט פון 0] און דערנאך, פון רעכטס צו לינקס, זענען די נומערן, אין א רייע, די קאָעפישענטס פון דעם פּאַליִנוֺימיִעל עקספּענשׁאָן. פון דעם קומט אויס פּאַסקאַל׳ס רוּל. דאס זאגט אז די בּיינוֺימיִעל קאָעפישענט פון א נומער וועט זיין די סומע פון די נומער וואס איז אויף דעם זעלבן פלאץ ווען די אריגינעלע בּיינוֺימיִעל האט אן עקספּאנענט וואס איז 1 ווייניגער, צוזאמען מיט די נומער וואס איז 1 פלאץ פאר איר ווען די אריגינעלע בּיינוֺימיִעל האט אן עקספּאנענט וואס איז 1 ווייניגער.

מ׳קען באקומען דאדורך די בּערנוֺיליִ נומערן וואס מען זוכט, והיינו א געוויסע בּערנוֺיליִ נומער פלאץ, דורך אזא מהלך:

מ׳הייבט אָן פון 0 ביז די מספר בּערנוֺיליִ נומער וואס מ׳זוכט, און פון 0 דיווייד מען 1 ביי איינס מער ווי די נומער וואו מ׳האלט.

ווען איך האלט ביי א געוויסע נומער דערין אין דעם פראצעס (וואו איך האב אנגעהויבן פון 0) הייב איך אָן אין דעם גופא פון 0 ביז דעם נומער וואו איך האלט, און ביי יעדעס נומער וואו איך האלט יעצט וועל איך דאס לייגן אלס אַן עקספּאנענט צו 1-, און דאס מאָלטיפּלייען ביי די בּיינוֺימיִעל קאָעפישענט פלאץ וואו איך האלט יעצט צו דעם עקספּאנענט פונעם בּיינוֺימיִעל פונעם נומער וואס איך האב געהאלטן מעיקרא. דאס אלעס גיי איך דערנאך מאָלטיפּלייען ביי די נומער וואו איך האלט יעצט געהעכערט צום עקספּאנענט פונעם בּערנוֺיליִ נומער פלאץ וואס איך זוך. אזוי גיי איך טוהן צו יעדעס נומער ביז איך קום אָן צום נומער וואס איך האב געהאלטן ביי מעיקרא, און דערנאך דאס אלעס צאמעדדן.

דערנאך, אזוי ווי פריער וואו איך האב אנגעהויבן פון 0 ביז׳ן בּערנוֺיליִ נומער פלאץ וואס איך זוך און דיוויידעד 1 ביי איינס מער ווי די נומער וואו מ׳האלט כנ״ל, גיי איך נעמען די סומע וואס איך האב פריער באקומען פון צאמעדדן די גאנצע פריערדיגע פראצעדור, און דאס מאָלטיפּלייען, די זעלבע נומער נאכאמאל און נאכאמאל, ביי די אנגעהויבעכץ פון 0 ביז׳ן בּערנוֺיליִ נומער פלאץ וואס איך זוך און דיוויידעד 1 ביי איינס מער ווי די נומער וואו מ׳האלט און אזוי ארויפגייענדיג, און די אלע ענטפערס וואס איך באקום צאמעדדן צוזאמען. דאס וועט מיר געבן די געזוכטע בּערנוֺיליִ נומער.

דאס איז די פארמולע דערפאר (עס ווערט גערופן א דאפלטע סאָמעישׁאָן):
IMG_8505.jpg


אן אינטרעסאנטע זאך מיט די בּערנוֺיליִ נומערן איז אז חוץ דעם ערשטן [פלאץ] וואס איז 1/2 [קען זיין פאזיטיוו אדער נעגאטיוו], איז יעדעס בּערנוֺיליִ נומער וואס איז אין אַן אַדד פלאץ אינעם סיִקווענס 0. די וואס זענען אין אַן איִווען פלאץ [חוץ די מקום פון 0 וואס דעמאלטס איז די נומער 1] זענען אלע [רעשׁאָנעל] פרעקשאנס. אנגעהויבן פון פלאץ 2 וועלכעס איז פאזיטיוו 1/6, איז די נעקסטע פרעקשאן נעגאטיוו, די נעקסטע פרעקשאן פאזיטיוו, די נעקסטע פרעקשאן נעגאטיוו, אא״וו.

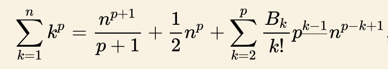
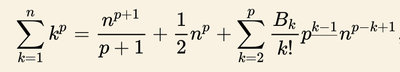
יעצט, אז איך וויל וויסן די סומע פון עני אזא סארט סיריִס כנ״ל, לייג איך אריין די נומער אין פאַוּלהאַבּער׳ס פארמולע. והיינו, אויב וויל איך וויסן די צאל פון א סיריִס אנגעהויבן פון א נומער ביז אן אנדערן געוויסן נומער וואו אלע נומערן אינצווישן ווערן עדדעד צוזאמען, און זיי אלע האבן דעם זעלבן עקספּאנענט, דעמאלטס ארבעט עס כזה:

איך נעם די נומער ביי וואס עס ענדיגט זיך און איך העכער דאס צום עקספּאנענט וואס איך בין דן אין, און איך דיווייד דאס ביי 1 מער ווי אט דעם עקספּאנענט. דערנאך לייג איך צו צו דעם האלב פון דעם נומער ביי וועלכעס עס ענדיגט זיך נאכ׳ן ווערן געהעכערט צו דעם עקספּאנענט. פון דעם אלעם באקום איך א נומער.

דערנאך, אנגעהויבן פון 2 און געענדיגט ביים נומער פונעם עקספּאנענט פונעם דיון, און ביי יעדעס נומער נעם איך די בּערנאָלי נומער פון יענעם פלאץ-נומער און איך דיווייד דאס ביי די פעקטאָריעל פון יענעם [פלאץ-]נומער. דערנאך נעם איך די פעקטאריעל פון די עקספּאנענט און איך דיווייד דאס ביי דע פעקטאריעל פון 1 מער ווי די חילוק צווישן די עקספּאנענט און די נומער וואו איך האלט יעצט. דערנאך מאָלטיפּליי איך דאס ביי די נומער וואו איך גיי אריגינעל ענדיגן געהעכערט צו אן עקספּאנענט וואס איז איינס מער ווי די חילוק צווישן דעם עקספּאנענט פונעם עיקר דיון און די נומער וואו איך האלט יעצט. אזוי טוה איך ביי יעדן נומער, אנגעהויבן פון 2, ביז איך קום אָן צום נומער וואס איז די עקספּאנענט פונעם דיון, און איך עדד דאס אלעס צאם. דערנאך שטעל איך צאם די נומער וואס איך באקום מיט׳ן נומער וואס איך האב באקומען פונעם פריערדיגן פּארגראף, און דאס גיבט מיר דעם ענטפער וואס איך האב געזוכט.

די פארמולע זעהט אויס אזוי:
IMG_8504.jpg


די בּערנאָלי נומערן קומען אויף אין אסאך מקומות במאטעמאטיקס.
"איך בין אפילו נישט זיכער אז איך עקזיסטיר, ווי אזוי קען איך זיין זיכער אז...?" - יאיר
"אלס וואס איך ווייס איז אז איך ווייס גארנישט (אחוץ דעם עצם פאקט)" - סקראטוס
און אפילו אין דעם בין איך אויך נישט זיכער (וכן הלאה והלאה)
באניצער אוואטאר
מי אני
שריפטשטעלער
שריפטשטעלער
הודעות: 5784
זיך רעגיסטרירט: פרייטאג אקטאבער 05, 2018 4:32 pm
האט שוין געלייקט: 12391 מאל
האט שוין באקומען לייקס: 8057 מאל

שליחה דורך מי אני »

דא האב איך געשריבן:
מי אני האט געשריבן:דר. פרעד סאממערס פארציילט אז אלס תלמיד פון הגאון הרב דר. סאלאווייטשיק האט ער אים געזאגט, ״איך האב ספיקות איבער דאס מציאות פון ג-ט״. האט ער ארומגעלייגט זיין האנט ארום אים און געזאגט, ״פרעד, אינטעלעקטועלי איז עס 50/50. מ׳דארף גלייבן״.

כ׳האב געקלערט אז מ׳קען צו דעם צושטעלן די געדאנק פון גראנדיִ׳ס סיריִס. דאס איז א סיריִס וואו איך רעכען צאם 1+1-1+1-1+1... אא״וו וואו מ׳נעמט אראפ איינס און דערנאך לייגט מען גראד צו איינס, אראפ, ארויף, בב״ת. (דאס איז אביסל ענליך צום געדאנק פון טאמסאן׳ס לאמפ וואס [tag]יידל[/tag] האט דערמאנט דא.) עס איז בעצם א דייווערדזשענט סיריִס (נישט צו אינפיניטי) וויבאלד עס האט נישט קיין דעפיינד סומע צו וועלכעס עס קאנווערדזשענד, אבער (במושכל ראשון), ווענדענדיג זיך אין וועלכע מאטעמאטישע סטראטעגיע מ׳נוצט דערצו, קען מען בעצם אויף דעם באקומען א קאנווערדזשענס פון 1 אדער א קאנווערדזשענס פון 0. אבער נוצענדיג א מעטאדע וואס רופט זיך א סעזאראָ סאָמעישׁאָן באקומט מען א (כעין) קאנווערדזשענס/סומע פון 1/2 (אזא סארט השוואה צווישן 1 און 0). והרבה קולמוסין וכו׳.

