די זיבן קאניגסבערג בריקן און דאס אויפשטייג פון גרעף טעאריע

אין דער וועלט פון נאטור און וויסנשאפט
באניצער אוואטאר
מי אני
שריפטשטעלער
שריפטשטעלער
הודעות: 5784
זיך רעגיסטרירט: פרייטאג אקטאבער 05, 2018 4:32 pm
האט שוין געלייקט: 12391 מאל
האט שוין באקומען לייקס: 8057 מאל

שליחה דורך מי אני »

דער קאמפיוטער סייענטיסט דר. פּיִטער בּראָ מילטערסען איז אויפגעקומען מיט אזא חידה:

עס זענען דא 100 ארעסטאנטן וואס יעדער איינער האט א נומער פון 1 ביז 100. אין א צימער זענען דא 100 קעסטעלעך וואס אין יעדעס איינס איז דא א נומער (צומישט) פון 1 ביז 100. מ׳לאזט יעדעס ארעסטאנט עקסטער אריין אינעם צימער און ער קען אונטערזוכן 50 קעסטעלעך. אויב טרעפן אלע זייער נומער גייען זיי אלע פריי און אז נישט גייט קיין איינער פריי. זיי טארן נישט רעדן מיט קיינעם בשעת׳ן און נאכ׳ן האבן ארויסגעקומען פונעם צימער. זיי מעגן זיך נאר אפשמועסן פאר דעם.

סתם אזוי זעהט אויס אז דאס אז זיי זאלן אלע גיין פריי האט א מעגליכקייט פון 1/2¹⁰⁰, ווייל יעדער איינער האט נאר א 50% שאנס פון טרעפן זיין נומער און איך דארף דאך דאס זאל דייקא געלונגען ביי אלע 100. אבער עס איז דא א סטראטעגיע וואס זיי קענען אפשמועסן פאר דעם וואס זאל העכערן די שאנסן פון א סוקסעס צו 31%. דאס איז אויב יעדער ווען ער גייט אריין הייבט אָן מיט׳ן קעסטל וואס האט זיין נומער. די נומער וואס ער טרעפט דערין זאל ער יעצט גיין באזוכן יענעם נומער קעסטל אא״וו ביז (און אויב) ער טרעפט זיין נומער. דאס ארבעט ווייל דאדורך ווערט דאס א גרעף צווישן אלע קעסטעלעך וואס עווענטועל מוז עס זיך ענדיגן צוריק ביי זיין נומער וואס צייגט צו דעם ערשטן קעסטל ער האט אונטערגעזוכט; א גרעף וואס לוּפּט. די שאלה איז נאר צו די גרעף האט מער ווי 50 נוֺידס. עס קומט אויס אז די פּראַבּעבּיליטי אז עס זאל זיין א לוּפּ פון 51 נוֺידס/קעסטעלעך ביז 100 איז 69%, וואס באדייט אז מיט די סטראטעגיע האבן די ארעסטאנטן אַן 31% שאנס פון סוקסעס.

עס קומט אויס אז נישט קיין חילוק וויפיל ארעסטאנטן עס זענען דא, אויב טוהט מען די זעלבע שפיל מיט אזויפיל קעסטעלעך ווי זיי וכו׳, דאן גייט זייער שאנס פון סוקסעס מיט די סטראטעגיע אלס זיין העכער ווי 30%.

***
עמינדב האט געשריבן:דא איז נישט מיין פלאץ אבער איך וויל דאך וויסן אויב דער פראבלעם העלפט אדער איז נוצבאר אין סיי וואס פארא עריע ערגעץ? למאי נפקה מינה?
No part of mathematics is ever, in the long run, "useless"

C. Stanley Ogilvy
"איך בין אפילו נישט זיכער אז איך עקזיסטיר, ווי אזוי קען איך זיין זיכער אז...?" - יאיר
"אלס וואס איך ווייס איז אז איך ווייס גארנישט (אחוץ דעם עצם פאקט)" - סקראטוס
און אפילו אין דעם בין איך אויך נישט זיכער (וכן הלאה והלאה)
באניצער אוואטאר
מי אני
שריפטשטעלער
שריפטשטעלער
הודעות: 5784
זיך רעגיסטרירט: פרייטאג אקטאבער 05, 2018 4:32 pm
האט שוין געלייקט: 12391 מאל
האט שוין באקומען לייקס: 8057 מאל

האַסע דייעגרעם

שליחה דורך מי אני »

בנוגע [פיניט פּאַרשעל] אָרדערד סעטס איז דא די געדאנק פון א האַסע דייעגרעם. דאס איז אז צום ערשט שטעל איך אויס די סעט מיט די רילעישאן פאָנקשען צווישן זיי. דאן מאך איך א דירעקטירטע גרעף [וואו פון איין נוֺיד צום באהאפטענעם צווייטן גייט מען נאר איין וועג] עפ״י די רילעישאנשיפּס צווישן זיי. איך נעם דערנאך אוועק עני עדזש צו זיך אליינס [א לוּפּ], עני עדזש וואס איז עפ״י א טראנסיטיוו רילעישאנשיפּ [א׳←ב׳←ג׳, איז עס אויך א׳←ג׳], און דערנאך שטעל איך עס פון אונטן ארויף אָן ערוֺיס פון דירעקשאן.

למשל, אז איך האב די סעט: {3 ,2 ,1} וואו די רילעישאן פאָנקשען צווישן זיי איז אדער דאס זעלבע אדער ווייניגער [≥]. וממילא 1 איז ביחס צו זיך, ווי אויך צו סיי 2 און 3. 2 איז צו זיך ווי אויך צו 3. 3 איז נאר צו זיך. וממילא איז עס כזה:
EFD105DF-895F-404E-80E5-817A7985C5ED.jpeg
EFD105DF-895F-404E-80E5-817A7985C5ED.jpeg (17.53 KiB) געזען געווארן 1122 מאל
איך נעם דערנאך אוועק די עדזשעס צו זיך אליינס, ווי אויך דעם עדזש פון 1 צו 3 וואס איז דאך אויך טרענסיטיוו עפ״י 1 צו 2 צו 3. דערנאך שטעל איך דאס אין די הייך אָן קיינע ערוֺיס, כזה:
E9E28D8A-EA9B-43E8-92E6-72CCA02D5C62.jpeg
E9E28D8A-EA9B-43E8-92E6-72CCA02D5C62.jpeg (8.83 KiB) געזען געווארן 1122 מאל
"איך בין אפילו נישט זיכער אז איך עקזיסטיר, ווי אזוי קען איך זיין זיכער אז...?" - יאיר
"אלס וואס איך ווייס איז אז איך ווייס גארנישט (אחוץ דעם עצם פאקט)" - סקראטוס
און אפילו אין דעם בין איך אויך נישט זיכער (וכן הלאה והלאה)
באניצער אוואטאר
מי אני
שריפטשטעלער
שריפטשטעלער
הודעות: 5784
זיך רעגיסטרירט: פרייטאג אקטאבער 05, 2018 4:32 pm
האט שוין געלייקט: 12391 מאל
האט שוין באקומען לייקס: 8057 מאל

שליחה דורך מי אני »

אויב איך האב א פיניט נומער פון פונקטן (נישט אלע אין א גראדע שורה) און איך באהעפט זיי אלע מיט ליינס, דאן איז די מאקסימום ליינס וואס דאס וועט שאפן די קאַמבּינעישאן פון די צאל פונקטן ביי 2 [n איז איז די נומער פון פונקטן און k איז 2]. די מינימום צאל ליינס, עפ״י די דע-בּרוּן ערדאס טעארעם, איז די צאל פון פונקטן. (יעדע ליין פון איין פונקט צום צווייטן ווערט גערעכענט ווי א ליין פאר זיך.) אויב איז די צאל ליינס טאקע די זעלבע פון די צאל פון פונקטן דאן באדייט דאס אז אלע פונקטן חוץ איינע זענען קאָליניער און ליגן אין איין שורה.

