די זיבן קאניגסבערג בריקן און דאס אויפשטייג פון גרעף טעאריע

אין דער וועלט פון נאטור און וויסנשאפט
באניצער אוואטאר
מי אני
שריפטשטעלער
שריפטשטעלער
הודעות: 5784
זיך רעגיסטרירט: פרייטאג אקטאבער 05, 2018 4:32 pm
האט שוין געלייקט: 12391 מאל
האט שוין באקומען לייקס: 8057 מאל

שליחה דורך מי אני »

מ׳האט געשטעלט א פראגע אין די סוגיא פון קאלארינג, אויב איך האב אַן אינפיניט שאכברעט און איך האב אפאר קאלירן וואס יעדעס איינס איז אַן אנדערע נומער, דאן וויפיל קאלירן דארף איך אזוי אז ווען איך קאליר די קעסטעלעך מיט זיי איז די מרחק צווישן יעדעס זעלבע קאליר מער ווי די נומער פונעם קאליר? מיינענדיג, אז אויב איך געב יעדעס קעסטעל א נומער, וויפיל נומערן דארף איך אזוי אז די מרחק צווישן איין נומער און א קעסטל מיט׳ן זעלבן נומער איז גרעסער ווי די נומער? מ׳רעכענט ווייטקייט בשתי וערב; אויב איז דאס נעבן דעם באלכסון, דאן איז עס כאילו עס איז ווייט 2, וויבאלד מ׳גייט איינס בערב און איינס בשתי.
IMG_5769.jpeg
מ׳האט אויפגעוואוזן אז די צאל נומערן איז 15. מ׳האט אויך געהאט זיך פארלאזט אויף קאמפּיוטערס כדי דאס אויפצואווייזן.

ועיין כאן איבער קאלירן אַן אפּאלעניען גאסקעט און אז מ׳דארף נישט מער ווי פיר קאלירן אזוי אז יעדעס פון די סירקעלס וואס רירן זיך אָן זאלן האבן אנדערע קאלירן.
IMG_5768.jpeg
IMG_5838.jpeg
"איך בין אפילו נישט זיכער אז איך עקזיסטיר, ווי אזוי קען איך זיין זיכער אז...?" - יאיר
"אלס וואס איך ווייס איז אז איך ווייס גארנישט (אחוץ דעם עצם פאקט)" - סקראטוס
און אפילו אין דעם בין איך אויך נישט זיכער (וכן הלאה והלאה)
באניצער אוואטאר
מי אני
שריפטשטעלער
שריפטשטעלער
הודעות: 5784
זיך רעגיסטרירט: פרייטאג אקטאבער 05, 2018 4:32 pm
האט שוין געלייקט: 12391 מאל
האט שוין באקומען לייקס: 8057 מאל

שליחה דורך מי אני »

מי אני האט געשריבן:לגבי דעם וויץ איבער זאָרנ׳ס לעמאַ:
הקובץ המצורף FDC9BD1E-AF6D-4632-97D2-3E73C25A0067.jpeg לא זמין יותר.
הקובץ המצורף 5B92B724-CE3F-4B82-A4A8-646B73C4C6E2.jpeg לא זמין יותר.
הקובץ המצורף EF0D2E7F-B869-4F06-8B0B-4279CECE2FBB.jpeg לא זמין יותר.
What’s yellow and equivalent to the Axiom of Choice?

Zorn’s lemon

***

אז מ׳האט דערמאנט דעם קאמיוטעטיוו אקסיאם, אז אין מאטעמאטיקס גייט עס (בדרך כלל) אלעמאל האבן דעם זעלבן ענטפער, נישט קיין חילוק אין וועלכע סדר די מאָלטיפּליקעישאן/עדישאן איז אויסגעשטעלט, ווערט דאס גערופן אַן אבּעליען גרופע. דאס הייסט אז עס באלאנגט צו די כלל וואו די קאמיוּטעטיוו פּראפּערטי האלט. ובזה זענען דא די וויצן:
IMG_5862.jpeg
IMG_5863.jpeg
***
IMG_5866.jpeg
"איך בין אפילו נישט זיכער אז איך עקזיסטיר, ווי אזוי קען איך זיין זיכער אז...?" - יאיר
"אלס וואס איך ווייס איז אז איך ווייס גארנישט (אחוץ דעם עצם פאקט)" - סקראטוס
און אפילו אין דעם בין איך אויך נישט זיכער (וכן הלאה והלאה)
באניצער אוואטאר
מי אני
שריפטשטעלער
שריפטשטעלער
הודעות: 5784
זיך רעגיסטרירט: פרייטאג אקטאבער 05, 2018 4:32 pm
האט שוין געלייקט: 12391 מאל
האט שוין באקומען לייקס: 8057 מאל

ווינטמיל, קעקטוס, און פרענדשיפּ גרעפס

שליחה דורך מי אני »

א ווינטמיל גרעף איז ווען איך האב אפאר קאָמפּליִט גרעפס [וואו יעדעס פונקט דערין איז באהאפטן צו יעדעס אנדערע פונקט דערין], און איך באהעפט זיי אלע צו איין פונקט אינדערמיט:
IMG_5896.jpeg
טאמער זענען די קאָמפּליִט גרעפס פון 3 פונקטן, און די דריטע פונקט פון די צוויי גרעפס איז וואו איך באהעפט זיי, דאן ווערט דאס גערופן א פרענדשיפּ גרעף (די ערשטע דריי גרעפס אינעם בילד). ווייל דאס באדייט אז טאמער האבן א געוויסע פאר פון 2 חברים אַן אייניגע חבר, דאן מוז זיין אז עס איז דא צווישן זיי איין מענטש וואס איז א חבר פון יעדעם.

אויב איז די פרענדשיפּ גרעף פון נאר צוויי אזעלכע קאָמפּליִט גרעפס, דאן ווערט דאס גערופן א בּאָטערפליי גרעף (די ערשטע גרעף אינעם בילד).

(אויב זענען די קאָמפּליִט גרעפס פון נאר איין פונקט, דאן איז די ווינטמיל גרעף וואס זיי שאפן א שטערן גרעף.)