ולענינינו, מ׳קען (אולי) באטראכטן די געדאנק פון הוכחות אויף מציאות ה׳ (והמסתעף) אלס אזא סארט סיריִס: אויף יעדע הוכחה איז דא א פירכא, וואס אויף דעם איז דא א תשובה, וואס אויף דעם איז שוין ווייטער דא א פירכא, וואס אויף דעם איז שוין ווייטער דא א תשובה, וכן הלאה עד אינפיניטום. אויב באטראכט מען יעדע הוכחה, פירכא ותשובה ווי האבענדיג די זעלבע אבסאלוט וועליוּ, והיינו 1, איז דאך דאס דומה צו גראנדיִ׳ס סיריִס, וואס איר סעזאראָ סומע איז 1/2 והיינו 50/50.

דאס גיבט אפשר א טיפערע קנייטש צו דאס וואס אונז הא׳מיר אראפגעברענגט דא פון ניקולאס מאלעבראנך.

נאך מער קען מען אפשר צולייגן צו די געדאנק מיט דעם וואס די מאטעמאטיקערטע דר. ענע סיערפּינסקא האט געזעהן ביי אירע סטודענטן ביי די גראנדיִ׳ס סיריִס. זי האט געקלערט אז זיי וועלן זיין איבעראשט אז מ׳קען אויף דעם זאגן א סומע פון 1/2 אבער למעשה האבן זיי דאס אנגענומען אָן קיינע איבעריגע שוועריקייטן. ואולי איז אין אונזער קאנטעקסט דאס אפשר אביסל דומה צו דעם וואס מ׳האט אויסגעשמועסט אז אמונה איז אריינגעבויט אינעם מענטש (וממילא אנשטאט אן אָנדעפיינד האט ער כאטש 50/50, וואס פון דארט קען אמונה שוין מכריע זיין צו א צד).
"איך בין אפילו נישט זיכער אז איך עקזיסטיר, ווי אזוי קען איך זיין זיכער אז...?" - יאיר
"אלס וואס איך ווייס איז אז איך ווייס גארנישט (אחוץ דעם עצם פאקט)" - סקראטוס
און אפילו אין דעם בין איך אויך נישט זיכער (וכן הלאה והלאה)
באניצער אוואטאר
רביה''ק זי''ע
שריפטשטעלער
שריפטשטעלער
הודעות: 5435
זיך רעגיסטרירט: דאנערשטאג פעברואר 15, 2018 8:46 pm
געפינט זיך: אין קוויטל-שטוב
האט שוין געלייקט: 5089 מאל
האט שוין באקומען לייקס: 6524 מאל

שליחה דורך רביה''ק זי''ע »

מי אני האט געשריבן:‏מ׳קען (אולי) באטראכטן די געדאנק פון הוכחות אויף מציאות ה׳ (והמסתעף) אלס אזא סארט סיריִס: אויף יעדע הוכחה איז דא א פירכא, וואס אויף דעם איז דא א תשובה, וואס אויף דעם איז שוין ווייטער דא א פירכא, וואס אויף דעם איז שוין ווייטער דא א תשובה, וכן הלאה עד אינפיניטום. אויב באטראכט מען יעדע הוכחה, פירכא ותשובה ווי האבענדיג די זעלבע אבסאלוט וועליוּ, והיינו 1, איז דאך דאס דומה צו גראנדיִ׳ס סיריִס, וואס איר סעזאראָ סומע איז 1/2 והיינו 50/50.

דאס הייסט אז מ׳בלייבט מיט א 50 פראצענט אויף נישט ה׳. און אויב מ׳וועט אויך באטראכטן די געדאנק אויף הוכחות צו אי מציאת ה׳ די זעלבע וועט מען בלייבן מיט נאך א 50 פראצענט אויף יא ה׳ און פופציג פראצענט אי השם, יעצט לייג צו די 50 פראצענט אויף נישט ה׳ פון פריער בלייבסטו מיט 100% נישט ה׳... :twisted:
Do y'all remember before the internet that people thought the cause of stupidity was the lack of access to information? Yeah, it wasn't that
באניצער אוואטאר
מי אני
שריפטשטעלער
שריפטשטעלער
הודעות: 5784
זיך רעגיסטרירט: פרייטאג אקטאבער 05, 2018 4:32 pm
האט שוין געלייקט: 12391 מאל
האט שוין באקומען לייקס: 8057 מאל

שליחה דורך מי אני »

ווי אזוי איך פארשטיי ווילסטו זאגן אז איך טייל אפ: איין אזא סארט סיריִס פאר הוכחות למציאותו והפירכות ותשובות עליהן, וואס בלייבט 50/50 כנ״ל, און איין אזא סארט סיריִס פאר הוכחות להיפך ופירכותיהן ותשובות עליהן, וואס איך בלייב מיט די זעלבע 50/50. אויב אזוי מה ראית צוצולייגן די 50 אויף נישט פונעם צווייטן סיריִס צום 50 אויף נישט פונעם ערשטן סיריִס, ושביק די 50 אויף יא פונעם ערשטן סיריִס און 50 אויף יא פונעם צווייטן? נאכ׳ן ארייננעמען אין חשבון ביידע, בלייב איך איבער נאך דעם מעטא-אנאליסיס ווייטער מיט 50/50 (אין די קאנטעקסט וועט עס גראדע זיין 0 [100 קעגן 100-], וואס וועט ביי אונזער צווייטע-אָרדער אנאליסיס מיינען אט דאס: נישט פאר און נישט דערקעגן).
"איך בין אפילו נישט זיכער אז איך עקזיסטיר, ווי אזוי קען איך זיין זיכער אז...?" - יאיר
"אלס וואס איך ווייס איז אז איך ווייס גארנישט (אחוץ דעם עצם פאקט)" - סקראטוס
און אפילו אין דעם בין איך אויך נישט זיכער (וכן הלאה והלאה)
באניצער אוואטאר
רביה''ק זי''ע
שריפטשטעלער
שריפטשטעלער
הודעות: 5435
זיך רעגיסטרירט: דאנערשטאג פעברואר 15, 2018 8:46 pm
געפינט זיך: אין קוויטל-שטוב
האט שוין געלייקט: 5089 מאל
האט שוין באקומען לייקס: 6524 מאל

שליחה דורך רביה''ק זי''ע »

קודם כל האב איך עס נאר געמיינט סארקאסטיש.

צווייטנס, דארף מען מאכן די זעלבע סארט סיריס פאר יעדע פון די 8,000 געטער פון אלע רעליגיעס און קולטורן איבער די וועלט, בלייבט איבער פאר יעדע גאט די זעלבע איינס פון 8,000 ווי פריער, ומה הועילו חכמים בסיריסם?
Do y'all remember before the internet that people thought the cause of stupidity was the lack of access to information? Yeah, it wasn't that
באניצער אוואטאר
מי אני
שריפטשטעלער
שריפטשטעלער
הודעות: 5784
זיך רעגיסטרירט: פרייטאג אקטאבער 05, 2018 4:32 pm
האט שוין געלייקט: 12391 מאל
האט שוין באקומען לייקס: 8057 מאל

שליחה דורך מי אני »

איה״נ. א וועריעישאן פון די באקאנטע ארגומענט פון אינקאנסיסטענט רעוועלעישאנס(און ווער ווייסט? אפשר איז די טענה גופא אויך נכלל אין (איינע פון) די נעגאטיווע טערמינען פונעם עצם סיריִס פאר א גיווען רעליגיע...). אבער איה״נ, זיי זיענען אלע טאקע אייניג אין דעם אז פון אן אינטעלעקטשואלען מבט זענען זיי 50/50 (ואפילו לאחר המעטא-אנאליסיס כנ״ל; און נעמענדיג אָן אז זיי אלע האבן טאקע הוכחות ותשובות וכו׳ וכו׳ כנ״ל). פון דארט און ווייטער קען שוין אמונה גרידא מכריח זיין א מענטש צו איין צד (ובאנו לפידעאיזם). מ׳קען טאקע פרעגן וואס איז מכריח דער מענטש בוחר צו זיין אין גלייבן אין דעם 50/50 ווי איידער אין אן אנדערע 50/50? אבער אונז האבן יעצט געזאגט אז עס איז טאקע (בכלל) נישט מכח אינטעלעקטשועליזם והוכחה. ‏([tag]אבטולמוס[/tag] האט ארומגערעדט איבער דעם אין זיינע אשכולות אויף דעם טעמע.)