די דאַוּניִנג-ווילסאן קאנדזשעקטשור האט דאס דזשענעריילזד צו העכערע דיימענשאנס ווי 2. דר. דזשוּן הוּ האט דאס אויפגעוואוזן און ער האט די יאר געוואונען די פיִלדס מעדאל אין מאטעמאטיקס.
"איך בין אפילו נישט זיכער אז איך עקזיסטיר, ווי אזוי קען איך זיין זיכער אז...?" - יאיר
"אלס וואס איך ווייס איז אז איך ווייס גארנישט (אחוץ דעם עצם פאקט)" - סקראטוס
און אפילו אין דעם בין איך אויך נישט זיכער (וכן הלאה והלאה)
באניצער אוואטאר
מי אני
שריפטשטעלער
שריפטשטעלער
הודעות: 5784
זיך רעגיסטרירט: פרייטאג אקטאבער 05, 2018 4:32 pm
האט שוין געלייקט: 12391 מאל
האט שוין באקומען לייקס: 8057 מאל

שליחה דורך מי אני »

אז מ׳האט דערמאנט אוילער׳ס פארמולא/כאראקטעריסטיק, לויטעט אז ביי יעדעס 3D שׁעיפּ אויב רעכן איך צאם די ווערטיסיִס און די פנימ׳ער דערפון און איך נעם אוועק פון דעם צאל די עדזשעס/ליינס וועט עס אלס אויסקומען צו 2, איז מערקווידיג צו באמערקן אז מ׳האט אויפגעוואוזן אז אין יעדעס דיימענשאן וואס איז אַדד וועט די אוילער כאראקטעריסטיק דערפון זיין 2 און אין יעדעס דיימענשאן וואס איז איִווען וועט די אוילער כאראקטעריסטיק דערפון זיין 0.

בעצם קומט אויס אז יעדעס שׁעיפּ איז צאמגעשטעלט פון דאס וואס דעפינירט דאס אין קלענערע דיימענשאנס. לדוגמא, ווערטיסיִס/פונקטן זענען אין 0D, און עדזשעס/ליינס זענען וואס קומט צו אין 1D. פנימ׳ער, וואס זענען די זייטן פונעם 3D שׁעיפּ וואס שטעלן דאס צאם, זענען דאך 2D שׁעיפּס. וממילא אין 4D וועט מען צושטעלן צו דעם אוילער כאראקטעריסטיק די צאל פון 3D שׁעיפּס וואס שטעלן דאס צאם. וכן הלאה.

עס קומט אויס אז טאמער שטעל איך אויס א טרייענגעל מיט אזויפיל רוֺיס/שורות ווי די כאראקטעריסטיקס וואס די שׁעיפּ אין די דיימענשאן פארמאגט, און איך שטעל דאס אויס כזה: אַן 1 אויבן און ביי די אָנהויב פון יעדעס שורה. דערנאך שטעל איך די נומער נאכדעם לויט די דיפערענץ צווישן די צוויי נומערן העכער דעם (ענליך ווי ביים פּאַסקאַל׳ס טרייענגעל נאר מיט סאָבּטרעקשאן אנשטאטס עדישאן). עס גייט אויס קומען אז אונטן, נאך די לעצטע שורה, וועט עס אלס זיין א פּאלינדרוים [א נומער וואס מען קען ליינען אהין-און-צוריק] וואס ביים ענדע איז דא אַן 1. דא איז א משל ביי 5 דיימענשאנס:
D8CB03C4-E61E-45AF-907A-770EFAA3104F.jpeg
אין דעם איז דא די g-קאָנדזשעקטשור וואס לויטעט אז די פּאלינדרוים וואס מ׳באקומט גייען אירע נומערן ביז אינדערמיט אלס ווערן גרעסער ווי איידער קלענער.
"איך בין אפילו נישט זיכער אז איך עקזיסטיר, ווי אזוי קען איך זיין זיכער אז...?" - יאיר
"אלס וואס איך ווייס איז אז איך ווייס גארנישט (אחוץ דעם עצם פאקט)" - סקראטוס
און אפילו אין דעם בין איך אויך נישט זיכער (וכן הלאה והלאה)
באניצער אוואטאר
מי אני
שריפטשטעלער
שריפטשטעלער
הודעות: 5784
זיך רעגיסטרירט: פרייטאג אקטאבער 05, 2018 4:32 pm
האט שוין געלייקט: 12391 מאל
האט שוין באקומען לייקס: 8057 מאל

שליחה דורך מי אני »

מי אני האט געשריבן:
עמינדב האט געשריבן:דא איז נישט מיין פלאץ אבער איך וויל דאך וויסן אויב דער פראבלעם העלפט אדער איז נוצבאר אין סיי וואס פארא עריע ערגעץ? למאי נפקה מינה?
No part of mathematics is ever, in the long run, "useless"

C. Stanley Ogilvy
דער מאטעמאטיקער דר. גאדפרי העראלד האַרדי האט געשריבן א "התנצלות" אויף מאטעמאטיקס און פארוואס מ'דארף עוסק זיין דערין, ואפילו אין די "פּיוּר" חלק דערפון וואס האבן נישט קיין נוצן. דאס איז אלס די "שיינקייט" שבה, נאך מער ווי מוזיק צי פאעזיע. ער שרייבט דארט:
Is mathematics ‘unprofitable’? In some ways, plainly, it is not for example, it gives great pleasure to quite a large number of people. I was thinking of ‘profit’, however, in a narrower sense. Is mathematics ‘useful’, directly useful, as other sciences such as chemistry and physiology are? This is not an altogether easy or uncontroversial question, and I shall ultimately say No, though some mathematicians, and some outsiders, would no doubt say Yes

. . .

I am not thinking of the ‘practical’ consequences of mathematics. I have to return to that later: at present I will say only that if a chess problem is, in the crude sense, ‘useless’, then that is equally true of most of the best mathematics; that very little of mathematics is useful practically, and that that little is comparatively dull

. . .

A science or an art may be said to be ‘useful’ if its development increases, even indirectly, the material well-being and comfort of men, if it promotes happiness, using that word in a crude an commonplace way. Thus medicine and physiology are useful because they relieve suffering, and engineering is useful because it helps us to build houses and bridges, and so to raise the standard of life (engineering, of course, does harm as well, but that is not the question at the moment). Now some mathematics is certainly useful in this way; the engineers could not do their job without a fair working knowledge of mathematics, and mathematics is beginning to find applications even in physiology. So here we have a possible ground for a defence of mathematics; it may not be the best, or even a particularly strong defence, but it is one which we must examine. The ‘nobler’ uses of mathematics, if such they be, the uses which it shares with all creative art, will be irrelevant to our examination. Mathematics may, like poetry or music, ‘promote and sustain a lofty habit of mind’, and so increase the happiness of mathematicians and even of other people; but to defend it on that ground would be merely to elaborate what I have said already. What we have to consider now is the ‘crude’ utility of mathematics

All this may seem very obvious, but even here there is often a good deal of confusion, since the most ‘useful’ subjects are quite commonly just those which it is most useless for most of us to learn. It is useful to have an adequate supply of physiologists and engineers; but physiology and engineering are not useful studies for ordinary men (though their study may of course be defended on other grounds). For my own part I have never once found myself in a position where such scientific knowledge as I possess, outside pure mathematics, has brought me the slightest advantage

It is indeed rather astonishing how little practical value scientific knowledge has for ordinary men, how dull and commonplace such of it as has value is, and how its value seems almost to vary inversely to its reputed utility. It is useful to be tolerably quick at common arithmetic (and that, of course, is pure mathematics). It is useful to know a little French or German, a little history and geography, perhaps even a little economics. But a little chemistry, physics, or physiology has no value at all in ordinary life. We know that the gas will burn without knowing its constitution; when our cars break down we take them to a garage; when our stomach is out of order, we go to a doctor or a drugstore. We live either by rule of thumb or on other people’s professional knowledge

However, this is a side issue, a matter of pedagogy, interesting only to schoolmasters who have to advise parents clamouring for a ‘useful’ education for their sons. Of course we do not mean, when we say that physiology is useful, that most people ought to study physiology, but that the development of physiology by a handful of experts will increase the comfort of the majority. The questions which are important for us now are, how far mathematics can claim this sort of utility, what kinds of mathematics can make the strongest claims, and how far the intensive study of mathematics, as it is understood by mathematicians, can be justified on this ground alone

It will probably be plain by now to what conclusions I am coming; so I will state them at once dogmatically and then elaborate them a little. It is undeniable that a good deal of elementary mathematics — and I use the word ‘elementary’ in the sense in which professional mathematicians use it, in which it includes, for example, a fair working knowledge of the differential and integral calculus — has considerable practical utility. These parts of mathematics are, on the whole, rather dull; they are just the parts which have the least aesthetic value. The ‘real’ mathematics of the ‘real’ mathematicians, the mathematics of Fermat and Euler and Gauss and Abel and Riemann, is almost wholly ‘useless’ (and this is as true of ‘applied’ as of ‘pure’ mathematics). It is not possible to justify the life of any genuine professional mathematician on the ground of the ‘utility’ of his
work