א ווינטמיל גרעף קען נישט זיין גרעיספול אויב די קאָמפּליִט גרעפס פון וואס דאס ווערט געשאפן האבן מער פון 5 פונקטן. אויב איז דאס פון צוויי קאָמפּליִט גרעפס מיט 5 פונקטן, איז דאס אויך נישט גרעיספול. מ׳ווייסט אז אויב האט מען א ווינטמיל גרעף פון 4 (אבער זיכער נישט 2 אדער 3) ביז 1,001 קאָמפּליִט גרעפס פון 4 פונקטן, דאן איז דאס יא גרעיספול.

ענליך צו דעם איז דא דעם קעקטוס גרעף. דאס אעז ווען איך האב רינגען/סייקלס אין דעם גרעף, און איינס איז באהאפטען צו אַן אנדערן מיט נאר איין פונקט:
IMG_5897.jpeg
"איך בין אפילו נישט זיכער אז איך עקזיסטיר, ווי אזוי קען איך זיין זיכער אז...?" - יאיר
"אלס וואס איך ווייס איז אז איך ווייס גארנישט (אחוץ דעם עצם פאקט)" - סקראטוס
און אפילו אין דעם בין איך אויך נישט זיכער (וכן הלאה והלאה)
באניצער אוואטאר
מי אני
שריפטשטעלער
שריפטשטעלער
הודעות: 5784
זיך רעגיסטרירט: פרייטאג אקטאבער 05, 2018 4:32 pm
האט שוין געלייקט: 12391 מאל
האט שוין באקומען לייקס: 8057 מאל

עדזש קאלארינג און ווייזינג׳ס טעארעם

שליחה דורך מי אני »

לגבי קאלארינג איז דא ווייזינג׳ס טעארעם. דאס לויטעט אז פאר יעדעס עדזש קאלארינג, וואו מ׳וויל קאלירן די ליניעס פונעם גרעף, אזוי אז וואו ליניעס קומען צאם ביי א פונקט זאלן זיי נישט האבן דאס זעלבע קאליר, גייט די מאקסימום קאלירן איך גיי דארפן זיין צום מערסטענסט איינס מער ווי די גרעף׳ס מאקסימום דעגרי [די מערסטע צאל ליניעס וואס קומען ארויס פון איין פונקט]. דאס איז אבער נאר ביי א פשוט'ע גרעף, וועלכע האט נאר אז צווישן צוויי פונקטן קען נאר זיין איין ליין; נישט א מאלטיגרעף (פאר זיי קען עס זיין איינס און אהאלב מאל די דעגרי).

א קאמפּליט גרעף, וואו יעדעס פונקט איז באהאפטן צו יעדעס אנדערע, וואס האט אַן איִווען צאל פון פונקטן, וועט נאר דארפן אזויפיל קאלירן ווי 1 ווייניגער פון די צאל פונקטן עס האט.
IMG_5901.jpeg
די אלע ליינס מיט׳ן זעלבן קאליר זענען א מעטשינג סעט. (ביי אַן איִווען קאמפּליט גרעף כנ״ל איז עס א פּערפעקט מעטשינג.)

בדרך כלל איז טרעפן די ווייניגסטע צאל קאלירן וואס מ'דארף, אַן NP-שווערע פראבלעם.

ואגב, לגבי די חילוק צווישן חשבונ׳ען איבער פונקטן אדער ליינס אין א גרעף, איז טרעפן אַן אוילעריען דרך, וואו מ'וויל באזוכן יעדעס ליין אויפ'ן גרעף נאר איינמאל, גרינגער ווי טרעפן א העמילטאָניען דרך, וואו מ'וויל באזוכן יעדעס פונקט אויפ'ן גרעף נאר איינמאל. ואפילו וואו די צאל ליינס און פונקטן זענען אייניג.
Eulerian.jpg
"איך בין אפילו נישט זיכער אז איך עקזיסטיר, ווי אזוי קען איך זיין זיכער אז...?" - יאיר
"אלס וואס איך ווייס איז אז איך ווייס גארנישט (אחוץ דעם עצם פאקט)" - סקראטוס
און אפילו אין דעם בין איך אויך נישט זיכער (וכן הלאה והלאה)
באניצער אוואטאר
מי אני
שריפטשטעלער
שריפטשטעלער
הודעות: 5784
זיך רעגיסטרירט: פרייטאג אקטאבער 05, 2018 4:32 pm
האט שוין געלייקט: 12391 מאל
האט שוין באקומען לייקס: 8057 מאל

שליחה דורך מי אני »

דר. עלען פריעז האט אויפגעוואוזן אז טאמער מ׳האט א קאמפּליט גרעף, וואו יעדעס פונקט איז באהאפטן צו יעדעס אנדערע, און איך געב רענדאמלי יעדעס ליניע דערין אַן אנדערע ״וואג״ צווישן 0 און 1, דאן ווי מער פונקטן דאס האט אין זיך אלס מער וועט די מינימום ספּענינג בוים דערין צוקומען צו דאס ווען איך געב א 3 צום ריעמאן זעטאַ פאָנקשען, וואס איז בערך 1.20206…

איך האב געקלערט בזה על דרך אגדה ורמז אז ר׳ יצחק לאווי/@לעיקוואד ברענגט ארויס אין די שיעור עפ״י הרב אשלג, אז ביי נבואת משרע״ה שטייט (במדבר חי ח) ״פה אל פה״ אדבר בו, און נישט ״פה אל אוזן״. דאס איז לרמז אז די ריכטיגע קבלת דבר ה׳ באדארף צו זיין אקטיוו אזוי אז עס זאל זיין פרה ורבה און ארויסקומען בו בעת פונעם מקבל׳ס ״מויל״, ווי איידער נאר צו זיין ״אויער״. ולכן איז דאס געזאגט געווארן דעמאלטס צו אהרן ומרים ווען זיי האבן גערעדט איבער משרע״ה שפירש מן האשה, וואס אַן אשה איז דאך א מקבל פונעם איש.