***

און אז מ׳רעדט שוין, דא זעה׳מיר בריאת יש מאין אין מאטעמאטיקס... :D
"איך בין אפילו נישט זיכער אז איך עקזיסטיר, ווי אזוי קען איך זיין זיכער אז...?" - יאיר
"אלס וואס איך ווייס איז אז איך ווייס גארנישט (אחוץ דעם עצם פאקט)" - סקראטוס
און אפילו אין דעם בין איך אויך נישט זיכער (וכן הלאה והלאה)
באניצער אוואטאר
מי אני
שריפטשטעלער
שריפטשטעלער
הודעות: 5784
זיך רעגיסטרירט: פרייטאג אקטאבער 05, 2018 4:32 pm
האט שוין געלייקט: 12391 מאל
האט שוין באקומען לייקס: 8057 מאל

שליחה דורך מי אני »

‫איך האב געקלערט בדרך צחות אז לגבי ווי אזוי איך האב צוגעשטעלט דעם געדאנק פון אמונה צו גראַנדי׳ס סיריִס אז מ׳קען אין דעם אריינטייטשן דעם אויבן-דערמאנטן טאמסאן׳ס לאמפ חקירה. דאס שטעלט צאם גראַנדי׳ס סיריִס מיט די סיריִס פון 1+1/2+1/4+1/8 אא״וו וועלכעס קאנווערדזשד צו 2, אזוי ווי מ׳האט דערמאנט אנהויב אשכול. והיינו, די חקירה פרעגט אז אויב איך האב א לאמפ וואס איך צינד דאס אן נאכ׳ן דורכגיין 1 מינוט [לגבי די גראַנדי סיריִס וועט דאס האבן א וועליוּ פון 1] און איך לעש עס דערנאך אויס נאכ׳ן דורכגיין 1/2 מינוט [לגבי די גראַנדי סיריִס וועט דאס האבן א וועליוּ פון (1-)], דערנאך צינד איך עס צוריק אָן נאכ׳ן דורכגיין 1/4 מינוט, דערנאך לעש איך עס אויס נאכ׳ן דורכגיין 1/8 מינוט, איך צינד עס נאכאמאל אָן נאכ׳ן דורכגיין 1/16 מינוט, וכן הלאה והלאה. ווי דערמאנט גייען די אלע אינטערוואלס, הגם זיי זענען אינפיניט, קאנווערדזשען צו 2 [מינוט]. שטעלט זיך די שאלה, ביי 2 מינוט איז די לאמפ אנגעצונדען אדער אויסגעלאשן? דאז ווענדט זיך אינעם גראַנדי סיריִס וויבאלד בתוך די 2 מינוט איז דאך דא אן אינפיניט צאל פון געהאלבטע אינטערוואלס, וואס ביי יעדע פון זיי טוישט זיך עס אלטערנאטיוולי פון (1-) [אויסגעלאשן] צו 1 [אנגעצינדען], און די סיריִס קאנווערדזשד דאך נישט געהעריג כנ״ל. און אן ענטפער פון 1/2 ביי דעם אין די קאנטעקסט האט אויך נישט קיין זין.‬

‫ולענינינו, איז דאס אולי א שטיקל רמז אז בעת בריאת העולם, וואס מעשה בראשית איז וואו מען קלערט אויף מציאות הא-ל, טרעפן מיר אז ס׳דא דעם ״אור״ הגנוז מחמת הרשעים...‬
‫והיינו, אז צווישן אן אינפיניט סוּפערטעסק פון א בּיינערי אור וחושך ביז מען קומט אָן צום מושג פון ״2״ קעגנזייטיגע הוכחות, איז דאס א זאך וואס איז שווער משיג ומכריע צו זיין וכו׳ ונגנז הוא מבני אדם. :D
"איך בין אפילו נישט זיכער אז איך עקזיסטיר, ווי אזוי קען איך זיין זיכער אז...?" - יאיר
"אלס וואס איך ווייס איז אז איך ווייס גארנישט (אחוץ דעם עצם פאקט)" - סקראטוס
און אפילו אין דעם בין איך אויך נישט זיכער (וכן הלאה והלאה)
באניצער אוואטאר
מי אני
שריפטשטעלער
שריפטשטעלער
הודעות: 5784
זיך רעגיסטרירט: פרייטאג אקטאבער 05, 2018 4:32 pm
האט שוין געלייקט: 12391 מאל
האט שוין באקומען לייקס: 8057 מאל

שליחה דורך מי אני »

‫ענליך צו דעם איז דא די ראָס-ליטעלוואָד פּאראדאקס. דאס שטעלט זיך פאָר אז מ׳האט אן אינפיניטלי גרויסע ליידיגע טאפ און אן אינפיניט צאל פון מאַרבּלס. א מינוט פאר מיטאג לייג איך אריין דערין 10 מאַרבּלס און איך נעם ארויס דעם ערשטן. א האלבע מינוט פאר מיטאג לייג אריין נאך 10 מאַרבּלס און איך נעם ארויס דעם צווייטן. א פערטל מינוט פאר מיטאג לייג איך אריין נאך 10 מאַרבּלס און איך נעם ארויס דעם דריטן. אן אכטל מינוט פאר מיטאג לייג איך אריין נאך 10 מאַרבּלס און איך נעם ארויס דעם פערטן. א זעכצנסטל מינוט פאר מיטאג לייג איך אריין נאך 10 מאַרבּלס און איך נעם ארויס דעם פיפטען. וכן הלאה והלאה. ווען ס׳קומט אָן מיטאג וויפיל מאַרבּלס זענען אין דעם טאפ?‬

‫במושכל ראשון קומט אויס אז עס איז דא אן אינפיניט צאל, אבער די פאראדאקס איז אז עס דארף צו זיין ליידיג! דאס איז ווייל ביים ערשטן מאל האב איך ארויסגענומען דעם ערשטן, ביים צווייטן די צווייטע, ביים דריטע די דריטע, וכן הלאה והלאה פאר עני נומער דו וועסט אנכאפן עד הסוף. אבער מאידך גיסא טאמער באטראכט איך אז ביים ערשטן מאל נעם איך ארויס דעם לעצטן/צענטן, ביים צווייטן מאל דעם צוואנציגסטן, וכן הלאה קומט טאקע יא אויס אז עס איז דא דערין אן אינפיניט צאל פון מאַרבּלס.‬

‫דאס אלעס ווייזט אויף די קאנסעפּשועל שוועריקייט פון סוּפּערטעסקס: די געדאנק פון מאכן אן אינפיניט צאל פון טעסקס אין א פיניט צייט אפשניט.‬
"איך בין אפילו נישט זיכער אז איך עקזיסטיר, ווי אזוי קען איך זיין זיכער אז...?" - יאיר
"אלס וואס איך ווייס איז אז איך ווייס גארנישט (אחוץ דעם עצם פאקט)" - סקראטוס
און אפילו אין דעם בין איך אויך נישט זיכער (וכן הלאה והלאה)
באניצער אוואטאר
מי אני
שריפטשטעלער
שריפטשטעלער
הודעות: 5784
זיך רעגיסטרירט: פרייטאג אקטאבער 05, 2018 4:32 pm
האט שוין געלייקט: 12391 מאל
האט שוין באקומען לייקס: 8057 מאל

קאָטערניאנס

שליחה דורך מי אני »

אז מ׳האט גערעדט פון גרעפס בנוגע קאַמפּלעקס נומערן, וואו די ״עכטע״ חלק באדייט די האריזאנטעל חלק און די אימעדזשינערי חלק באדייט די הייך, איז דא דערין די קאָטערניאן נומערן. דאס איז ווייל מאטעמאטיקעלי טאמער וויל איך דרייען [ראָטעיטן] די פונקט אויף דעם גרעף מיט א געוויסע דעגרי, דאן מאָלטיפּליי איך דאס ביי אן אנדערע קאַמפּלעקס נומער (ווענדענדיג זיך אין די דעגרי וואס איך וויל דאס דרייען עפי״ז). דאס איז ווייל, עפ״י די פּיטאגאריען טעארעם, קומט אויס אז ווען מען מאָלטיפּלייט צוויי אזעלכע טערמינען צוזאמען, וואס יעדעס איינס האט דאך א ספעציפישען מקום, דאן טוהט מען צאמעדדן זייערע ענגעלס ביחס וואו זיי זענען איינע צום צווייטן. דאס אבער צו דרייען [ראָטעיטן] אין דריי דיימענשאנס פעהלט שוין אויס צו עקסטענדן און צו צולייגן נאך צוויי טערמינען צום קאַמפּלעקס נומער כזה:
a+bi+cj+dk
וואו סיי i, סיי j, און סיי k זענען אימעדזשינערי חלקים; די בּעיסיק קאָטערניאנס.