But here I must deal with a misconception. It is sometimes suggested that pure mathematicians glory in the uselessness of their work (I have been accused of taking this view myself. I once said that ‘a science is said to be useful if its development tends to accentuate the existing inequalities in the distribution of wealth, or more directly promotes the destruction of human life’, and this sentence, written in 1915, has been quoted (for or against me) several times. It was of course a conscious rhetorical flourish, though one perhaps excusable at the time when it was written), and make it a boast that it has no practical applications. The imputation is usually based on an incautious saying attributed to Gauss, to the effect that, if mathematics is the queen of the sciences, then the theory of numbers is, because of its supreme uselessness, the queen of mathematics — I have never been able to find an exact quotation. I am sure that Gauss’s saying (if indeed it be his) has been rather crudely misinterpreted. If the theory of numbers could be employed for any practical and obviously honourable purpose, if it could be turned directly to the furtherance of human happiness or the relief of human suffering, as physiology and even chemistry can, then surely neither Gauss nor any other mathematician would have been so foolish as to decry or regret such applications. But science works for evil as well as for good (and particularly, of course, in time of war); and both Gauss and less mathematicians may be justified in rejoicing that there is one science at any rate, and that their own, whose very remoteness from ordinary human activities should keep it gentle and clean

. . .

These distinctions between pure and applied mathematics are important in themselves, but they have very little bearing on our discussion of the ‘usefulness’ of mathematics. I spoke of the ‘real’ mathematics of Fermat and other great mathematicians, the mathematics which has permanent aesthetic value, as for example the best Greek mathematics has, the mathematics which is eternal because the best of it may, like the best literature, continue to cause intense emotional satisfaction to thousands of people after thousands of years. These men were all primarily pure mathematicians (though the distinction was naturally a good deal less sharp in their days than it is now); but I was not thinking only of pure mathematics. I count Maxwell and Einstein, Eddington and Dirac, among ‘real’ mathematicians. The great modern achievements of applied mathematics have been in relativity and quantum mechanics, and these subjects are, at present at any rate, almost as ‘useless’ as the theory of numbers. It is the dull and elementary parts of applied mathematics, as it is the dull and elementary parts of pure mathematics, that work for good or ill. Time may change all this. No one foresaw the applications of matrices and groups and other purely mathematical theories to modern physics, and it may be that some of the 'highbrow’ applied mathematics will become ‘useful’ in as unexpected a way; but the evidence so far points to the conclusion that, in one subject as in the other, it is what is commonplace and dull that counts for practical life

. . .

I have never done anything ‘useful’. No discovery of mine has made, or is likely to make, directly or indirectly, for good or ill, the least difference to the amenity of the world. I have helped to train other mathematicians, but mathematicians of the same kind as myself, and their work has been, so far at any rate as I have helped them to it, as useless as my own. Judged by all practical standards, the value of my mathematical life is nil; and outside mathematics it is trivial anyhow. I have just one chance of escaping a verdict of complete triviality, that I may be judged to have created something worth creating. And that I have created is undeniable: the question is about its value

The case for my life, then, or for that of any one else who has been a mathematician in the same sense which I have been one, is this: that I have added something to knowledge, and helped others to add more; and that these somethings have a value which differs in degree only, and not in kind, from that of the creations of the great mathematicians, or of any of the other artists, great or small, who have left some kind of memorial behind them
ענליך קען מען אפשר זאגן לגבי פילאזאפיע. (ועיין מכאן ולהלן.)

דער מאטעמאטיקער דר. מיכאל העריס האט אביסל אפ'גע'חוזק'ט דערפון אין זיין בוך. ער זאגט אז מאטעמאטיקער ווילן נישט מודה זיין אז דאס וואס זיי טוהן אין מאטעמאטיקס איז מכח דעם ווייל עס ברענגט זיי תענוג. ועיין באשכול זו.

***

אז מ'האט גערעדט פון מער דיימענשאנס ווי 3, שרייבט דר. ען דע וויט במשנתו פונעם מאטעמאטיקער טשארלס הינטאן:
Hinton argues that gaining an intuitive perception of higher space required that we rid ourselves of the ideas of right and left, up and down, that inheres in our position as observers in a three-dimensional world. Hinton calls the process "casting out the self", equates it with the process of sympathizing with another person, and implies the two processes are mutually reinforcing
דער ארטיסט סאַלוואַדאָר דאַלי האט צאמגעשטעלט דעם געדאנק מיט קאטוילישקייט, לגבי א 4D טעסערעקט וואס ״unfold״ זיך צו 3D קיוּבּס.
"איך בין אפילו נישט זיכער אז איך עקזיסטיר, ווי אזוי קען איך זיין זיכער אז...?" - יאיר
"אלס וואס איך ווייס איז אז איך ווייס גארנישט (אחוץ דעם עצם פאקט)" - סקראטוס
און אפילו אין דעם בין איך אויך נישט זיכער (וכן הלאה והלאה)
באניצער אוואטאר
מי אני
שריפטשטעלער
שריפטשטעלער
הודעות: 5784
זיך רעגיסטרירט: פרייטאג אקטאבער 05, 2018 4:32 pm
האט שוין געלייקט: 12391 מאל
האט שוין באקומען לייקס: 8057 מאל

שליחה דורך מי אני »

לגבי גרעפס וואס האבן העמילטאָניען דרכים [וואו מ׳קען באזוכן יעדעס פונקט אויפ׳ן גרעף און נאר גיין צו יעדעס פונקט איין מאל] זענען דא דערין דיראק׳ס טעארעם און אָר׳ס טעארעם. דיראק׳ס טעארעם (פונעם מאטעמאטיקער דר. גבריאל דיראק, א שטיף-זוהן פונעם באקאנטער פיזיקער דר. פּאָל דיראק און א פלימעניק פונעם פיזיקער דר. יוּדזשיִן וויגנער) לויטעט אז טאמער פארמאגט א (פשוט׳ע [וואו קיין שום צוויי פונקטן זענען נישט באהאפטן צוזאמען מיט מער ווי איין ליין]) גרעף 3 פונקטן צי מער, גייט דאס זיין העמילטאָניען אויב יעדעס פונקט האט א דעגרי פון האלב די צאל פונקטן אינעם גרעף. מיינענדיג, אז יעדעס פונקט אינעם גרעף האט כאטש האלב די צאל ליינס/עדזשעס באהאפטן צו איר ווי די צאל פון פונקטן אינעם גרעף.

דר. אוישטיין אָר האט דאס אויסגעברייטערט מיט זיין אָר׳ס טעארעם. דאס לויטעט אפילו וואו עס איז נישט אזוי ווי דיראק זאגט, אויב אבער באשטייט די (פשוט׳ע) גרעף פון 3 פונקטן צי מער און יעדעס פאר פונקטן וואס איך מאך אינעם גרעף וואס זענען נישט באהאפטען איינע צום צווייטן גייען האבן ביחד כאטש א דעגרי פון זיבן, זיבן ליינס וואס קומען ארויס פון זיי, איז די גרעף העמילטאָניען.

דא זעהט מען ווי די צוויי פונקטן אינדערמיט פון די גרעף פארמאגן נישט יעדעס איינס כאטש האלב די צאל ליינס ווי די צאל פונקטן אינעם גרעף (זיי פארמאגן נאר 3 און האלב פון 7 איז דאך 3.5), אבער פונדעסטוועגן איז דאס העמילטאָניען ועפ״י אָר׳ס טעארעם:
53D25266-B3BE-4894-B260-5B627847A5AF.png
יעדעס קאָמפּליט גרעף איז העמילטאָניען.

ביי (פשוט'ע) דירעקטירטע גרעפס [וואו די ליינס לאזן נאר גיין איין ספעציפישע דירעקציע] לויטעט די גוּיִלא-האָאיִרי טעארעם אז אויב עס איז "שטארק" באהאפטן, מיינענדיג אז עס איז דא א דרך פון א' צו ב' און דערנאך, אויב הייבט מען אָן ביי ב' קען מען אָנקומען צוריק צו א' (עס קען זיין אנדערע פונקטן אינדערמיט וואס מ'דארף דורכגיין, אבער למעשה אויב קען מען אָנקומען פון א' צו ב', קען מען אויך אָנקומען פון ב' צו א') און דאס גייט אָנגיין ביי יעדעס פונקט (עס איז כמובן שייך אז עס זאלן נאר זיין קאָמפּאָנענטס/חלקים דערפון וואס זענען "שטארק" באהאפטן), דאן אויב יעדעס פונקט האט כאטש אזויפיל ליין באהאפטן צו איר אזוי ווי די צאל פונקטן אינעם גרעף איז עס העמילטאָניען. די מעיניעל טעארעם דערין לויטעט אז אויב אזא סארט גרעף כנ"ל, וואו איך גיי נעמען עני פאר פון אומבאהאפטענע פונקטן און די צאל ליינס באהאפטן צו זיי איז כאטש אזויפיל ווי די איינס ווייניגער ווי צוויי מאל די צאל פונקטן, דאן איז דאס העמילטאָניען.