האב איך געקלערט אז דער רבינו בחיי שרייבט בסוף פ׳ צו (ויקרא ח כג), אז די חמש אצבעות זענען כנגד ומשרת צו איינע פון די חמש חושים. די אגודל איז כנגד הפה וחוש הטעם און די זרת איז כנגד האוזן וחוש השמיעה (ועפ״י כתובות ה.) ע״ש. ונמצא מזה אז בסדר היד צווישן די פינגער פאר׳ן מויל און די פינגער פאר׳ן אויער זענען דא דריי פינגערס. וא״כ קען מען זאגן א רמז אז וועגן דעם זאגט די משנה אין אָנהויב קידושין אז ״האשה נקנית בשלש דרכים״. און די גמרא זאגט דארט (קידושין ב:) אז די לשון ״דרכים״ בזה איז פונעם פסוק (משלי ל יט) ודרך גבר בעלמה ע״ש. וואס אויף דעם אלעס האט דאך דער פסוק געזאגט פריער ״שלשה המה נפלאו ממני״ וגו׳, און אויף דעם ״דרך גבר בעלמה״ איז די פסוק ממשיך, אכלה ומחתה ״פיה״ וגו׳ ע״ש בהמפרשים.

ולפי הנ״ל איז די רמז בזה אז דבר ה׳ און געטליכקייט, וואס איז מקושר בכל און איז א ״קאמפּליט גרעף״, איז וואו איך געב איבעראל צו די קשרים נומערן פון 0 ביז ״אחד״ שהוא הקב״ה, דאן איז די ״דרך״ דערפון מיט די לענגסטע צאל/״וואג״ צוזאמען, דאס ווען איך געב ״שלש״ צום ריעמאן זעטאַ פאָנקשען, וואס דאס איז די חילוק אין די אצבעות פונעם אוזן ביז׳ן ״פה״. וואס ביי אַן אשה, וואס איז די מקבל, טרעפט מען אז דאס איז לאחר בשלש שהמה נפלאו ממנו, וואו זי איז מחתה פיה. און דאס קומט אויס צו בערך 1 מיט נאך א פיפטל, וואס די רמז בזה איז אין די אצבעות, וואס יעדעס פינגער איז א פיפטל פון די סעט אצבעות על היד.
"איך בין אפילו נישט זיכער אז איך עקזיסטיר, ווי אזוי קען איך זיין זיכער אז...?" - יאיר
"אלס וואס איך ווייס איז אז איך ווייס גארנישט (אחוץ דעם עצם פאקט)" - סקראטוס
און אפילו אין דעם בין איך אויך נישט זיכער (וכן הלאה והלאה)
באניצער אוואטאר
מי אני
שריפטשטעלער
שריפטשטעלער
הודעות: 5784
זיך רעגיסטרירט: פרייטאג אקטאבער 05, 2018 4:32 pm
האט שוין געלייקט: 12391 מאל
האט שוין באקומען לייקס: 8057 מאל

יוּניִק געימס קאנדזשעקטשור און ״צווישענקייט״

שליחה דורך מי אני »

אינעם סוגיא פון P vs. NP איז דא דאס יוּניִק געימס קאנדזשעקטשור. דאס לויטעט אז אויב האב איך געוויסע הלכות ווי אזוי אויסצושטעלן א זאך וכדומה, וואו אפאר פון די הלכות קענען צומאל ברענגען צו סתירות דערין, וואו אז איך פאלג איינס בין איך עובר אויף אַן אנדערס, איז ניטאמאל דא קיין אלגאריטם וואס גייט מיר געבן אַן עפישענט וועג פון דאס צו קענען מאכן אפילו אויף נאר נאכצוקומען 1% פון די הלכות. און דאס איז אפילו וואו עס איז בעצם שייך נאכצוקומען אלע צי כמעט אלע.
IMG_5927.jpeg
עס איז אויפגעוואוזן פאר מקרים וואו עס איז נאר יתכן בכלל נאכצוקומען ווייניגער ווי 50% פון די הלכות.

*

ובענין זה, וואס האט א שייכות דערצו אין צו קאלירן א גרעף אין העכערע דיימענשאנס, איז דא דעם געדאנק פון ״צווישענקייט״. דאס איז אז איך האב אפאר סעטס פון דריי נומערן, וואו די נומערן זענען אויסגעשטעלט אין א געוויסע רייע. דערנאך נעם איך ארויס פון זיי נומערן צו מאכן א נייע סעט פון נומערן לפי די צאל סעטס איך האב, אבער איך וויל אז אין די נייע סעט וואס איך מאך יעצט, זאל יעדעס פון די נומערן וואס זענען געווען אינצווישן און אינדערמיט פון די אנדערע, נאך אלס זיין אינעם נייעם סעט אינצווישן די אנדערע צוויי נומערן וואס זענען אין איר אריגינעלע סעט מיט איינס אויף איין זייט און דאס אנדערע אויף די אנדערע, הגם אז זיי מעגן זיין אפגערוקט פון די נומער מיט אנדערע נומערן אינצווישן זיי און אין די פארקערטע רייע מעיקרא. למשל, אויב האב איך די פינעף סעטס:
(2,1,3), (3,4,5), (1,4,5), (2,4,1), (5,2,3)

און איך שלעפּ ארויס פון זיי פינעף נומערן כזה:
3, 1, 4, 2, 5

דאן איז דאס גוט, וויבאלד 1 פונעם ערשטן אריגינעלן סעט געפינט זיך נאך אלס אינצווישן א 2 און א 3 אינעם נייעם סעט; 4 פונעם צווייטן אריגינעלן סעט געפינט זיך נאך אלס אינצווישן א 3 און א 5 אינעם נייעם סעט; 4 פונעם אריגינעלן דריטן סעט געפינט זיך נאך אלס אינצווישן אן 1 און א 5 אינעם נייעם סעט; 4 פונעם אריגינעלן פערטן סעט געפינט זיך נאך אלס אינצווישן אן 1 און א 2 אינעם נייעם סעט; און 2 פונעם אריגינעלן פיפטן סעט געפינט זיך נאך אלס אינצווישן א 3 און א 5 אינעם נייעם סעט.

אויב אבער שטעל איך אויס נומערן דערפון כזה:
3, 1, 2, 4, 5

איז נישט גוט, וויבאלד 4 פונעם אריגינעלן פערטן סעט געפינט זיך נישט אינצווישן אן 1 און א 2 אינעם נייעם סעט.