עס קומט אויס אז אזוי ווי ביי מעיטריסיִס, וואס דארט גילט נישט די באקאנטע קאמיוּטעטיוו אקסיאם אין מאטעמאטיקס ביי מאָלטיפּליקעישאן וואס זאגט אז עס איז נישט קיין חילוק וועלכעס טערמין עס איז ערשט אדער צווייט, נאר עס מאכט יא א נפק״מ (וואס די אלגעמיינע אקסיאם איז אויך דא ביי עדישאן), וועט ביי קאָטערניאנס אויך יא מאכן א חילוק אין די סדר פון ווי אזוי מ׳מאָלטיפּלייט זיי צוזאמען.

מ׳קען ווייטער עקסטענדן די קאַמפּלעקס נומערן צו אַקטאָניאנס מיט אכט טערמינען. דאן אבער פארלירט דאס ביי מאָלטיפּליקעישאן די עסאָסעעטיוו אקסיאם. דאס איז אז אין אלגעמיין איז נישט קיין חילוק צווישן (א*ב)*ג אדער א*(ב*ג) וואס דאס האלט אָן אפילו ביי קאָטערניאנס ווייל מען טוישט למעשה נישט די סדר פון א טערמין יחידי; ביי דעם אבער גייט דאס נישט אינגאנצן אָן.
"איך בין אפילו נישט זיכער אז איך עקזיסטיר, ווי אזוי קען איך זיין זיכער אז...?" - יאיר
"אלס וואס איך ווייס איז אז איך ווייס גארנישט (אחוץ דעם עצם פאקט)" - סקראטוס
און אפילו אין דעם בין איך אויך נישט זיכער (וכן הלאה והלאה)
באניצער אוואטאר
מי אני
שריפטשטעלער
שריפטשטעלער
הודעות: 5784
זיך רעגיסטרירט: פרייטאג אקטאבער 05, 2018 4:32 pm
האט שוין געלייקט: 12391 מאל
האט שוין באקומען לייקס: 8057 מאל

שליחה דורך מי אני »

אז מ׳האט דערמאנט גראַנדי׳ס סיריִס בנוגע רעליגיע האב איך געקלערט ענליך אז דא [פון 1:50] איז מען מסביר, עפ״י דר. אנטאני פלוּ, אז ס׳איז יתכן לומר אז דער אטעאיסט און דער טעאיסט זאגן בעצם די זעלבע זאך אויף למעשה (עכ״פ לגבי די אביעקטיווע וועלט ממש). דאס איז נאך מער עפ״י א שטארקע מהלך פון טעאיסטישע נעגאטיווע טעאלאגיע. און ווי אונז האבן דא אראפגעברענגט:
מי אני האט געשריבן:דאס דערמאנט פון דעם פראנצויזישן טעאלאג מישעל דע סערטעא'ס מימרא:
[left]The weight of [God's] transcendence makes any proposition relative, even to the point that the statement "God exists" has to be followed by a denial[/left]

והיינו, אז עס קומט אויס אז לגבי דאס פּראפּאזישאן אן פון דאס ״עקזיסטענץ״ פון ג-ט איז עס כעין 1 - 1 [איינס מיינוס איינס; פּאזיטיוו 1 און דערנאך צוגעלייגט צו דעם נעגאטיוו 1], און דער אטעאיסט זאגט דאך מעיקרא אויף דעם א גאנצע 0. איז די שאלה דא צי ביי די פאל איז 1-1 ≠ 0 אדער יא 1-1 = 0 ווי ביי געהעריגע מאטעמאטיקס? מיינענדיג, איז עס טאקע די זעלבע ווי דער אטעאיסט (עכ״פ בעלמא הדין) צי נישט?

(דאס קען שוין אויך אָנרירן אויף די געדאנק.)

דאס געבט אפשר א נייעם באדייט/קנייטש צו יוּקליד׳ס מימרא:
[left]The laws of nature are but the mathematical thoughts of G-d[/left]
ווי אויך צו דר. מעקס טעגמארק׳ס היפאטעזיע:D
"איך בין אפילו נישט זיכער אז איך עקזיסטיר, ווי אזוי קען איך זיין זיכער אז...?" - יאיר
"אלס וואס איך ווייס איז אז איך ווייס גארנישט (אחוץ דעם עצם פאקט)" - סקראטוס
און אפילו אין דעם בין איך אויך נישט זיכער (וכן הלאה והלאה)
באניצער אוואטאר
מי אני
שריפטשטעלער
שריפטשטעלער
הודעות: 5784
זיך רעגיסטרירט: פרייטאג אקטאבער 05, 2018 4:32 pm
האט שוין געלייקט: 12391 מאל
האט שוין באקומען לייקס: 8057 מאל

ערדאס דיסקרעפּענסי פראבלעם

שליחה דורך מי אני »

און אין דעם געביט פון גראַנדי׳ס סיריִס, וואס איז א סארט סיין סיִקווענס וואו די סיינס [נעגאטיוו/פאזיטיוו] פון 1 טוישן זיך כסדר, איז דא די ערדאס דיסקרעפּענסי פראבלעם. דאס קען מען מסביר זיין מיט אזא סארט משל:

עס איז דא א שמאלע וועג ווי צוויי טריט צו רעכטס און צוויי טריט צו לינקס פאלט מען אראפ פונעם וועג. מען וויל אויסשטעלן א סדר פון טריט [אָן בלייבן גראד, 0, א גאנצע צייט] פון טריט צו לינקס און טריט צו רעכטס און מען זאל א גאנצע צייט בלייבן אויפ׳ן וועג אָן אראפּפאלן דערפון; מיינענדיג א סיריִס פון ±1 וואו עס טוישט זיך א גאנצע צייט זיך צו באלאנסירן [אויב נעמט מען א טריט צו רעכטס גייט מען דערנאך נעמען א טריט צו לינקס וההיפך בהיפך]. מען וויל עס אבער אויסשטעלן אויף אזא סארט וועג אז אפילו מען זאל אנהויבן פון עני טערמין אינעם סדר וואס מ׳האט אויסגעשטעלט, אדער א סארט פּעטערן וואס מ׳נעמט יעצט אינעם סדר וואס מ׳האט אויסגעשטעלט, זאל מען דאך בהכרח פארבלייבן אויפ׳ן וועג. דאס האט מען אויפגעוואוזן איז אומעגליך טאמער האט מען מער ווי 11 ״טריט״ אינעם סיִקווענס.

דר. פּאָל ערדאס האט קאנדזשעקטשורד אז אפילו עס איז מער ווי 1 טריט אוועק פון ביידע זייטן, איז אומעגליך אויסצושטעלן אזא סארט סיִקווענס על זה הדרך הנ״ל וואו מען זאל זיין פארזיכערט נישט אראפצופאלן פונעם וועג לעולם; פאר אן אינפיניט צאל פון ״טריט״. צב״ש, וואו ס׳איז נאר דריי טריט אוועק, א סיִקווענס/סיריִס פון ±2, קען מען אויסשטעלן א סדר על זה הדרך הנ״ל צו זיין פארזיכערט נאר ביז 1,160 ״טריט״/עלעמענטס אינעם סיריִס.

דר. טערענס טאַוּ האט דאס אויפגעוואוזן פאר אלע צאלן ״טריט״. (זיין פּרוּף האט א שייכות מיט די געדאנק פון ענטראָפּי אין מאטעמאטישע מושגים וואס קען נישט גיין אונטער 0.)

דאס איז די פארמאלע אויסשטעל דערפון:
A69CDEB2-312A-44F1-A213-59AB3C8DDD38.jpeg
A69CDEB2-312A-44F1-A213-59AB3C8DDD38.jpeg (11.54 KiB) געזען געווארן 3849 מאל

והיינו, אז אויב ווען איך הייב אָן פונעם עלעמענט אדער גיי אין דעם עפ״י א פעקטאר פון עפעס א געוויסע נומער, גייט זיין א נומער ביז וואו איך רעכען דעם סיריִס צאם וואס גייט זיין [אין איר פאזיטיווע/אבסאלוט וועליוּ] מער ווי די נומער וואס איך וועהל דערפאר שהיא C [די ״טריט״].
"איך בין אפילו נישט זיכער אז איך עקזיסטיר, ווי אזוי קען איך זיין זיכער אז...?" - יאיר
"אלס וואס איך ווייס איז אז איך ווייס גארנישט (אחוץ דעם עצם פאקט)" - סקראטוס
און אפילו אין דעם בין איך אויך נישט זיכער (וכן הלאה והלאה)
באניצער אוואטאר
מי אני
שריפטשטעלער
שריפטשטעלער
הודעות: 5784
זיך רעגיסטרירט: פרייטאג אקטאבער 05, 2018 4:32 pm
האט שוין געלייקט: 12391 מאל
האט שוין באקומען לייקס: 8057 מאל

לוּוויל לעמבּדא פאָנקשען

שליחה דורך מי אני »

אין דעם איז דא די לוּוויל לעמבּדא פאָנקשען כזה:
F6089646-BB54-4A01-BE92-8FCD154751FA.jpeg

וואו Ω [די פּריים אָמעגא פאָנקשען] באדייט די צאל פּריים פאקטארן פונעם נומער. עס קומט אויס אז אויב איז די צאל פּריים פאקטארן פונעם נומער אַן איִווען צאל דאן איז די לוּוויל לעמבּדא פאָנקשען פאזיטיוו 1, ווייל עס האט דאך אן איִווען עקספּאָנענט וואס פארוואנדעלט די 1- אין צו א פאזיטיוו, און אויב איז די צאל פּריים פאקטארן פונעם נומער אַדד דאן איז די לוּוויל לעמבּדא פאָנקשען נעגאטיוו 1, ווייל עס האט דאך אן אַדד עקספּאָנענט וואס געבט ארויס מיט א נעגאטיוו בּעיס אויך א נעגאטיווע נומער.