ולגבי ״שניטן״ איז דא מענגער׳ס טעארעם. דאס לויטעט אז צווישן צוויי פונקטן גייט די מינימום צאל ליינס איך דארף אוועקשניידן כדי עס זאל ווערן אפגעטיילט זיין די מערסטע צאל דרכים עס זענען דא אָנצוקומען פון די ערשטע פונקט צום צווייטע וואס די דרכים אַנהאלטן נישט אין זיך קיין שום אייניגע ליין. דאס זעלבע לויטעט דאס אז די מינימום צאל (אנדערע) פונקטן איך דארף אוועקשניידן כדי אז די צוויי פונקטן זאלן ווערן צוויי אפגעטיילטע גרעפס איז די מערסטע צאל דרכים עס זענען דא אָנצוקומען פון די ערשטע פונקט צום צווייטע וואס די דרכים אַנהאלטן נישט אין זיך קיין שום אייניגע פונקט (כמובן חוץ די עצם צוויי פונקטן אליין).

דר. דיראק האט אויפגעוואוזן אז טאמער זענען די מינימאלע צאל פונקטן וואס מ׳דארף אוועקשניידן כדי עס זאל ווערן צוויי אפגעטיילטע גרעפס 2 אדער מער, דאן פאר יעדעס צאל פונקטן ווי די צאל פונקטן עס פעהלט אויס אוועקצושניידן כדי עס זאל ווערן צוויי אפגעטיילטע גרעפס, איז דא א העמילטאָניען סייקל [וואו מ׳גייט דורך יעדעס פונקט איינמאל דורך אירע ליינס המקשרן און מ׳קומט צוריק אָן צו וואו מ׳האט אָנגעהויבן].
"איך בין אפילו נישט זיכער אז איך עקזיסטיר, ווי אזוי קען איך זיין זיכער אז...?" - יאיר
"אלס וואס איך ווייס איז אז איך ווייס גארנישט (אחוץ דעם עצם פאקט)" - סקראטוס
און אפילו אין דעם בין איך אויך נישט זיכער (וכן הלאה והלאה)
באניצער אוואטאר
מי אני
שריפטשטעלער
שריפטשטעלער
הודעות: 5784
זיך רעגיסטרירט: פרייטאג אקטאבער 05, 2018 4:32 pm
האט שוין געלייקט: 12391 מאל
האט שוין באקומען לייקס: 8057 מאל

לעיסינגס

שליחה דורך מי אני »

אינעם סוגיא פונעם טרעוועלינג סעילסמאן פראבלעם האט דער מאטעמאטיקער דר. בּוּרקאַרד פּאָלסטער אויפגעוואוזן אז די קערצסטע וועג פון בינדן שיך מיט לעיסעס אזוי אז יעדעס לאך אויפ׳ן שיך זאל זיין באהאפטן צו א לאך אויפ׳ן אנדערן זייט (אזא סארט בּייפּאַרטייט גרעף), איז אויב זענען די צאל פארן פון לעכער איִווען דאן איז דאס אזוי ווי א bowtie כזה:
05955E3B-AA46-4CD7-B0F7-FAE552DFAB83.jpeg
און אויב זענען די צאל פארן פון לעכער אַדד דאן איז דאס אזוי ווי איינע פון די (ביי א משל 5 אויף א זייט):
FECBC538-CEA4-443D-B63D-48E9EA9BEF08.jpeg
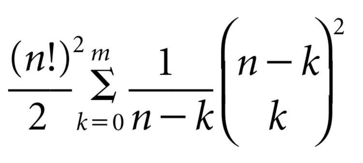
עס קומט אויס אז די צאל לעיסינגס בכלל, נישט קורצסטע, וואס יעדעס נוֺיד/לאך באהעפט זיך צו איינס כנגדה, איז האלב פון די פעקטאָריעל פון וויפיל לעכער עס זענען דא טיימס די פעקטאָריעל פון איינס ווייניגער ווי די צאל. די סומע לעיסינגס עס זענען שייך בכלל איז די סיריִס:
80C9284C-2389-43F0-9AD2-D57CB2F69F6C.jpeg
דאס איז איך הייב אָן פון 0 און איך גיי ביז האלב די צאל לעכער אויב איז די צאל פון פארן איִווען און האלב פון איינס ווייניגער ווי די צאל פארן אויב איז די צאל פארן פון לעכער אַדד. ביי יעדעס נומער ווי איך האלט אינעם סיריִס נעם איך 1 דיוויידעד ביי די צאל לעכער מיינוס די נומער ווי איך האלט, און איך מאָלטיפּליי דאס ביי די סקווער פון די פעקטאָריעל פון די צאל לעכער מיינוס די נומער ווי איך האלט דיוויידעד ביי די פעקטאָריעל פון די נומער ווי איך האלט. דערנאך ווען איך האב די סומע פונעם גאנצע סיריִס, מאָלטיפּליי איך דאס ביי האלב פון די סקווער פונעם פעקטאָריעל פון די צאל לעכער.

***
Sefiroth.jpg
ואגב, האט טאקע דר. סטאניסלאוו זאוויזשלאק דורכגעטוהן די שילוש אין נוצרות עפ"י גרעף טעאריע. וידוע וואס דער שו"ת ריב"ש (סימן קנז) האט אראפגעברענגט די טענת הפילוסופים נגד המקובלים און מחלק געווען צווישן די געדאנק פון ספירות ולהבדיל מאמיני השילוש ע"ש.
"איך בין אפילו נישט זיכער אז איך עקזיסטיר, ווי אזוי קען איך זיין זיכער אז...?" - יאיר
"אלס וואס איך ווייס איז אז איך ווייס גארנישט (אחוץ דעם עצם פאקט)" - סקראטוס
און אפילו אין דעם בין איך אויך נישט זיכער (וכן הלאה והלאה)
באניצער אוואטאר
מי אני
שריפטשטעלער
שריפטשטעלער
הודעות: 5784
זיך רעגיסטרירט: פרייטאג אקטאבער 05, 2018 4:32 pm
האט שוין געלייקט: 12391 מאל
האט שוין באקומען לייקס: 8057 מאל

שליחה דורך מי אני »

לגבי דעם וויץ איבער זאָרנ'ס לעמאַ האב איך געזעהן ווי מאטעמאטיקער רעדן זיך אפ אויפ'ן אויטא-קארעקט:
Zorn.jpg
:D

***

דא טוהט דר. מעטיוּ סקראַגס דורך די געים פון Pac-Man עפ"י גרעף טעאריע און אז ער וועט מוזן איבערגיין אפאר וועגן מער ווי איין מאל (און דאס איז אפילו אויב די שלעכטע בּלאַקן אים נישט) וויבאלד, אזוי ווי ביי די בריקן פון קאניגסבּערג, עס האט אסאך פלעצער וואו עס באהעפט זיך מיט אַן אַדד צאל פון וועגן ארויסצוגיין. דאס איז די גרעף פון דעם געים:
פ1.jpg
פ1.jpg (35.79 KiB) געזען געווארן 709 מאל
"איך בין אפילו נישט זיכער אז איך עקזיסטיר, ווי אזוי קען איך זיין זיכער אז...?" - יאיר
"אלס וואס איך ווייס איז אז איך ווייס גארנישט (אחוץ דעם עצם פאקט)" - סקראטוס
און אפילו אין דעם בין איך אויך נישט זיכער (וכן הלאה והלאה)
באניצער אוואטאר
מי אני
שריפטשטעלער
שריפטשטעלער
הודעות: 5784
זיך רעגיסטרירט: פרייטאג אקטאבער 05, 2018 4:32 pm
האט שוין געלייקט: 12391 מאל
האט שוין באקומען לייקס: 8057 מאל

שליחה דורך מי אני »

דא האב איך צוגעברענגט די 9-פּונקטן פּאָזעל, וועלכע האט א שייכות מיט טרעפן א דרך אויף א גרעף. דאס איז עס זענען אויסגעשטעלט 9 פונקטן/דאַטס ווי א סקווער כזה:
749143A2-7505-416E-980A-D25BAB4EDBB2.jpeg
749143A2-7505-416E-980A-D25BAB4EDBB2.jpeg (39.55 KiB) געזען געווארן 697 מאל
די מטרה איז זיי אלע צו באהעפטן מיט נאר 4 גראדע ליינס.