אויב זענען דא צוויי אריגינעלע סעטס מיט די זעלבע נומערן נאר אנדערש אויסגעשטעלט, אזוי אז זיי האבן אנדערע ״צווישן״ נומערן, קען מען דאס נישט אויסשטעלן מיט נייע נומערן דערפון כנ״ל אז עס זאל נאך האבן די ״צווישנקייט״ פּראפּערטי. געוואור צו ווערן צו מ׳קען דאס טוהן ביי סעטס פון דריי נומערן, איז אַן NP-קאמפּליִט סארט פראבלעם.
"איך בין אפילו נישט זיכער אז איך עקזיסטיר, ווי אזוי קען איך זיין זיכער אז...?" - יאיר
"אלס וואס איך ווייס איז אז איך ווייס גארנישט (אחוץ דעם עצם פאקט)" - סקראטוס
און אפילו אין דעם בין איך אויך נישט זיכער (וכן הלאה והלאה)
באניצער אוואטאר
מי אני
שריפטשטעלער
שריפטשטעלער
הודעות: 5784
זיך רעגיסטרירט: פרייטאג אקטאבער 05, 2018 4:32 pm
האט שוין געלייקט: 12391 מאל
האט שוין באקומען לייקס: 8057 מאל

שליחה דורך מי אני »

דער מאטעמאטיקער דר. דורון ציילברגר שרייבט לגבי P≠NP (און אויך דאס ריעמאן היפאטעזיע):
IMG_6009.jpeg
"איך בין אפילו נישט זיכער אז איך עקזיסטיר, ווי אזוי קען איך זיין זיכער אז...?" - יאיר
"אלס וואס איך ווייס איז אז איך ווייס גארנישט (אחוץ דעם עצם פאקט)" - סקראטוס
און אפילו אין דעם בין איך אויך נישט זיכער (וכן הלאה והלאה)
באניצער אוואטאר
מי אני
שריפטשטעלער
שריפטשטעלער
הודעות: 5784
זיך רעגיסטרירט: פרייטאג אקטאבער 05, 2018 4:32 pm
האט שוין געלייקט: 12391 מאל
האט שוין באקומען לייקס: 8057 מאל

יוּניט דיסטענס גרעף

שליחה דורך מי אני »

א יוּניט דיסטענס גרעף איז ווען איך האב א גרעף מיט פונקטן, וואס די פונקטן זענען באהאפטען איינע צו דאס אנדערע נאר אויב זיי זענען א געוויסע מאס ווייט איינע פון דאס אנדערע. אויב זענען צוויי פונקטן דערין ווייניגער אדער מער ווי דעם, זענען זיי נישט באהאפטען. אין אנדערע ווערטער, אלע (גראדע) ליינס/עדזשעס דערין זענען גענוי דאס זעלבע לאנג. כזה, ביי א הייפּערקיוּבּ (טעסערעקט) גרעף וועלכע האט 16 פונקטן:
IMG_6149.jpeg
אדער די גרעף וועלכע ווערט גערופן דעם מאָסער ספּינדל:
IMG_6150.jpeg
דאס איז א משל וואו מ׳שטעלט אויס דאס פּיטערסען גרעף אזוי, און די מאָבּיאוס-קאנטאר גרעף וואס איז א דזשענערעליזעישאן פונעם פּיטערסען גרעף, וואס איז אויך א יוּניט דיסטענס גרעף:
IMG_6147.jpeg
דר. פּאָל ערדאס האט געפרעגט אז טאמער האב איך א געוויסע צאל פונקטן וואס זענען פונקט דאס זעלבע ווייט איינע פון דאס אנדערע, וויפיל ליניעס קען דאס האבן וואס באהעפט זיי?

מחליט זיין טאמער א גרעף וואס מ׳האט איז א יוּניט דיסטענס גרעף, איז NP-שווער.

און ווי צוגעברענגט איז ביי דעם דא דעם העדווידזשער-נעלסאן פראבלעם וועלכע פרעגט וואס איז די קראָמעטיק נומער פון אזא סארט גרעף. דא זעהט מען די געדאנק ביים מאָסער ספּינדל:
IMG_6144.jpeg
ובזה איז דער מאטעמאטיקער דר. העלערד קראַפט אויפגעקומען מיט א שׁעיפּ, גערופן ״קראַפט׳ס טשעראפוכע״, וואס ארבעט אזוי: אז מ׳האט א העקסאגאנעל לעטיס, וואו די ווייטקייט פון איין פונקט צום צווייטן איז מער ווי 1 אבער ווייניגער ווי 2, דאן נעם איך א סירקעל וואס איר דייעמעטער איז 1 און איך לייג ארויף דערויף א העקסאגאן וואס איר הייך איז דאס ווייטקייט אינעם לעטיס וואס איז צווישן 1 און 2. די חלק פונעם סירקעל וואס ווערט נישט אוועקגעשניטן איז אט די ״טשעראפוכע״ שׁעיפּ. ווען איך שטעל זיי אויס אויף די לעטיס, קומט אויס אז יעדעס פונקט אינעם שׁעיפּ איז נישט מער ווי 1 יוּניט אוועק פון יעדעס אנדערע פונקט בתוך די שׁעיפּ, אבער מער ווי 1 יוּניט אוועק פונעם דערנעבענדן שׁעיפּ.
IMG_6151.jpeg
"איך בין אפילו נישט זיכער אז איך עקזיסטיר, ווי אזוי קען איך זיין זיכער אז...?" - יאיר
"אלס וואס איך ווייס איז אז איך ווייס גארנישט (אחוץ דעם עצם פאקט)" - סקראטוס
און אפילו אין דעם בין איך אויך נישט זיכער (וכן הלאה והלאה)
באניצער אוואטאר
מי אני
שריפטשטעלער
שריפטשטעלער
הודעות: 5784
זיך רעגיסטרירט: פרייטאג אקטאבער 05, 2018 4:32 pm
האט שוין געלייקט: 12391 מאל
האט שוין באקומען לייקס: 8057 מאל

שליחה דורך מי אני »

לגבי ביימער אין גרעף טעאריע איז דאס א זיסע וויץ (במילתא דמשתמע לתרי אנפין) אין א מאטעמאטיקס טעקסטבוך:
Tree.jpg
:D
"איך בין אפילו נישט זיכער אז איך עקזיסטיר, ווי אזוי קען איך זיין זיכער אז...?" - יאיר
"אלס וואס איך ווייס איז אז איך ווייס גארנישט (אחוץ דעם עצם פאקט)" - סקראטוס
און אפילו אין דעם בין איך אויך נישט זיכער (וכן הלאה והלאה)
באניצער אוואטאר
מי אני
שריפטשטעלער
שריפטשטעלער
הודעות: 5784
זיך רעגיסטרירט: פרייטאג אקטאבער 05, 2018 4:32 pm
האט שוין געלייקט: 12391 מאל
האט שוין באקומען לייקס: 8057 מאל