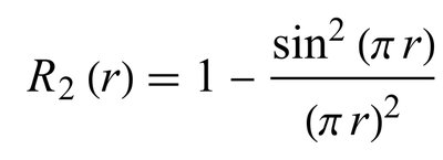
דאס איז מקושר צום ריעמאן זעטאַ פאָנקשען כזה:
E1CFD382-D5DE-41E4-9616-197E4DB1C5A8.jpeg
E1CFD382-D5DE-41E4-9616-197E4DB1C5A8.jpeg (18.69 KiB) געזען געווארן 3841 מאל

והיינו, אז פאר יעדע נומער איך וועהל פאר׳ן עקספּאָנענט, דהיינו s אין דעם סיריִס/פאָנקשען כנ״ל, גיי איך דאס דאָפּלען און נעמען דעם צאל וואס עס קומט אויס און דיוויידן ביי די אריגינעלע פאָנקשען׳ס צאל וואס די s וואס איך האב געוועלט געבט ארויס, דאן גייט דאס אויסקומען דאס זעלבע ווי ווען איך הייב אָן מיט די לוּוויל לעמבּדא פאָנקשען פון 1 און איך דיווייד דאס ביי יענע נומער 1 צו די עקספּאָנענט פון דעם s און איך עדד די סומע/קאנווערדזשענס וואס עס קומט אויס פון זיי אלע צוזאמען נוצענדיג נאכדעם 2,3,4 ביז אינפיניטי [איר דיריכלעט סיריִס].

די (אפגעווענדטע) פּאָליאַ קאנדזשעקטשור אראפגעברענגט דא איז אויך געווען בעצם אין טערמינען פון דעם לוּוויל לעמבּדא פאָנקשען כזה:
2545A4D2-E8F2-471F-98D7-06CF58B55AF7.jpeg
2545A4D2-E8F2-471F-98D7-06CF58B55AF7.jpeg (13.32 KiB) געזען געווארן 3841 מאל

והיינו, אז אויב הייב איך אָן פון די לוּוויל לעמבּדא פאָנקשען ביי 1 און איך נעם די קאנווערדזשענס/סומע פון דאס וואס די פאָנקשען געבט ארויס ביז עני נומער [וואס איך שטעל אריין אינעם פאָנקשען] וואס איז מער ווי 1 גייט דאס זיין אדער 0 אדער נעגאטיוו. מיינענדיג, אז רוב נומערן אונטער דעם נומער האבן טאקע אן אַדד צאל פון פּריים פאקטארן וואס באדייט א מערהייט פון נעגאטיווע סומעס פונעם ‏לוּוויל לעמבּדא פאָנקשען.
"איך בין אפילו נישט זיכער אז איך עקזיסטיר, ווי אזוי קען איך זיין זיכער אז...?" - יאיר
"אלס וואס איך ווייס איז אז איך ווייס גארנישט (אחוץ דעם עצם פאקט)" - סקראטוס
און אפילו אין דעם בין איך אויך נישט זיכער (וכן הלאה והלאה)
באניצער אוואטאר
מי אני
שריפטשטעלער
שריפטשטעלער
הודעות: 5784
זיך רעגיסטרירט: פרייטאג אקטאבער 05, 2018 4:32 pm
האט שוין געלייקט: 12391 מאל
האט שוין באקומען לייקס: 8057 מאל

שליחה דורך מי אני »

מי אני האט געשריבן:גיבן א גבול [בּאַוּנד], סיי אויף צום ווייניגסטענס און סיי אויף צום מערסטענס (וואס ווערט גערופן די ״גרויסע O פון די פאָנקשען״)
מענינא דיומא האלט דר. דאַנעלד קנוּט אז דאס איז נישט בעצם אן ״O״ נאר די גריכישע בוכשטאב אַמיקראַן. ווען עס געבט א לוֺיער בּאַוּנד, אז די פאָנקשען וועט נישט וואקסן ״ווייניגער ווי״, לעומת די ״מער ווי״ ווי ביי בּיג O, דאן נוצט מען די [קעפּיטעל] אָמעגאַ, Ω, בוכשטאב. ווען מען געבט א בּאַוּנד צווישן צוויי פאָנקשענס דאן נוצט מען די טעטאַ, θ, בוכשטאב.
"איך בין אפילו נישט זיכער אז איך עקזיסטיר, ווי אזוי קען איך זיין זיכער אז...?" - יאיר
"אלס וואס איך ווייס איז אז איך ווייס גארנישט (אחוץ דעם עצם פאקט)" - סקראטוס
און אפילו אין דעם בין איך אויך נישט זיכער (וכן הלאה והלאה)
באניצער אוואטאר
מי אני
שריפטשטעלער
שריפטשטעלער
הודעות: 5784
זיך רעגיסטרירט: פרייטאג אקטאבער 05, 2018 4:32 pm
האט שוין געלייקט: 12391 מאל
האט שוין באקומען לייקס: 8057 מאל

שליחה דורך מי אני »

אז מ׳האט דערמאנט גראַנדי׳ס סיריִס בנוגע רעליגיע און בריאת יש מאין איז דאס וואס דר. דזשאָרדען עלענבּערג שרייבט:
32DC174D-0700-4E2F-9583-F5C6E49860B7.jpeg

אויף די סארט דייווערדזשענט סיריִס האט אבער דער מאטעמאטיקער ניִלס הענריק עבּעל געזאגט, ״אז דאס איז די אויפקום פונעם טייוול״.
"איך בין אפילו נישט זיכער אז איך עקזיסטיר, ווי אזוי קען איך זיין זיכער אז...?" - יאיר
"אלס וואס איך ווייס איז אז איך ווייס גארנישט (אחוץ דעם עצם פאקט)" - סקראטוס
און אפילו אין דעם בין איך אויך נישט זיכער (וכן הלאה והלאה)
באניצער אוואטאר
מי אני
שריפטשטעלער
שריפטשטעלער
הודעות: 5784
זיך רעגיסטרירט: פרייטאג אקטאבער 05, 2018 4:32 pm
האט שוין געלייקט: 12391 מאל
האט שוין באקומען לייקס: 8057 מאל

שליחה דורך מי אני »

אין די לעקציע [1:24:42-1:25:07] זאגט דער מאטעמאטיקער דר. קיִט דעוולין אז מ׳האט אויסגערעכענט אז די מילעניִאוּם פראבלעמען, פון וועלכעס דאס ריעמאן היפאטעזיע איז איינע פון זיי, זענען אזוי שווער אז אויב איינער אנטשיידט איינע פון זיי, און מ׳צוטיילט די $1,000,000 וואס ער באקומט דערפאר אין צו די אלע צייט וואס ער האט אוועקגעגעבן דערפאר, איז דאס ממש פרוטות.