די תירוץ:
BC27622E-3FCA-426B-A3CB-59BD6E11496E.jpeg
BC27622E-3FCA-426B-A3CB-59BD6E11496E.jpeg (38.97 KiB) געזען געווארן 697 מאל
די געדאנק איז אז מ׳האט נישט געהאט געזאגט אז די ליין מעג נישט גיין ווייטער ווי די גבולים פון דאס קעסטל. ס׳דא וואס זאגן אז פון דא קומט די אויסדרוק ״צו טראכטן אינדרויסן פון די בּאַקס״.

לגבי דעם זאגט דער מאטעמאטיקער ראַבּ איִסטעוועי אז עס גייט אלס זיין א סאלוּשאן וואס דארף נישט ״ארויסגיין פון די בּאַקס״, אויב קען מען נוצן אזויפיל ליניעס ווי 1 ווייניגער ווי צוויי מאל די צאל פונקטן אויף א זייט. אויב איז עס גרויס 4 פונקטן אדער מער דאן איז אויך דא א סאַלוּשאן וואס נוצט 2 ליניעס ווייניגער ווי צוויי מאל די צאל פונקטן אויף א זייט. עס גייט אלעמאל זיין סאלושאנס, עכ״פ צו גיין ״אינדרויסן פונעם בּאַקס״, וואס נוצט 2 ווייניגער ווי צוויי מאל די צאל פונקטן אויף א זייט. לכאורה איז נישט דא קיין שום סאלושאן טאמער קען מען נאר נוצן 3 ליניעס ווייניגער ווי צוויי מאל די צאל פונקטן אויף א זייט.
"איך בין אפילו נישט זיכער אז איך עקזיסטיר, ווי אזוי קען איך זיין זיכער אז...?" - יאיר
"אלס וואס איך ווייס איז אז איך ווייס גארנישט (אחוץ דעם עצם פאקט)" - סקראטוס
און אפילו אין דעם בין איך אויך נישט זיכער (וכן הלאה והלאה)
באניצער אוואטאר
מי אני
שריפטשטעלער
שריפטשטעלער
הודעות: 5784
זיך רעגיסטרירט: פרייטאג אקטאבער 05, 2018 4:32 pm
האט שוין געלייקט: 12391 מאל
האט שוין באקומען לייקס: 8057 מאל

ספּעיס-פיליִנג קוּרווס

שליחה דורך מי אני »

ענליך צו דעם אלעם איז דא די געדאנק פון א ספּעיס-פיליִנג קוּרוו. דאס איז א קאָנטיניוּאָס קוּרוו וואס גייט דורך יעדעס פונקט נאכאנאנד אין א סקווער לעטיס, ואפילו וואו עס איז אַן אינפיניט סקווער לעטיס. עס זענען דא צוויי באקאנטע וועגן ווי אזוי דאס צו שאפן.

די ערשטע איז די פּיִאַנאָ קוּרוו. עס הייבט זיך אָן מיט א סקווער מיט 9 קעסטעלעך און מען מאכט דורך אלע קעסטעלעך דעם קוּרוו/ליין, אזוי ווי אינעם בילד אויפ׳ן לינקן זייט. דערנאך קאפירט מען דאס צו 8 אנדערע סקווערס און מען באהעפט זיי אלע אז חי זאלן ווערן איין גרויס סקווער און אז די קוּרוו/ליין זאל זיין באהאפטן, ווי אינעם בילד אויפ׳ן רעכטן זייט. און אזוי ווייטער און ווייטער.
E023E8C4-DA34-41EB-955C-D941AF2CE14E.jpeg
די צווייטע איז די הילבּערט קוּרוו. דאס איז אז איך הייב אָן מיט א סקווער צוטיילט אין 4 קעסטעלעך און איך מאך דורך זיי אלע א קוּרוו/ליין, אזוי ווי אינעם בילד אויפ׳ן לינקן זייט. דערנאך קאפיר איך דאס צו 3 אנדערע סקווערס און איך באהעפט זיי אלע אזוי ווי אינעם רעכטן זייט פונעם בילד. וכן הלאה והלאה.
59465181-E01B-4560-9499-922E4E74E76D.jpeg
דאס איז א 3D ווערסיע פונעם הילבּערט קוּרוו פונעם ארטיסט הענרי סעגערמאן:
B5236AE2-5C11-4050-86DC-9AA22AB27811.jpeg
"איך בין אפילו נישט זיכער אז איך עקזיסטיר, ווי אזוי קען איך זיין זיכער אז...?" - יאיר
"אלס וואס איך ווייס איז אז איך ווייס גארנישט (אחוץ דעם עצם פאקט)" - סקראטוס
און אפילו אין דעם בין איך אויך נישט זיכער (וכן הלאה והלאה)
באניצער אוואטאר
מי אני
שריפטשטעלער
שריפטשטעלער
הודעות: 5784
זיך רעגיסטרירט: פרייטאג אקטאבער 05, 2018 4:32 pm
האט שוין געלייקט: 12391 מאל
האט שוין באקומען לייקס: 8057 מאל

שליחה דורך מי אני »

"איך בין אפילו נישט זיכער אז איך עקזיסטיר, ווי אזוי קען איך זיין זיכער אז...?" - יאיר
"אלס וואס איך ווייס איז אז איך ווייס גארנישט (אחוץ דעם עצם פאקט)" - סקראטוס
און אפילו אין דעם בין איך אויך נישט זיכער (וכן הלאה והלאה)
באניצער אוואטאר
מי אני
שריפטשטעלער
שריפטשטעלער
הודעות: 5784
זיך רעגיסטרירט: פרייטאג אקטאבער 05, 2018 4:32 pm
האט שוין געלייקט: 12391 מאל
האט שוין באקומען לייקס: 8057 מאל

שליחה דורך מי אני »

עמינדב האט געשריבן:דא איז נישט מיין פלאץ אבער איך וויל דאך וויסן אויב דער פראבלעם העלפט אדער איז נוצבאר אין סיי וואס פארא עריע ערגעץ? למאי נפקה מינה?
די מאטעמאטיקער דר. יוּדזשיניא טשענג זאגט:
we push the usefulness of math for the applications — no offense to applied mathematicians - but that’s not the be-all and end-all. Because it’s about learning how to think. And so when we learn about trigonometry, it’s not because trigonometry is useful. It’s because it’s a training for our brains. And once you present math as a way of thinking, then it becomes important for anyone who cares about thinking. And I would hope that everyone — sometimes it seems like not everyone is thinking. But then anyone who cares about thinking, they then become interested in it in a different way, when they realize it’s not about direct applications. And it’s not about directly solving problems. It’s about learning new ways of using your brain, and learning how to use your brain to get many different points of view on the same thing
דער מאטעמאטיקער דר. דזשאָרדען עלענבערג זאגט די זעלבע.
"איך בין אפילו נישט זיכער אז איך עקזיסטיר, ווי אזוי קען איך זיין זיכער אז...?" - יאיר
"אלס וואס איך ווייס איז אז איך ווייס גארנישט (אחוץ דעם עצם פאקט)" - סקראטוס
און אפילו אין דעם בין איך אויך נישט זיכער (וכן הלאה והלאה)
באניצער אוואטאר
מי אני
שריפטשטעלער
שריפטשטעלער
הודעות: 5784
זיך רעגיסטרירט: פרייטאג אקטאבער 05, 2018 4:32 pm
האט שוין געלייקט: 12391 מאל
האט שוין באקומען לייקס: 8057 מאל

מיענדער

שליחה דורך מי אני »