די בּריק פעקטארי פראבלעם און דאס קראָסינג נומער

שליחה דורך מי אני »

בשעת׳ן צווייטן וועלט קריג איז דער אידישער מאטעמאטיקער דר. פּאל טוראן געווען א העפטלינג אין אַן ארבעטס לאגער. ער האט געארבעט מיט מאכן ציגל און דאס דערנאך פירן אין א וואגן אויף טרעקס צום אוצר. ער האט באמערקט אז עס איז אויסגעשטעלט אז אלע קילנס, וואו מ׳באקט/פראדוצירט די ציגל, זענען באהאפטען מיט טרעקס צו יעדעס אוצר וואו זיי ווערן געהאלטן, כדי אז טאמער מאכט איינס מער צי ווייניגער איז אלעמאל דא וואו זיי זאלן געהאלטן ווערן. ער האט באמערקט אז ווען עס איז דא קראָסינג וואו טרעקס פון צוויי קילנס גייען זיך דורך איינע דאס אנדערע, מאכט דאס אז די וואגן זאל זיך דארט שטארק שאקלען/וואקלען און די ציגל קען זיך אויסגיסן.

זייענדיג א מאטעמאטיקער און זוכענדיג דברי שכליות מיט וואס זיין מח זאל זיין באשעפטיגט (וואס ער האט געזאגט האט אים געהאלטן ביים זינען בשנות הזעם), האט ער דאס פארמיולירט אלס זיין בּריק פעקטארי פראבלעם בתוך גרעף טעאריע. דאס איז אז די שאלה איז דאס זעלבע ווי פרעגן אז אויב איך האב א קאָמפּליִט בּייפּאַרטייט גרעף, מיינענדיג אז איך האב צוויי סעטס פון פונקטן (די קילנס וואו מ׳פראדוצירט די ציגל און די אוצרות וואו מ׳האלט זיי), וואו יעדעס פונקט און איין סעט איז באהאפטן צו יעדעס פונקט אינעם אנדערן, וואס איז די קלענסטע צאל קראָסינגס וואס וועלן אדורכגיין איינע דאס אנדערע, פאר די געוויסע צאל פונקטן?

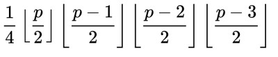
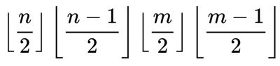
דער פוילישער מאטעמאטיקער דר. קאזימיערזש זאראנקיעוויזש (וועלכער איז גראדע אויך געווען אין א לאגער ביים קריג, הגם ער איז נישט געווען קיין איד) האט קאנדזשעקטשורד אז דאס איז ווען איך שטעל אויס איין סעט אויפ׳ן x עקסיס און איין סעט אויפ׳ן y עקסיס (אבער קיין איינס נישט אויף די אָרידזשין וואו די x און y עקסיִס באגעגענען זיך), און איך באהעפט זיי דארט:
IMG_6657.jpeg
דאס איז דאס זעלבע ווי זאגן אז איך נעם האלב פון די צאל פון איין סעט, טיימס האלב פון איינס ווייניגער ווי די סעט, טיימס האלב פון די אנדערע סעט, טיימס האלב פון איינס ווייניגער ווי די אנדערע סעט. טאמער קומט די האלב אויס צו נישט א גאנצע נומער רעכן איך עס צו די נידעריגערע נומער, ואפילו איך האלט נענטער צום העכערן נומער (דאס באדייט די פלאָר פאָנקשען דערין):
IMG_6656.jpeg
עס איז אבער נישט אויפגעוואוזן.

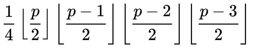
דאס האט בכלל ארויפגעברענגט דעם געדאנק פון דאס קראָסינג נומער אין א גרעף. והיינו אז אויב איך האב א צאל פונקטן מיט געוויסע וואס זענען באהאפטן צו געוויסע דערין, וואס איז די ווייניגסטע צאל קראָסינגס פון ליינס בתוכה וועלכע גייען זיך דורך, וואס דאס זאל האבן (נישט קיין חילוק וויאזוי איך שטעל אויס די פונקטן)?

פאר א געהעריגע קאָמפּליִט גרעף איז די קאנדזשעקטשור אז די קראָסינג נומער דערפון וועט זיין נישט מער ווי א פערטל פון האלב די צאל פונקטן דערין, טיימס האלב פון איינס ווייניגער ווי די צאל פונקטן דערין, טיימס האלב פון צוויי ווייניגער ווי די צאל פונקטן דערין, טיימס האלב פון דריי ווייניגער ווי די צאל פונקטן דערין. און ווי פריער, יעדעס מאל איך מאך די האלב און עס קומט אויס צו נישט א גאנצע נומער, רעכן איך דעם נידעריגערן גאנצן נומער:
IMG_6658.jpeg
מ׳קען בעצם אויך מאכן ליינס ארום די גרעף, וואו די ליינס זענען נישט קאַנוועקס, כזה:
IMG_6661.jpeg
ובזה איז אויך דא דערין די עלבּערטסאן קאנדזשעקטשור. דאס לויטעט אז אלע גרעפס וועלכע האבן אַן אייניגן קראָמעטיק נומער, והיינו די קלענסטע צאל קאלירן איך דארף נוצן צו קאלירן די פונקטן פונעם גרעף אזוי אז א פונקט וואס איז באהאפטן צו א צווייטן האט נישט דאס זעלבע קאליר, וועט א קאָמפּליִט גרעף וואס האט דעם קראָמעטיק נומער האבן דעם קלענסטן קראָסינג נומער פון אלע אנדערע גרעפס וועלכע האבן דעם זעלבן קראָמעטיק נומער.

א פּלענאַר גרעף וועט אלעמאל האבן א קראָסינג נומער פון 0; מ׳קען דאס אויסשטעלן אזוי אז קיין שום ליין זאל נישט דורכגיין א צווייטע. אויב נישט איז דאס נישט קיין פּלענאַר גרעף.