עס ווערט גערעכענט ביי מאנכע ווי ״דאס שווערסטע וועג פון מאכן $1,000,000.״

און ווי דער מאטעמאטיקער דר. אלין עמית ענטפערט פאר איינער וואס פרעגט ״וואס איז טאמער איינער האלט אינמיטן ארבעטן דערויף און א צווייטער ענדיגט דאס צו פאר אים?״:
[left]If you care, even a tiny bit, about “how is the million bucks split”, you are deeply confused about what it means to explore and solve the Riemann Hypothesis

To fully understand the current state of affairs around the Riemann Hypothesis you need to be a seasoned researcher in Analytic Number Theory

If you were a seasoned researcher in Analytic Number Theory you would know better than to care about such matters. You would understand the historical significance of solving RH and what it means to you and your life’s work and the history of mathematics and, dare I say, mankind

You would know what it takes to solve a major open problem in mathematics, and you would understand that there’s no such thing as “99%”

And even if there had been, strangely, somehow, in your case, you would primarily care about the achievement itself and the recognition and impact you’d earn by making such tremendous progress on such a profound problem

And even if you did care about the prize, you’d know that it is quite simply awarded to the person who delivered the complete proof, regardless of how many shoulders of how many giants they needed to stand on, and even if the committee or whomever felt they want to split the prize with another researcher, well, whatever. This is like a million light years away from the things you need to worry about now. It doesn’t matter. And anyway, there’s no rule or formula for how to “split the prize”

It’s nice to have prizes. It’s good and fitting for mathematicians to have some publicly recognizable reward for their remarkable yet impenetrable achievements. Kudos to the Clay Institute, and the Norwegian Government, and Yuri Milner et al, for helping translate those achievements to something of a celebrity status. That’s wonderful

But if you begin your journey of exploring RH by worrying about how much you’ll be awarded if you make some sort of incomplete progress, you’re doing it utterly, frightfully, insanely wrong[/left]

(ועיין כאן.)
"איך בין אפילו נישט זיכער אז איך עקזיסטיר, ווי אזוי קען איך זיין זיכער אז...?" - יאיר
"אלס וואס איך ווייס איז אז איך ווייס גארנישט (אחוץ דעם עצם פאקט)" - סקראטוס
און אפילו אין דעם בין איך אויך נישט זיכער (וכן הלאה והלאה)
באניצער אוואטאר
מי אני
שריפטשטעלער
שריפטשטעלער
הודעות: 5784
זיך רעגיסטרירט: פרייטאג אקטאבער 05, 2018 4:32 pm
האט שוין געלייקט: 12391 מאל
האט שוין באקומען לייקס: 8057 מאל

שליחה דורך מי אני »

מי אני האט געשריבן:אז מ׳האט דערמאנט גראַנדי׳ס סיריִס בנוגע רעליגיע האב איך געקלערט ענליך אז דא [פון 1:50] איז מען מסביר, עפ״י דר. אנטאני פלוּ, אז ס׳איז יתכן לומר אז דער אטעאיסט און דער טעאיסט זאגן בעצם די זעלבע זאך אויף למעשה (עכ״פ לגבי די אביעקטיווע וועלט ממש). דאס איז נאך מער עפ״י א שטארקע מהלך פון טעאיסטישע נעגאטיווע טעאלאגיע. און ווי אונז האבן דא אראפגעברענגט:
מי אני האט געשריבן:דאס דערמאנט פון דעם פראנצויזישן טעאלאג מישעל דע סערטעא'ס מימרא:
[left]The weight of [God's] transcendence makes any proposition relative, even to the point that the statement "God exists" has to be followed by a denial[/left]

והיינו, אז עס קומט אויס אז לגבי דאס פּראפּאזישאן אן פון דאס ״עקזיסטענץ״ פון ג-ט איז עס כעין 1 - 1 [איינס מיינוס איינס; פּאזיטיוו 1 און דערנאך צוגעלייגט צו דעם נעגאטיוו 1], און דער אטעאיסט זאגט דאך מעיקרא אויף דעם א גאנצע 0. איז די שאלה דא צי ביי די פאל איז 1-1 ≠ 0 אדער יא 1-1 = 0 ווי ביי געהעריגע מאטעמאטיקס? מיינענדיג, איז עס טאקע די זעלבע ווי דער אטעאיסט (עכ״פ בעלמא הדין) צי נישט?

(דאס קען שוין אויך אָנרירן אויף די געדאנק.)

דאס געבט אפשר א נייעם באדייט/קנייטש צו יוּקליד׳ס מימרא:
[left]The laws of nature are but the mathematical thoughts of G-d[/left]

2C11ECB4-75C0-4B07-B047-B390553B5589.jpeg

פונעם וויקיפידיע ענטרי אויף Maimonides. איז לגבי דעם רמב״ם טרעפט מען אז די געדאנק איז טאקע אז אין די פאל, וואו ע = עקזיסטענץ, איז:

‏~(~ע) ≠ ע

אנדערש ווי געווענליך וואו א מיעוט אחר מיעוט, א דאפלטע נעגאטיוו, איז מרבה.

אונזער געדאנק דא איז אביסל אנדערש. והיינו, אז די עסאָסיעטיוו/מאָלטיפּליקיטעטיוו דיסטריבּיוּטיוו פּראַפּערטי ביי לאגיק גייט נישט אָן ביי דעם. מיינענדיג, דער טעאיסט זאגט ~(ע), ער פאזיטירט די עקזיסטענץ פון ג-ט אבער נעגעיט די עצם סטעיטמענט/פּראפּאזישאן כנ״ל לפי דע סערטעא, ווידעראום דער אטעאיסט זאגט גראד ~ע. איז דא די געדאנק:

‏~(ע) ≠ ~ע

עס איז מן הראוי לציין אז אין אלגעמיין גייט נישט אָן אין לאגיק ביי נעגעישאן א דיסטריבּיוּטיוו פּראפּערטי - נאר ביי ״און״ [& צי ⋀] און ״אדער״ [v]. למשל, די פראזע:
א׳ & (ב׳ v ג׳)
איז דאס זעלבע ווי:
(א׳ & ב׳) v (א׳ & ג׳)

ווי אויך:
א׳ v (ב׳ & ג׳)
איז דאס זעלבע ווי:
(א׳ v ב׳) & (א׳ v ג׳)

אין אונזער פאל וויבאלד עס איז נאר איין טערמין איז דאס יא בעצם דיסטריבּיוּטיוו, ופשוט. עס איז ממש עקוויוועלענט.

וואו יא, איז ביי דע מאָרגענ׳ס געזעצן ווען עס איז דא אַן ״און״ אדער ״אדער״ פּראַפּאַזישאן און איך נעגעיט די גאנצע, דאן אז איך דיסטריבּיוּט אריין די נעגעישאן צו יעדעס איינס טויש איך די ״און״ צו אַן ״אדער״ און פארקערט. לדוגמא:
‏~(א & ב)
איז דאס זעלבע ווי:
‏~א v ~ ב
וכן להיפך אויב דאס וואלט מעיקרא געווען א v וואלט איך דאס געטוישט צו א &.
"איך בין אפילו נישט זיכער אז איך עקזיסטיר, ווי אזוי קען איך זיין זיכער אז...?" - יאיר
"אלס וואס איך ווייס איז אז איך ווייס גארנישט (אחוץ דעם עצם פאקט)" - סקראטוס
און אפילו אין דעם בין איך אויך נישט זיכער (וכן הלאה והלאה)
באניצער אוואטאר
מי אני
שריפטשטעלער
שריפטשטעלער
הודעות: 5784
זיך רעגיסטרירט: פרייטאג אקטאבער 05, 2018 4:32 pm
האט שוין געלייקט: 12391 מאל
האט שוין באקומען לייקס: 8057 מאל

מאנטגאמערי׳ס פּאָר/פּעיר קאָרעלעישאן קאנדזשעקטשור

שליחה דורך מי אני »

ולגבי די הילבערט-פּאָליאַ קאנדזשעקטשור און דאס קשר דערצו צו קוואנטום פיזיקס איז זעהט מען נאך אן אינטרעסאנטער קשר. דער מאטעמאטיקער דר. הוּ מאנטגאמערי איז אויפגעקומען מיט א קאנדזשעקטשור, אָננעמענדיג אז די ריעמאן היפאטעזיע איז אמת, וואס רופט זיך (זיין) מאנטגאמערי׳ס פּאָר/פּעיר קאָרעלעישאן קאנדזשעקטשור. דאס לויטעט אז, צב״ש, אין אסטראנאמיע איז דא א צוויי-פונקט קאָרעלעישאן פאָנקשען וואס איז א פאָנקשען וואס ווען איך פיטער אריין דערין א וועליוּ אין ווייטקייט געבט דאס מיר די פּראַבּעבּיליטי אז עס א גאלאקסי אפגערוקט פון אַן אנדערע מיט די ווייטקייט. ביי דעם קאנדזשעקטשורד מאנטגאמערי גייט די ווייטקייט פון צוויי זעראָס אויף די קריטיקעל ליניע זיין 1 פון וואס איך נעם אוועק די סקווער פון די סיין פון דעם ווייטקייט טיימס π וואס איך דיווייד ביי די סקווער (סתם) פון דעם ווייטקייט טיימס π.
CA28324F-CA24-47E7-B008-6249FBCF77B4.jpeg

דער פיזיקער פרימאן דייסאן האט אים געוויזן אז דאס איז גאר ענליך צו די פּאָר/פּעיר קאָרעלעישאן ביי הערמיטיען מעיטריסיִס. דאס גייט שוין צוזאמען מיט די פּאָר/פּעיר קאָרעלעישאן פון ענערגיע לעוועלס אין די נוּקליאוס פון גרויסע אטאמען.