מענין לענין באותו ענין איז דא די געדאנק פון א מיענדער. דאס איז ווען איך האב א גראדע ליין און איך האב א קוּרוו וואס גייט זיך נישט אליינס דורך, וואס גייט דורך די ליין אַן איִווען סכום פעמים. צוויי מיענדער קוּרווס ווערן גערעכענט דאס זעלבע אויב מיט׳ן זיי דרייען און קוועטשן טוישט עס נישט די פעמים וואס עס גייט דורך די ליין [איר אָרדער] און עס טוישט נישט די סדר אין וועלכע זי גייט דורך די ליין. לדוגמא, דאס איז א מיענדער פון אָרדער 2 [עס גייט דורך 4 מאל די ליין]. אויב פליפּ/דריי איך עס 180⁰ גייט עס דאס זעלבע דאס דורכגיין די ליין 4 מאל און אין די זעלבע סדר; דאן זענען די צוויי די זעלבע מיענדער:
C1B98E8A-C637-4046-8255-FE42BB6BA704.jpeg
עס איז אויך שייך אפענע מיענדערס, וואו עס איז נישט קיין פארמאכטע קוּרוו וואס גייט דורך די ליין.
"איך בין אפילו נישט זיכער אז איך עקזיסטיר, ווי אזוי קען איך זיין זיכער אז...?" - יאיר
"אלס וואס איך ווייס איז אז איך ווייס גארנישט (אחוץ דעם עצם פאקט)" - סקראטוס
און אפילו אין דעם בין איך אויך נישט זיכער (וכן הלאה והלאה)
באניצער אוואטאר
מי אני
שריפטשטעלער
שריפטשטעלער
הודעות: 5784
זיך רעגיסטרירט: פרייטאג אקטאבער 05, 2018 4:32 pm
האט שוין געלייקט: 12391 מאל
האט שוין באקומען לייקס: 8057 מאל

שליחה דורך מי אני »

עמינדב האט געשריבן:דא איז נישט מיין פלאץ אבער איך וויל דאך וויסן אויב דער פראבלעם העלפט אדער איז נוצבאר אין סיי וואס פארא עריע ערגעץ? למאי נפקה מינה?
דר. וויקטאר בּלאַזשאָ זאגט לגבי די היסטאריע פון מאטעמאטיקס, בנוגע די חכמי בבל ומצרים:
I think it’s safe to say that practical need was never the main driver of mathematics that goes even a bit beyond the basics. The Pythagorean Theorem was discovered because people were fascinated by mathematics for its own sake, not because they needed to calculate stuff. The Chinese didn’t need to know the breaking points of bamboos, the Babylonians didn’t need to know the diagonal of a football field with millimeter accuracy. They were fascinated by the power of mathematical reasoning to discover hidden relationships, and that’s why they explored these things

Mathematics was always explored for this reason. Discovering mathematics was like discovering magic. It impresses us as a powerful force that can do incredible things. We want to understand it: How is this possible? What makes this magic tick? It is so unlike anything else we are familiar with, it’s like a portal to a divine realm. We feel a spiritual imperative to understand it
ועיין באשכול זו.

און אז מ׳רעדט שוין:
9ECBCC9B-35E0-4B23-91BA-DF37667332B3.jpeg
"איך בין אפילו נישט זיכער אז איך עקזיסטיר, ווי אזוי קען איך זיין זיכער אז...?" - יאיר
"אלס וואס איך ווייס איז אז איך ווייס גארנישט (אחוץ דעם עצם פאקט)" - סקראטוס
און אפילו אין דעם בין איך אויך נישט זיכער (וכן הלאה והלאה)
באניצער אוואטאר
מי אני
שריפטשטעלער
שריפטשטעלער
הודעות: 5784
זיך רעגיסטרירט: פרייטאג אקטאבער 05, 2018 4:32 pm
האט שוין געלייקט: 12391 מאל
האט שוין באקומען לייקס: 8057 מאל

P vs. NP

שליחה דורך מי אני »

דא האב איך אביסל באשריבן דעם באקאנטן P ווס. NP פראבלעם:
מי אני האט געשריבן:עס איז אינטרעסאנט אנצומערקן דעם P vs. NP פראבלעם. צו (אָווער)סימפליפייען (אין גרויסן...), וואס מ׳וויל וויסן איז צי בעצם יעדעס פראבלעם וואס מ׳קען גרינג מברר זיין לאחר זה וואס מ׳האט שוין אלע information, דהיינו אַן NP פראבלעם, איז בעצם פונקט אזוי ווי [=] א געהעריגע פראבלעם [א P פראבלעם], וואס אויב מ׳האט די ספעציפישע אלגאריטם/סטראטעגיע דאס צו לייזן קען מען בעצם לייזן יעדע סארט פון אזא פראבלעם אפילו בעפאר מ׳ווייסט דעם ענטפער. אויב איז P=NP (וואס רוב מאטעמאטיקער גלייבן אז נישט) דעמאלטס, אין אונזער נידון, איז בעצם דא א וועג [אלגאריטם/סטראטעגיע] ווי אזוי געוואר צו ווערן די פריים פאקטארן פון יעדע נומער (נישט קיין חילוק ווי גרויס) אן דארפן אדורכגיין נומערן איינס נאך איינס וכו׳; אונז ווייסן נאר עס פשוט נאך נישט.

דאס אות P מיינט Polynomial time און האט צוטוהן מיט וואס @פארוואס? האט דערמאנט ווי אזוי מ׳מעסט די שנעלקייט פון אן אלגאריטם.

(איך פארשטיי אז די גאנצע שמועס איז פיל פיל מער קאמפליצירט ווי איך האב עס אראפגעלייגט.)

דאס איז איינע פון די 7 (היינט שוין 6) נישט געלייזטע מאטעמאטיק פראבלעמען וואס די קלעי אינסטיטוט ׳עט געבן $1,000,000 צו דער וואס לייזט עס [P=NP אדער P≠NP].
דא אינעם אשכול האב איך אפאר מאל ערווענט ווי אפאר פון די פראבלעמען זענען ״NP שווער״ (לדוגמא). דאס מער מסביר צו זיין איז ראטזאם מסביר צו זיין דעם געדאנק פון ״NP גאנץ/קאמפּליִט״. דאס איז אז א סעט פון פראבלעמען בתוך NP (וועלכע מ׳קען גרינג וועריפייען נאכדעם וואס מ׳האט א תירוץ צו זעהן צי דאס איז ריכטיג) וועלכע קענען רעדוצירן עני אנדערע פראבלעם בתוך NP צו זיי. מיינענדיג, אויב קען מען ביי דעם ״NP גאנץ/קאמפּליִט״ פראבלעם טרעפן אז דאס איז = צו P, עס איז דא אַן אלגאריטם וואס די צייט צו טרעפן דעם תשובה דערפון, בעפאר מ׳ווייסט דעם תירוץ און מ׳דארף עס נאר מברר זיין כבNP, איז עפ״י א פּאַלינאָמיעל וואס איז א פאָנקשען פונעם פראבלעם, דאן איז יעדעס NP פראבלעם = צו P. אין אנדערע ווערטער, אַן ״NP גאנץ/קאמפּליִט״ פראבלעם איז נאך עניטיים אזוי שווער ווי עני אנדערע NP פראבלעם.

אַן ״NP שווערע״ פראבלעם איז א דרגא ארויף. דאס איז א פראבלעם וואס איז כאטש אזוי שווער ווי אַן ״NP גאנץ/קאמפּליִט״ פראבלעם, און עס איז ניטאמאל זיכער אז דאס האט אַן אלגאריטם/מהלך אויף אפילו צו מברר זיין צי די תשובה צו די פראבלעם איז ריכטיג נאכדעם וואס מ׳האט דאס שוין. ממילא קומט אויך אויס, עפ״י טרענסיטיוויטי, אז אויב איז אַן ״NP שווערע״ פראבלעם = צו P, וואס ״NP גאנץ/קאמפּליִט״ פראבלעמען קענען דאך רעדוצירט ווערן דערצו, וואס יעדעס NP פראבלעם קען רעדוצירט ווערן צו א ״NP גאנץ/קאמפּליִט״ פראבלעם, דאן איז יעדעס NP פראבלעם = צו P.

כמובן, איז יעדעס P פראבלעם אויך NP: אויב איז דא אַן אלגאריטם צו וויסן די תשובה צום שאלה, איז בהכרח דא אַן אלגאריטם צו מברר זיין צי די תשובה איז ריכטיג. העכסטענסט וועט עס זיין אט די זעלבע אלגאריטם.