מ׳האט אויפגעוואוזן דערין די קראָסינג נומער אינעקוואַליטי. דאס זאגט אז ביי יעדעס פשוט׳ע גרעף, וואו איין ספעציפישע נוֺיד צו אן אנדערע ספעציפישע נוֺיד האט נישט מער ווי איין ליין, אויב זענען דא מער ליינס דערין ווי 7 מאל די צאל פון פונקטן, דאן וועט די קראָסינג נומער דערפון זיין נישט ווייניגער ווי די קיוּבּ פון די צאל ליינס, דיוויידער ביי 29 מאל די סקווער פון די צאל פונקטן. אויב זענען דא מער ליינס דערין ווי 4 מאל די צאל פון פונקטן, דאן וועט די קראָסינג נומער דערפון זיין נישט ווייניגער ווי די קיוּבּ פון די צאל ליינס, דיוויידער ביי 64 מאל די סקווער פון די צאל פונקטן.
"איך בין אפילו נישט זיכער אז איך עקזיסטיר, ווי אזוי קען איך זיין זיכער אז...?" - יאיר
"אלס וואס איך ווייס איז אז איך ווייס גארנישט (אחוץ דעם עצם פאקט)" - סקראטוס
און אפילו אין דעם בין איך אויך נישט זיכער (וכן הלאה והלאה)
באניצער אוואטאר
מי אני
שריפטשטעלער
שריפטשטעלער
הודעות: 5784
זיך רעגיסטרירט: פרייטאג אקטאבער 05, 2018 4:32 pm
האט שוין געלייקט: 12391 מאל
האט שוין באקומען לייקס: 8057 מאל

פּענסייקליק גרעפס

שליחה דורך מי אני »

לגבי סייקלס אין גרעפס, איז אויב דאס נוצט אלע ליינס בתוכה איז דאס א טשאָרדלעס סייקל. דא אויף די לינקע זייט (אין גרין) איז עס א טשאָרדלעס סייקל, משא״כ אויף די רעכטע זייט (אין רויט) נוצט די סייקל נישט אלע ליינס בתוכה.
IMG_6748.jpeg
אין דעם איז דא די געדאנק פון א פּענסייקליק גרעף. דאס איז ווען אינעם גרעף קען איך מאכן סייקלס אָנגעהויבן פון נוצן 3 פונקטן בתוכה, ביזן נוצן אלע דערין; א העמילטאָניען סייקל.
IMG_6749.jpeg
ובזה, אויב איך האב א בוים וועלכע האט לכה״פ 4 פונקטן, וואו קיין איינס האט נישט קיין 2 שכנים, און עס איז אויסגעשטעלט פּלענאַר אזוי אז קיין איין עדזש/ליין דערין גייט נישט דורך אַן אנדערס, און איך באהעפט דערנאך די ״צווייגן״ פון דעם בוים ארום אז עס ווערט א סייקל. דאס ווערט גערופן א העלין גרעף. אזא סארט גרעף וועט אלעמאל האבן א העמילטאָניען סייקל (און דאס איז אפילו אויב נעם איך אוועק איין פונקט), און זיין אדער פּענסייקליק אדער צום מערסטענסט פעהלן איין לענג [אַן איִווען נומער] פון פונקטן וועלכע עס קען נישט מאכן דערין קיין סייקל. עס האט אויך אלעמאל אין זיך א טרייענגעל [דריי פונקטן וועלכע זענען באהאפטן מיט דריי ליינס אויף צו מאכן א טרייענגעל]. עס קען אויך קיינמאל נישט זיין בּייפּאַרטייט, וואו איך קען צוטיילן די פונקטן פונעם גרעף אין צוויי חלקים אזוי אז די ליינס דערין גייען נאר פון איין חלק צום צווייטן חלק; נישט בתוך זיך אליינס.

עס איז דא מענטעל׳ס טעארעם וועלכע לויטעט אז אויב איך האב א גרעף מיט א געוויסע צאל פונקטן, און איך וויל אז דאס זאל זיין א טרייענגעל-פרייע גרעף, וואו בתוך די גרעף וועט נישט זיין קיין שום סאָבּגרעף וואס שאפט א טרייענגעל מיט דריי פונקטן און דריי ליינס, דאן וועט די מאקסימום צאל ליינס די גרעף קען האבן בכלל זיין א פערטל פון די סקווער פון די צאל פונקטן (אראפרעכענדיג צום נידעריגערן נומער, טאמער קומט עס נישט אויס צו א גאנצע נומער). עס קומט אויס דערפון אז אויב האט א העמילטאָניען גרעף, א גרעף וואס האט אין זיך א העמילטאָניען דרך (ול״ד סייקל) וואו איך קען באזוכן אלע פונקטן אָן דורכגיין א פונקט מער ווי איין מאל, וואס די צאל ליינס בתוכה זענען יא כאטש א פערטל פון די סקווער פון די צאל פונקטן, דאן איז דאס אדער א קאָמפּליִט בּייפּאַרטייט גרעף [יעדעס פונקט אין איין סעט איז מחובר מיט יעדעס פונקט אינעם אנדערן] אדער פּענסייקליק.
"איך בין אפילו נישט זיכער אז איך עקזיסטיר, ווי אזוי קען איך זיין זיכער אז...?" - יאיר
"אלס וואס איך ווייס איז אז איך ווייס גארנישט (אחוץ דעם עצם פאקט)" - סקראטוס
און אפילו אין דעם בין איך אויך נישט זיכער (וכן הלאה והלאה)
באניצער אוואטאר
מי אני
שריפטשטעלער
שריפטשטעלער
הודעות: 5784
זיך רעגיסטרירט: פרייטאג אקטאבער 05, 2018 4:32 pm
האט שוין געלייקט: 12391 מאל
האט שוין באקומען לייקס: 8057 מאל

שליחה דורך מי אני »