***

און אז מ׳האט דערמאנט דעם קשר פון רעאליטעט צו מאטעמאטיקס איז אינטרעסאנט צוצוברענגען וואס דער מאטעמאטיקער ניקאליי לאָבּאַטשעווסקי האט געזאגט:
There is no branch of mathematics, however abstract, which may not someday be applied to the phenomena of the real world
"איך בין אפילו נישט זיכער אז איך עקזיסטיר, ווי אזוי קען איך זיין זיכער אז...?" - יאיר
"אלס וואס איך ווייס איז אז איך ווייס גארנישט (אחוץ דעם עצם פאקט)" - סקראטוס
און אפילו אין דעם בין איך אויך נישט זיכער (וכן הלאה והלאה)
באניצער אוואטאר
מי אני
שריפטשטעלער
שריפטשטעלער
הודעות: 5784
זיך רעגיסטרירט: פרייטאג אקטאבער 05, 2018 4:32 pm
האט שוין געלייקט: 12391 מאל
האט שוין באקומען לייקס: 8057 מאל

בּענפאָרד׳ס און זיפּף׳ס געזעצן

שליחה דורך מי אני »

בנוגע דעם קאָלאַץ קאָנדזשעקטשור וועט דאס נישט זיין ביי נעגאטיווע נומערן; עס וועט ביי געוויסע נומערן גיין אין א לוּפּ און נישט צוקומען צו 1-. הגם טאמער ביי אַן אַדד נומער מאָלטיפּלייט מען דאס ביי 3 און מען סאָבּטרעקט 1, וואס מיינט מען ״לייגט צו״ נאך א נעגאטיווע נומער [ווי למשל פון 15- צו 16-] דאן גייט דאס זיין ענליך צום אלגעמיינעם קאָלאַץ קאָנדזשעקטשור וואו עס קומו אָן צו 1-.

אין דעם איז אויך אינטרעסאנט אז די קאָנדזשעקטשור פאלגט נאך דעם באקאנטן בּענפאָרד׳ס געזעץ. דאס לויטעט אז אין א געוואלד סארט סעטס פון נומערן (צב״ש ביי קאַנסטענטס פון פיזיקס און מאטעמאטיקס) וועט בערך 30% פון די ערשטע דידזשיט פון די נומערן דערין זיין אַן 1 און ווי מער מ׳גייט ארויף אין די נומערן ביז 9, אלס ווייניגער איז די פראצענט אז עס וועט זיין די ערשטע דידזשיט פון א נומער - ביז ווען מען קומט אָן צו 9 איז די פראצענט אז די ערשטע דידזשיט פון די נומער זאל זיין א 9 נאר בערך 5%. (דאס האלט עכ״פ אין אונזער בּעיס-10 נומערן סיסטעם.)

דאס איז א בּאַר גרעף וואס צייגט די פראצענטן עפ״י דעם געזעץ פון דאס אז די ערשטע דידזשיט פון א נומער אין א סעט זאל זיין יענע נומער:
9B70F555-0484-4C24-90FD-869C1BD19536.png

מ׳נוצט דעם געזעץ צו כאפן שווינדלערייען וואו מ׳מאכט אויף נומערן און מ׳פרובירט אז עס זאל זיין רענדאם. עפ״י די געזעץ האט דאס א סדר וויפיל פון די נומערן בערך דארפן זיך אָנצוהויבן מיט וועלכע דידזשיט.

די נומערן וואס קומען אפיר פון טוהן די קאָלאַץ קאָנדזשעקטשור פראצעדור אויף נומער נאך נומער גייט אויך נאך די געזעץ; ווי מער מ׳טוהט דאס אלס מער קומט דאס ארויס.

אביסל ענליך צו דעם איז דא (ובעיקר אין לינגוויסטיקס) זיפּף׳ס געזעץ. דאס לויטעט אז אין א געוואלד סעטס (בפרט ביי ווערטער כנ״ל) וועט דאס וואס פאסירט דאס מערסטע אינעם סעט זיין (בערך) דאפעלט פון דאס וואס פאסירט דאס צווייטע צו די מערסטע און טריפעלט פון דאס וואס פאסירט דאס דריטע צו די מערסטע, וכן הלאה. עס איז טאקע אביסל מנוגד צו בּענפאָרד׳ס געזעץ.
"איך בין אפילו נישט זיכער אז איך עקזיסטיר, ווי אזוי קען איך זיין זיכער אז...?" - יאיר
"אלס וואס איך ווייס איז אז איך ווייס גארנישט (אחוץ דעם עצם פאקט)" - סקראטוס
און אפילו אין דעם בין איך אויך נישט זיכער (וכן הלאה והלאה)
באניצער אוואטאר
מי אני
שריפטשטעלער
שריפטשטעלער
הודעות: 5784
זיך רעגיסטרירט: פרייטאג אקטאבער 05, 2018 4:32 pm
האט שוין געלייקט: 12391 מאל
האט שוין באקומען לייקס: 8057 מאל

רענדאם וואָק/שפאציר

שליחה דורך מי אני »

ובנוגע דעם דערמאנטן ערדאָס דיסקרעפּענסי פראבלעם, איז דאס נכלל אונטער דעם געדאנק פון א ״רענדאם וואָק/שפאציר אין מאטעמאטיקס. דאס פרעגט אויב איך הייב אָן ביי א פונקט און מיט יעדעס טריט פאראויס וואס איך ריק זיך טרעט איך רענדאמלי 1 טריט אדער רעכטס אדער לינקס (קיינמאל נישט גראד), ווי ווייט וועל איך זיין ביי עוורידזש [אין טערמינען פון רעכטס/לינקס] פונעם אָנהויב פונקט?
A273E2EF-D4DF-4B4E-B350-6D3D1031F1D4.jpeg

עס קומט אויס אז אויב יעדעס טריט איז מיט 1 טריט רעכטס אדער לינקס, דאן איז די עוורידזש ווייטקייט די סקווער רוּט פון וויפיל טריט איך האב גענומען. אויב איז מיט יעדע טריט גיי איך, למשל, 2 טריט רעכטס אדער לינקס, דאַן מאָלטיפּליי איך די סקווער רוּט ביי 2 (אויב 3 טריט רעכטס אדער לינקס דאן ביי 3 וכו׳).
"איך בין אפילו נישט זיכער אז איך עקזיסטיר, ווי אזוי קען איך זיין זיכער אז...?" - יאיר
"אלס וואס איך ווייס איז אז איך ווייס גארנישט (אחוץ דעם עצם פאקט)" - סקראטוס
און אפילו אין דעם בין איך אויך נישט זיכער (וכן הלאה והלאה)
באניצער אוואטאר
מי אני
שריפטשטעלער
שריפטשטעלער
הודעות: 5784
זיך רעגיסטרירט: פרייטאג אקטאבער 05, 2018 4:32 pm
האט שוין געלייקט: 12391 מאל
האט שוין באקומען לייקס: 8057 מאל

שליחה דורך מי אני »

מי אני האט געשריבן:
הקובץ המצורף 2C11ECB4-75C0-4B07-B047-B390553B5589.jpeg לא זמין יותר.
פונעם וויקיפידיע ענטרי אויף Maimonides. איז לגבי דעם רמב״ם טרעפט מען אז די געדאנק איז טאקע אז אין די פאל, וואו ע = עקזיסטענץ, איז:

‏~(~ע) ≠ ע

אנדערש ווי געווענליך וואו א מיעוט אחר מיעוט, א דאפלטע נעגאטיוו, איז מרבה.
דר. אָלגאַ קאָשעלעווא און דר. וולאדיק קריינאוויטש זענען מסביר אט די געדאנק פונעם רמב״ם׳ס (און אויך, להבדיל, פונעם פערסישן איסלאמישן חכם ופילוסוף אַבּוּ יאַקוּבּ אַל-סידזשיסטאַני) ״דאָבּל נעגעישאן טעאלאגיע״, וואו מ׳קען זאגן א דאָבּל נעגעישאן לגבי ג-ט אבער דאס מיינט נישט די עצם זאך אליין כמו בכל הלכות לאגיק, עפ״י די חילוק צווישן קלאסישע לאגיק און קאַנסטראָקטיוו/אינטוּאישיניסט לאגיק. והיינו, איינע פון די דריי יסודות׳דיגע געזעצן אין לאגיק איז דאס געזעץ פון עקסקלוּדעד מיטן. דאס מיינט אז א זאך/זאץ קען נאר זיין איינס פון צוויי: אדער ״יא/אמת״ אדער ״ניין/פאלש״ - עס קען נישט זיין עפעס ״אינדערמיט״. (די אנדערע צוויי זענען דאס געזעץ פון נאַן קאַנטרעדיקשאן, אז עפעס קען נישט זיין דבר והיפוכו/אינגאנצן ״יא״ און אינגאנצן ״ניין״ ביינאזאם ממש, און דאס געזעץ פון אידענטיטעט, וואס זאגט אז א זאך איז דאס זעלבע ווי זיך אליינס [א׳ בלייבט די זעלבע א׳ דורכאויס דאס גאנצע פּראַפּאַזישאן וכו׳].)