דער קאמפּיוטער סייענטיסט דר. סקאַט עראנסאן שרייבט לגבי סיבות פארוואס ער גלייבט אז P ≠ NP:
If P = NP, then the world would be a profoundly different place than we usually assume it to be. There would be no special value in “creative leaps,” no fundamental gap between solving a problem and recognizing the solution once it’s found. Everyone who could appreciate a symphony would be Mozart; everyone who could follow a step-by-step argument would be Gauss; everyone who could recognize a good investment strategy would be Warren Buffett
ולגבי דאס ביי גרעף טעאריע שרייבט דער מאטעמאטיקער דר. אנטאני בּאָנאטאָ (בליצנות):
IMG_4512.jpeg
"איך בין אפילו נישט זיכער אז איך עקזיסטיר, ווי אזוי קען איך זיין זיכער אז...?" - יאיר
"אלס וואס איך ווייס איז אז איך ווייס גארנישט (אחוץ דעם עצם פאקט)" - סקראטוס
און אפילו אין דעם בין איך אויך נישט זיכער (וכן הלאה והלאה)
באניצער אוואטאר
מי אני
שריפטשטעלער
שריפטשטעלער
הודעות: 5784
זיך רעגיסטרירט: פרייטאג אקטאבער 05, 2018 4:32 pm
האט שוין געלייקט: 12391 מאל
האט שוין באקומען לייקס: 8057 מאל

שליחה דורך מי אני »

IMG_4658.jpeg
:D
און אז מ׳האט פריער דערמאנט דעם ענין סעט טעאריע:
IMG_4656.jpeg
לגבי די פּאָסטער פון די (צווייטע חלק פון די) פילם עדעפּטעישאן פונעם באקאנטן סייענס פיקשאן קלעסיק.
:D
א סוּפּערסעט באדייט אז ווען איך האב צוויי סעטס און איין סעט איז כולל אלעס וואס עס איז דא אינעם צווייטן (איר סאָבּסעט), דאן איז דאס די סוּפּערסעט פונעם צווייטן.

א יוּניאן איז ווען איך באהעפט צוויי סעטס, עפ״י טאקע די עלעמענטס וואס זיי האבן אייניג. און דאס, וואס זיי זענען אייניג, איז די אינטערסעקשאן פון זיי ביידע. (אין לאגיק איז דאס כעין די & אַפּערעיטאר.)

אַן עפּסילאן נומער (אין סעט טעאריע) איז א סארט אָרדינעל נומער וואס הייבט זיך אָן מיט די סעט פון אָרדינעל נומער, וואו ω ווערט געהעכערט צו אַן עקספּאָנענט פון ω, וואס ווערט דערנאך געהעכערט צו אַן עקספּאָנענט פון ω, אא״וו אא״וו בב״ת. (דאס איז ε₀. סתם אזוי אין מאטעמאטיקס באדייט ε אַן אינפיניטעסימעל.)
"איך בין אפילו נישט זיכער אז איך עקזיסטיר, ווי אזוי קען איך זיין זיכער אז...?" - יאיר
"אלס וואס איך ווייס איז אז איך ווייס גארנישט (אחוץ דעם עצם פאקט)" - סקראטוס
און אפילו אין דעם בין איך אויך נישט זיכער (וכן הלאה והלאה)
באניצער אוואטאר
מי אני
שריפטשטעלער
שריפטשטעלער
הודעות: 5784
זיך רעגיסטרירט: פרייטאג אקטאבער 05, 2018 4:32 pm
האט שוין געלייקט: 12391 מאל
האט שוין באקומען לייקס: 8057 מאל

שליחה דורך מי אני »

בנוגע די שאלה צי P=NP, איז בעת די לעצטיגע פראטעסטן אין א"י קעגן ביבי נתניהו האט א פּראטעסטירער געהאט געשריבן אויף א כביש:
P=NP.jpg
שרייבט איינער, אין א שמועס מיט'ן מאטעמאטיקער דר. גיל קאַלאַי, א מעגליכע כוונה דערין, עפ"י וואס דר. טאמאס סאָוועל האט געשריבן א חילוק אינעם געדאנקענגאנג צווישן קאנסערוואטיוון און פּראגרעסיווס:
Lefties tend to see the world in an optimistic way (unconstrained vision as Sowell describes it). Righties tend to see the world in a more pessimistic way (constrained vision)

P=NP is the ultimate unconstrained vision of our world, that as long as we can potentially understand something, we human beings can figure it out

P ≠ NP is the ultimate constrained vision – we cannot figure out stuff even if the answer is right in front of our face hidden in plain sight

P ≠ NP is you need oracles (i.e., God) to help us figure stuff out. P=NP is we can do it on our own without God
דא רעדט דער קאמפּיוטער סייענטיסט דר. סקאַט ארענסאן דערוועגן. און איינער זאגט אים דארט א פשט:
A "Jewish and democratic" state as declared by Ben Gurion remains the great riddle. We have the feeling it’s impossible but we cannot really prove it wrong
"איך בין אפילו נישט זיכער אז איך עקזיסטיר, ווי אזוי קען איך זיין זיכער אז...?" - יאיר
"אלס וואס איך ווייס איז אז איך ווייס גארנישט (אחוץ דעם עצם פאקט)" - סקראטוס
און אפילו אין דעם בין איך אויך נישט זיכער (וכן הלאה והלאה)
באניצער אוואטאר
מי אני
שריפטשטעלער
שריפטשטעלער
הודעות: 5784
זיך רעגיסטרירט: פרייטאג אקטאבער 05, 2018 4:32 pm
האט שוין געלייקט: 12391 מאל
האט שוין באקומען לייקס: 8057 מאל

שליחה דורך מי אני »

דער מאטעמאטיקער דר. אנטאני בּאָנאַטאָ, וועלכער איז געי, שרייבט:
IMG_4813.jpeg
ולגבי די טענה:
IMG_4811.jpeg
IMG_4812.jpeg
:D

וידוע מה דכתב המו״נ (ח״א פל״ד):
אי אפשר אם כן בהכרח, למי שירצה השלמות האנושי, מבלתי התלמד תחילה במלאכת ההגיון, ואחר כן בלימודיות על הסדר, ואחר כן בטבעיות, ואחר כן באלהיות.
והיינו מעיקרא קומט לאגיק, און דערנאך קומט די ״לימודיות״ וואס דאס זאגט דער אפודי דארט מיינט דעם קוואַדריוויאום, וואס די ערשטע צוויי פון זיי זענען חשבון און דזשיאמעטרי. דערנאך קומט פיזיקס [״טבעיות״] און דערנאך מעטאפיזיקס [״אלהיות״].

***

אז מ׳רעדט שוין האט דער מאטעמאטיקער דר. סטעפאן בּאנאך געזאגט:
A mathematician is a person who can find analogies between theorems; a better mathematician is one who can see analogies between proofs and the best mathematician can notice analogies between theories. One can imagine that the ultimate mathematician is one who can see analogies between analogies
"איך בין אפילו נישט זיכער אז איך עקזיסטיר, ווי אזוי קען איך זיין זיכער אז...?" - יאיר
"אלס וואס איך ווייס איז אז איך ווייס גארנישט (אחוץ דעם עצם פאקט)" - סקראטוס
און אפילו אין דעם בין איך אויך נישט זיכער (וכן הלאה והלאה)
באניצער אוואטאר
מי אני
שריפטשטעלער
שריפטשטעלער
הודעות: 5784
זיך רעגיסטרירט: פרייטאג אקטאבער 05, 2018 4:32 pm
האט שוין געלייקט: 12391 מאל
האט שוין באקומען לייקס: 8057 מאל

שליחה דורך מי אני »

לגבי די געדאנק פונעם P vs NP שאלה, איז מיר געווען אינטרעסאנט צו זעהן ווי דער מאטעמאטיקער דר. אַקשאַי ווענקאַטעש שרייבט בנוגע די מעגליכע השפעות פון AI אויף די פעלד פון מאטעמאטיקס:
human mathematical research is in no danger of being killed. There is a very large gap between the ease of asking a question and the difficulty of answering it; and for a meaningful notion of human research it is sufficient that we understand the questions but cannot solve them readily
ער שרייבט דארט אויך:
It is similarly irrelevant to our current purpose to know whether AI can enter mathematical realms that are essentially beyond our comprehension. We will regard this as the proverbial tree falling in an unpopulated forest, i.e. we are interested only in the effect on humans
"איך בין אפילו נישט זיכער אז איך עקזיסטיר, ווי אזוי קען איך זיין זיכער אז...?" - יאיר
"אלס וואס איך ווייס איז אז איך ווייס גארנישט (אחוץ דעם עצם פאקט)" - סקראטוס
און אפילו אין דעם בין איך אויך נישט זיכער (וכן הלאה והלאה)
באניצער אוואטאר
מי אני
שריפטשטעלער
שריפטשטעלער
הודעות: 5784
זיך רעגיסטרירט: פרייטאג אקטאבער 05, 2018 4:32 pm
האט שוין געלייקט: 12391 מאל
האט שוין באקומען לייקס: 8057 מאל

גאַוּס-בּאָנעיט טעארעם

שליחה דורך מי אני »

לגבי דעם אוילער כאראקטעריסטיק איז דא דעם גאַוּס-בּאָנעיט טעארעם. ווי געזאגט וועט ביי יעדעס 3D שׁעיפּ וואס איז האָמיִאָמאָרפיק צו א ספיר/בּאלי, זיין איר אוילער כאראקטעריסטיק דאס זעלבע ווי 2.