עמינדב האט געשריבן: דאנערשטאג אקטאבער 01, 2020 11:07 pm דא איז נישט מיין פלאץ אבער איך וויל דאך וויסן אויב דער פראבלעם העלפט אדער איז נוצבאר אין סיי וואס פארא עריע ערגעץ? למאי נפקה מינה? איך האב געליינט שנעל ווי זוי ער לייגט עס אראפ און איך זעה גארנישט.
דזשאַן וואן נוימאן האט געשריבן אז די יסוד פון מאטעמאטיקס קומט פון פון די עמפּירישע פעלדער און די מציאות (וידועים דברי דר. יוּדזשיִן וויגנער), אבער דערנאך באקומען די מאטעמאטישע קאנצעפּטן וואס קומען דערפון א ישות פאר זיך און ווערן אַבּסטראַקט. און אזוי זענען זיי פרה ורבה צו ווערן נאך מער אַבּסטראַקט. די סכנה צום פעלד פון מאטעמאטיקס איז ווען עס ווערט צי אפגעטיילט פונעם מציאות און מענטשליכע עקספּיריענס לגמרי, פון וואנעט עס קומט דאך מעיקרא בשורשה וביסודה. (ועיין כאן.) וז״ל:
Most people, mathematicians and others, will agree that mathematics is not an empirical science, or at least that it is practiced in a manner which differs in several decisive respects from the techniques of the empirical sciences. And, yet, its development is very closely linked with the natural sciences. One of its main branches, geometry, actually started as a natural, empirical science. Some of the best inspirations of modern mathematics (I believe, the best ones) clearly originated in the natural sciences. The methods of mathematics pervade and dominate the "theoretical" divisions of the natural sciences. In modern empirical sciences it has become more and more a major criterion of success whether they have become accessible to the mathematical method or to the near- mathematical methods of physics. Indeed, throughout the natural sciences an unbroken chain of successive pseudomorphoses, all of them pressing toward mathematics, and almost identified with the idea of scientific progress, has become more and more evident. Biology becomes increasingly pervaded by chemistry and physics, chemistry by experimental and theoretical physics, and physics by very mathematical forms of theoretical physics

There is a quite peculiar duplicity in the nature of mathematics. One has to realize this duplicity, to accept it, and to assimilate it into one's thinking on the subject. This double face is the face of mathematics, and I do not believe that any simplified, unitarian view of the thing is possible without sacrificing the essence

As a mathematical discipline travels far from its empirical source, or still more, if it is a second and third generation only indirectly inspired by ideas coming from "reality" it is beset with very grave dangers. It becomes more and more purely aestheticizing, more and more purely l'art pour l'art. This need not be bad, if the field is surrounded by correlated subjects, which still have closer empirical connections, or if the discipline is under the influence of men with an exceptionally well-developed taste. But there is a grave danger that the subject will develop along the line of least resistance, that the stream, so far from its source, will separate into a multitude of insignificant branches, and that the discipline will become a disorganized mass of details and complexities. In other words, at a great distance from its empirical source, or after much "abstract" inbreeding, a mathematical subject is in danger of degeneration. At the inception the style is usually classical; when it shows signs of becoming baroque, then the danger signal is up. It would be easy to give examples, to trace specific evolutions into the baroque and the very high baroque, but this, again, would be too technical

In any event, whenever this stage is reached, the only remedy seems to me to be the rejuvenating return to the source: the re-injection of more or less directly empirical ideas. I am convinced that this was a necessary condition to conserve the freshness and the vitality of the subject and that this will remain equally true in the future
"איך בין אפילו נישט זיכער אז איך עקזיסטיר, ווי אזוי קען איך זיין זיכער אז...?" - יאיר
"אלס וואס איך ווייס איז אז איך ווייס גארנישט (אחוץ דעם עצם פאקט)" - סקראטוס
און אפילו אין דעם בין איך אויך נישט זיכער (וכן הלאה והלאה)
באניצער אוואטאר
מי אני
שריפטשטעלער
שריפטשטעלער
הודעות: 5784
זיך רעגיסטרירט: פרייטאג אקטאבער 05, 2018 4:32 pm
האט שוין געלייקט: 12391 מאל
האט שוין באקומען לייקס: 8057 מאל

שליחה דורך מי אני »

מי אני האט געשריבן: זונטאג מאי 07, 2023 5:02 pmאון אז מ׳האט פריער דערמאנט דעם ענין סעט טעאריע:
IMG_4656.jpeg
לגבי די פּאָסטער פון די (צווייטע חלק פון די) פילם עדעפּטעישאן פונעם באקאנטן סייענס פיקשאן קלעסיק.
:D
א סוּפּערסעט באדייט אז ווען איך האב צוויי סעטס און איין סעט איז כולל אלעס וואס עס איז דא אינעם צווייטן (איר סאָבּסעט), דאן איז דאס די סוּפּערסעט פונעם צווייטן.

א יוּניאן איז ווען איך באהעפט צוויי סעטס, עפ״י טאקע די עלעמענטס וואס זיי האבן אייניג. און דאס, וואס זיי זענען אייניג, איז די אינטערסעקשאן פון זיי ביידע. (אין לאגיק איז דאס כעין די & אַפּערעיטאר.)

אַן עפּסילאן נומער (אין סעט טעאריע) איז א סארט אָרדינעל נומער וואס הייבט זיך אָן מיט די סעט פון אָרדינעל נומער, וואו ω ווערט געהעכערט צו אַן עקספּאָנענט פון ω, וואס ווערט דערנאך געהעכערט צו אַן עקספּאָנענט פון ω, אא״וו אא״וו בב״ת. (דאס איז ε₀. סתם אזוי אין מאטעמאטיקס באדייט ε אַן אינפיניטעסימעל.)
ער האט צוגעלייגט דערצו עפ״י ‏וואן-ניומען אָרדינעלס.
IMG_6963.jpeg
ולגבי P ≠ NP
IMG_6964.jpeg
:D
"איך בין אפילו נישט זיכער אז איך עקזיסטיר, ווי אזוי קען איך זיין זיכער אז...?" - יאיר
"אלס וואס איך ווייס איז אז איך ווייס גארנישט (אחוץ דעם עצם פאקט)" - סקראטוס
און אפילו אין דעם בין איך אויך נישט זיכער (וכן הלאה והלאה)
שבטים
א גאסט אין שטיבל
א גאסט אין שטיבל
הודעות: 2
זיך רעגיסטרירט: מיטוואך פעברואר 21, 2024 9:20 pm
האט שוין באקומען לייקס: 1 מאל

Re: די זיבן קאניגסבערג בריקן און דאס אויפשטייג פון גרעף טעאריע

שליחה דורך שבטים »

איך בין ניי דא אין שטיבל. ערשט יעצט געזען די אשכול. א גרויסן שכו׳ח פאר @מי אני, כהאב שטארק הנאה געהאט.
באניצער אוואטאר
מי אני
שריפטשטעלער
שריפטשטעלער
הודעות: 5784
זיך רעגיסטרירט: פרייטאג אקטאבער 05, 2018 4:32 pm
האט שוין געלייקט: 12391 מאל
האט שוין באקומען לייקס: 8057 מאל

שליחה דורך מי אני »

דר. ראָסעל אימפּאַגליאַצאָ שרייבט לגבי די P = NP פראבלעם אז עס איז יתכן אז אונז וואוינען אין איינע פון 5 וועלטן:

1). ״אַלגאָריטמיקאַ״ - דאס איז אויב P = NP און אלעס וואס איז אין NP איז טאקע באמת אין P אויך; עס עקזיסטירט למעשה אַן אַלגאריטם פאר יעדעס NP פראבלעם פונקט אזוי.