אבער, עפ״י גאָדעל׳ס טעארעם איז אין יעדעס סיסטעם שייך אז מען קען טאקע וויסן אז עפעס עקזיסטירט במאטעמאטיקס אבער עס וועט פארט זיין אומעגליך צו ״קאַנסטראָקטן״ א וועג/אלגאריטם דאס צו טרעפן און אָנקומען דערצו בפועל וכו׳. מיינענדיג, אז וואו איך וויל וויסן אַן אלגאריטם צו טרעפן א׳ v ~א׳ וועט די אויבנדערמאנטע געזעץ פון עקסקלוּדעד מיטן נישט האלטן - איך קען דאך דאס נישט טרעפן און עס איז נישט איינע פון די צוויי אין די קאנטעקסט. ועפי״ז האט דר. אנדרעי קאלמאגאראוו מחדש געווען קאַנסטראָקטיוו/אינטוּאישיניסט לאגיק פאר די סארט אלגאריטמס וואו די געזעץ האלט טאקע נישט אָן. אבער ער האט אויפגעוואוזן אז ~~(א׳ v ~א׳), די דאָבּל נעגעישאן פון אט די געזעץ, האלט אבער יא אָן; עס איז נישט די זעלבע דא.

די חילוק פון די צוויי סארטן לאגיקס איז אבער נאר פון אונזער מבט וואו אונז קענען נאר מברר זיין א פיניט צאל פון פּראַפּאַזישאנס וכו׳ בתוך א פיניט צאל פון צייט. משא״כ בנוגע ג-ט וואס ער קען כביכול מברר זיין אַן אינפיניט צאל פּראַפּאַזישאנס וכו׳ בתוך א פיניט צאל פון צייט, דאן קאלעפּסט און ווערט קאַנסטראָקטיוו/אינטוּאישיניסט לאגיק אין צו אט דאס זעלבע ווי קלאסישע לאגיק וואו די געזעץ פון עקסקלוּדעד מיטן האלט יא אָן. וממילא פון אונזער מבט וואו אונז דארפן צוקומען צו קאַנסטראָקטיוו/אינטוּאישיניסט לאגיק איז האלט נאר אָן די דאָבּל נעגעישאן פון אט דעם געזעץ פון עקסקלוּדעד מיטן הגם די עצם געזעץ אליין נישט; עס איז נישט דאס זעלבע. משא״כ מכביכול מבטו של הקב״ה וואו עס איז יא איינס.
E33C3D14-31F2-436C-B200-23A7957EE76F.jpeg
און דאס איז וואס דער טעאלאג דר. דעניס טורנער שרייבט:
within our speech about God there are elements of grammatical affirmation and negation, often conjoint — as when we say affirmatively that God is “wise” and in the same breath also negatively that God is “infinitely” so — so also is there a second-order failure, a negation of speech as such. And this second level of negation supervenes upon the first so as to indicate the failure of the conjunction of grammatical affirmation and negation
ובכלל:
487F88E2-8757-474E-8EC5-6EA6FEB8E715.jpeg
***
75374352-06FD-4A5A-90E0-4003AAC4FA2A.jpeg
ובענין זה האב איך דאס געהאט געזעהן בנוגע סטאטיסטיקס אינעם תלמוד. האט מיר איינער געזאגט אז אויב שטעלט מען דאך צאם צוויי איסורים/נעגאטיווס צוזאמען אין פּאָרען פון צוויי צוויי זענען זיי דאך יעדעס פּאָר, עפ״י כלל הנ״ל של דאָבּל נעגעישאן, א פאזיטיוו והיתר. זענען דאך דא מער היתירים ווי איסורים…

און עס איז באקאנט די מעשה מיט דר. סידני מארגענבעסער וואס איז געזעצן ביי א שיעור פון פראפעסאר דזשאן לענגשׁאָ אָסטין, וואו פראפעסאר אָסטין האט געזאגט אז הגם א דאָבּל נעגאטיוו איז א פאזיטיוו, איז אבער נישט דא קיין שום שפראך וואו (פארקערט) א דאָבּל פּאזיטיוו איז א נעגאטיוו. האט זיך דר. מארגענבעסער אָנגערופן (סארקאסטיש) ״יא יא״. (הגם דא איז די געדאנק מער אלס די סארקאסטישע טאָן, אינטאָנעישאן, און פּראסאדי.)

און אז מ׳האט דערמאנט דעם געזעץ פון נאַן-קאַנטרעדיקשאן, וואו ״יא״ און ״ניין״ קענען נישט זיין אמת ביינאזאם, האט מען אמאל געפרעגט פון דר. מארגענבעסער צי ער איז מסכים צו דעם וואס מאַאָ דזידאנג פון כינע האלט אז א זאץ קען זיין אינגאנצן אמת און אינגאנצן שקר ביינאזאם. האט ער גע׳ענטפערט ״איך בין [אינגאנצן מסכים] און איך בין נישט [אינגאנצן מסכים]״.
"איך בין אפילו נישט זיכער אז איך עקזיסטיר, ווי אזוי קען איך זיין זיכער אז...?" - יאיר
"אלס וואס איך ווייס איז אז איך ווייס גארנישט (אחוץ דעם עצם פאקט)" - סקראטוס
און אפילו אין דעם בין איך אויך נישט זיכער (וכן הלאה והלאה)
באניצער אוואטאר
מי אני
שריפטשטעלער
שריפטשטעלער
הודעות: 5784
זיך רעגיסטרירט: פרייטאג אקטאבער 05, 2018 4:32 pm
האט שוין געלייקט: 12391 מאל
האט שוין באקומען לייקס: 8057 מאל

שליחה דורך מי אני »

ולגבי די קשר בין מאטעמאטיקס לטעאלאגיע:
7B17C7DC-F7DC-4842-94F0-E07AC3999288.jpeg
ממשנתו של הרמ״ד אין זיין מארגענשטונדן.

ועיין כאן וכאן.
"איך בין אפילו נישט זיכער אז איך עקזיסטיר, ווי אזוי קען איך זיין זיכער אז...?" - יאיר
"אלס וואס איך ווייס איז אז איך ווייס גארנישט (אחוץ דעם עצם פאקט)" - סקראטוס
און אפילו אין דעם בין איך אויך נישט זיכער (וכן הלאה והלאה)
באניצער אוואטאר
מי אני
שריפטשטעלער
שריפטשטעלער
הודעות: 5784
זיך רעגיסטרירט: פרייטאג אקטאבער 05, 2018 4:32 pm
האט שוין געלייקט: 12391 מאל
האט שוין באקומען לייקס: 8057 מאל

שליחה דורך מי אני »

ובענין אמונה ונעגאטיווע טעאלאגיע און די קשר לזה צו [אינפיניט] סיריִס און גראַנדיִ׳ס סיריִס, קען מען מיט דעם אולי איוועליוּעיטן דאס וואס דר. דוד ביאלע ברענגט ארויס אז, צב״ש, שפינאזע האט גענומען דעם געדאנק פון דאס נעגאטיווע טעאלאגיע פונעם רמב״ם עד הסוף צום אָלטימעט נעגעישאן פון אטעאיזם. והיינו, ווייל ווי דער רמב״ם זאגט במו״נ ח״א פנ״ט איז ווי מער חכם מ׳איז אלס מער איז מען משיג שלילות לגביו ית׳ כביכול ע״ש באריכות. והיינו, אז ווי מער חכם אלס מער נעמט מען אראפ - מ׳לייגט צו נאך א נעגאטיוו.

דאס קען מען אולי באטראכטן גראַנדיִ׳ס סיריִס: מ׳האט א פאזיטיווע 1 [תואר] און מ׳נעגעיט דאס, מ׳האט נאך א פאזיטיווע 1 [תואר] און מ׳נעגעיט דאס, וכן הלאה והלאה עד אינפיניטי. אין אזא פאל איז דאך דא א מקום צו זאגן אז עס בלייבט ביי, און קאָנווערדזשד צו, 0 לגמרי כנ״ל.

אבער מ׳קען דאס באטראכטן ווי א פשוט׳ע אינפיניט סיריִס וואו איך האלט אין איין צולייגן נאך א נעגאטיווע 1. אין אזא פאל דייווערדזשד עס און עס קאָנווערדזשד נישט צו 0.

עס איז אינטרעסאנט צו באמערקן אז עפ״י לומדות מיט׳ן ריעמאן זעטאַ פאָנקשען קען מען מאכן די אינפיניט דייווערדזשענט סיריִס פון 1+1+1… אא״וו עד אינפיניטי אויסקומען צו קאָנווערדזשען צו 1/2-. והיינו, וואו מ׳לייגט יא צו פאזיטיווע תוארים מאכט מען דעם אינטעלעקטואלן 50:50 למציאותו א נעגאטיוו…
"איך בין אפילו נישט זיכער אז איך עקזיסטיר, ווי אזוי קען איך זיין זיכער אז...?" - יאיר
"אלס וואס איך ווייס איז אז איך ווייס גארנישט (אחוץ דעם עצם פאקט)" - סקראטוס
און אפילו אין דעם בין איך אויך נישט זיכער (וכן הלאה והלאה)
פארשפארט