עס קומט אויך אויס אז אויב צונעם איך דעם 3D שׁעיפּ און איך רעכן די ענגולער דיִפעקט וואס איז דא ביי אירע ווערטעסיִס וועט עס זיין דאס זעלבע ביחס צו איר אוילער כאראקטעריסטיק כדלהלן. ענגולער דיִפעקט מיינט אז ווען איך עפען אויף, אדער איך קוק אויף די ענגעל דאס שאפט וואו די צוויי ווערטעסיִס באהעפטן זיך, דאן וויפיל פעהלט מיר ביז 360⁰ אדער אין רעידיענס ביז 2π. דא זעהט מען וואו ביי א קיוּבּ איז די ענגולער דיִפעקט ביי א ווערטעקס 90⁰ שהיא π/2. עס האט דאך 8 ווערטעסיִס איז די גאנצע דערפון 4π.
IMG_4872.jpeg
IMG_4872.jpeg (28.12 KiB) געזען געווארן 520 מאל
ביי א פּיראמיד איז דאס 180⁰ שהיא π, און עס האט 4 ווערטעסיִס איז דאס ווייטער 4π.
IMG_4873.jpeg
IMG_4873.jpeg (20.12 KiB) געזען געווארן 520 מאל
די גאַוּס-בּאָנעיט טעארעם לויטעט אז אויב וועל איך צאמרעכענען אלע ענגולער דיִפעקטס אינעם שׁעיפּ ביי יעדעס ווערטעקס (וואס ביי מער קאמפּליצירטע שׁעיפּס קענען זיי זיין אנדערש ביי אנדערע ווערטעסיִס), און איך וועל דאס מאָלטיפּלייען ביי 2π, וועט דאס אלעמאל אויסקומען צום אוילער כאראקטעריסטיק פון דעם (טאפּאלאגישן) שׁעיפּ.

דאס זאגט אויך אז די טאטאלע קוּרוועטשור פונעם שׁעיפּ, נישט קיין חילוק וויפיל ״זעצעס״ דאס האט, וועט אלס בלייבן דאס זעלבע.
"איך בין אפילו נישט זיכער אז איך עקזיסטיר, ווי אזוי קען איך זיין זיכער אז...?" - יאיר
"אלס וואס איך ווייס איז אז איך ווייס גארנישט (אחוץ דעם עצם פאקט)" - סקראטוס
און אפילו אין דעם בין איך אויך נישט זיכער (וכן הלאה והלאה)
באניצער אוואטאר
מי אני
שריפטשטעלער
שריפטשטעלער
הודעות: 5784
זיך רעגיסטרירט: פרייטאג אקטאבער 05, 2018 4:32 pm
האט שוין געלייקט: 12391 מאל
האט שוין באקומען לייקס: 8057 מאל

קוּראַטאַוּסקי'ס טעארעם

שליחה דורך מי אני »

לגבי פּלענאר גרעפס איז דא קוּראַטאַוּסקי'ס טעארעם. דאס לויטעט אז עס איז אומעגליך אז א פּלענאר גרעף זאל פארמאגן א סאָבּגרעף בתוכה, וואס איז א נייע גרעף פונעם גרויסן גרעף ווען איך נעם אוועק א פונקט און אירע באהאפטענע ליניעס (דאס איז אנדערש פון א קליִק וואס איז קאָמפּליִט און די פונקטן זענען נעבן איינע דעם אנדערן בתוך דעם גרעסערן גרעף), דורך א גרעף האָמאָמאָרפיזם, וואס "גראָדט אויס" און מעפּט איין פונקט (וואס איך קען אוועקנעמען) צום אנדערן, וואס זאל זיין א K5 גרעף, והיינו א קאָמפּליִט גרעף פון 5 פונקטן [א פּענטאגאן] כזה:
K5.jpg
K5.jpg (9.6 KiB) געזען געווארן 506 מאל
אדער א K3,3 גרעף, וואס איז א קאָמפּליִט בּייפּאַרטייט גרעף, וואו יעדעס פון די צוויי חלקים האט 3 פונקטן כזה:
K3,3.jpg
K3,3.jpg (15.88 KiB) געזען געווארן 506 מאל
"איך בין אפילו נישט זיכער אז איך עקזיסטיר, ווי אזוי קען איך זיין זיכער אז...?" - יאיר
"אלס וואס איך ווייס איז אז איך ווייס גארנישט (אחוץ דעם עצם פאקט)" - סקראטוס
און אפילו אין דעם בין איך אויך נישט זיכער (וכן הלאה והלאה)
באניצער אוואטאר
מי אני
שריפטשטעלער
שריפטשטעלער
הודעות: 5784
זיך רעגיסטרירט: פרייטאג אקטאבער 05, 2018 4:32 pm
האט שוין געלייקט: 12391 מאל
האט שוין באקומען לייקס: 8057 מאל

שליחה דורך מי אני »

פילון/ידידיה האלכסנדרוני שרייבט לגבי די עשרת הדברות, אז אונזער דזשיאמעטריקעל רעאליטעט די וועלט באשטייט פון פונקטן (אין 0D), ליניעס (אין 1D), סוּרפעסעס (אין 2D), און סאַלידס (אין 3D). א פונקט האט נאר 1 עדזש, א ליניע 2, א סוּרפעס 3, און א סאַליד 4. צוזאמען איז דאס 10. (ועיין כאן.)
Philo.jpg
"איך בין אפילו נישט זיכער אז איך עקזיסטיר, ווי אזוי קען איך זיין זיכער אז...?" - יאיר
"אלס וואס איך ווייס איז אז איך ווייס גארנישט (אחוץ דעם עצם פאקט)" - סקראטוס
און אפילו אין דעם בין איך אויך נישט זיכער (וכן הלאה והלאה)
באניצער אוואטאר
מי אני
שריפטשטעלער
שריפטשטעלער
הודעות: 5784
זיך רעגיסטרירט: פרייטאג אקטאבער 05, 2018 4:32 pm
האט שוין געלייקט: 12391 מאל
האט שוין באקומען לייקס: 8057 מאל

שליחה דורך מי אני »

בנוגע די אייגענוועליוּס פון אַן עדזשעיסענסי מעיטריקס פון א גרעף, אויב א רעגולארע גרעף׳ס גרעסטע אייגענוועליוּ (און איך רעכען נישט די פון 0, וואס זענען טריוויעל) איז נישט מער ווי 2 מאל די סקווער-רוּט ווי 1 ווייניגער ווי די דעגרי פונעם גרעף (וויפיל ליניעס עס קומען ארויס פון א נוֺיד, וואס וויבאלד עס איז רעגולאר קומט דאך ארויס פון יעדעס נוֺיד די זעלבע דעגרי/צאל ליניעס), דאן איז דאס א ראַמאַנוּזשאַן גרעף. ‏(זיי האבן א שייכות מיט׳ן ריעמאן היפּאטעזיע, עפ״י די איהאַראַ זעטאַ פאָנקשען.)

***

אין אָנהויב פון די לעקציע, זאגט דער מאטעמאטיקער דר. ראַם מורטי אז דאס אויסטרעף פון גרעפס אין מאטעמאטיקס איז געווען אזוי ווי דאס אויסטרעף פונעם נומערעל 0.

***

דר. אנטאני בּאָנאַטאָ דינגט זיך אויף ווי אזוי איך האב אָנגעהויבן דעם אשכול איבער גרעף טעאריע:
IMG_5728.jpeg
ובנוגע דאס וואס דר. בּאָנאַטאָ האט געשפעט פון מאטעמאטיקס, און די חילוק בגדר הוכחות אין פיזיקס און אין מאטעמאטיקס:
Science.jpg
"איך בין אפילו נישט זיכער אז איך עקזיסטיר, ווי אזוי קען איך זיין זיכער אז...?" - יאיר
"אלס וואס איך ווייס איז אז איך ווייס גארנישט (אחוץ דעם עצם פאקט)" - סקראטוס
און אפילו אין דעם בין איך אויך נישט זיכער (וכן הלאה והלאה)
פארשפארט