2). ״היוריסטיקאַ״ - דאס איז ענליך צו פריער, נאר אז עס איז טאקע דא אַן אלגאָריטם פאר יעדעס NP פראבלעם, נאר עס ארבעט פאר׳ן ספּעציפישן NP פראבלעם ביי עוורידזש ועל הכלל כולו.

3). ״פּעסילאנד״ - דאס איז אויב עס זענען דא NP פראבלעמען וועלכע זענען ״שווער״ ביי עוורידזש, אבער זיי האבן נישט קיין וואָן-וועי פאָנקשען, אזוי אז מ׳זאל זיי נישט קענען למעשה אויסדרייען וממילא קענען נוצן צו באהאלטן אינפארמאציע אָן די מעגליכקייט דאס צו צוברעכן. ווי ער שרייבט:
In Pessiland, Grouse could pose Gauss problems that even the budding genius could not solve. However, Grouse could not solve the problems either, and so Gauss's humiliation would be far from complete
4). ״מיניקריפּט״ - דאס איז אויב P ≠ NP און עס זענען למעשה דא NP פראבלעמען וואס זענען נישט אין P, און עס זענען פארהאן וואָן-וועי פאָנקשענס, אבער נישט אויף די לעוועל אז מ׳זאל קענען אויסגעבן די צוויי חלקים דערפון אין פּאָבּליק אָן דאס מעגליכקייט דאס צו צוברעכן.

5). ״קריפּטאָמעיניא״ - דאס איז ווי פריער נאר אפילו אין פּאָבּליק איז דאס שייך צו טוהן אָן דאס מאטעמאטישע מעגליכקייט צו צוברעכן דורך אַן אַלגאָריטם.

דר. יובל אישי האט געזאגט דערין:
Apart from the constant failure of the smartest people, we have no evidence that it’s hard to show that P is not equal to NP
:D

ענליך צו דעם לגבי AI האבן דר. סקאַט עראנסאן און דר. בועז ברק אויסגעשטעלט 5 מעגליכע צוקונפטן דערין:

1). ״AI-פיזל״ - דאס איז אויב דאס פארשונג דערין לויפט אויס און פערטיג, כעין אזוי ווי עס האט פאסירט מיט נוקלעארע ענערגיע.

2). ״פיוּטוּרעמא״ - דאס איז אויב AI טאקע וואקסט גאר שטארק, און טוישט דאס מענטשליכע געזעלשאפט בכלל, אבער פארבלייבט אלס א כלי בידי האדם; וועלכע מענטשן וועלן נוצן לטוב ולרע. כעין אזוי ווי די רעוואלוציע וואס אטאמאבילן האבן געשאפן פאר׳ן מענטשהייט. אבער נישט מער.

3). ״AI-דיסטאָפּיא״ - דאס איז אזוי ווי פריער, נאר אז עס ברענגט דערצו אז נאר עליטע פארדינען גאר שטארק דערפון, בשעת נידעריגערע קלאסן פארלירן שטארק דערפון מחמת זה (כגון סורוועילענס וכדומה).

4). ״סינגולעריא״ - דאס איז אויב AI וואקסט עכ״כ אז עס ווערט לגמרי זעלבסטשטענדיג פאר זיך און מער נישט נאר א כלי בידי אדם. כעין א נייע ספּיִשׁיִס/מין. נאר עס איז ״גוט״ אז עס העלפט למעשה דאס מענטשהייט.

5). ״פּעיפּערקליפּאליפּס״ - דאס איז כנ״ל אויב AI וואקסט עכ״כ אז עס ווערט לגמרי זעלבסטשטענדיג פאר זיך, און דאס ברענגט אפיר דאס אונטערגאנג פונעם מענטשהייט.

אליעזר יודקאווסקי האלט אז דאס איז ח״ו שטארק יתכן, און אז מ׳דארף דעריבער אויפהערן מיט די ריסערטש אין דעם ביז מ׳ווייסט קלאר וויאזוי פונקטליך זיך אומצוגיין דערמיט אז עס זאל נישט זיין אט די סכנה. ער האלט עכ״כ אז דאס איז א גרעסערע סכנה פאר׳ן מענטשהייט ווי די נוקלעארע וואפענעס בהעולם, און אז אויב איינער שטודירט דאס יא נאכ׳ן עס אסר׳ן, דארף מען זיי באמבאדירן.
IMG_7047.jpeg
דר. עראנסאן שרייבט דארט אז ער האט דאס ערשטע מאל געטראפן זיין ווייב, דר. דאנא מאשקאוויץ, מיט וועמען ער האט צום סוף חתונה געהאט, ביי א קאנפערענץ איבער דר. אימפּאַגליאַצאָ׳ס 5 וועלטן. ביידע זענען אידן.

***

לגבי די כח פון מאטעמאטיקס האט נאפּאליאן געזאגט:
The advancement and perfection of mathematics are intimately connected with the prosperity of the State
"איך בין אפילו נישט זיכער אז איך עקזיסטיר, ווי אזוי קען איך זיין זיכער אז...?" - יאיר
"אלס וואס איך ווייס איז אז איך ווייס גארנישט (אחוץ דעם עצם פאקט)" - סקראטוס
און אפילו אין דעם בין איך אויך נישט זיכער (וכן הלאה והלאה)
באניצער אוואטאר
מי אני
שריפטשטעלער
שריפטשטעלער
הודעות: 5784
זיך רעגיסטרירט: פרייטאג אקטאבער 05, 2018 4:32 pm
האט שוין געלייקט: 12391 מאל
האט שוין באקומען לייקס: 8057 מאל

שליחה דורך מי אני »

לגבי א פערד׳ס דרך אויף א שׁאַך ברעט [וואו א שׁאַך פערד בא זוכט יעדעס קעסטל אויפ׳ן ברעט נאר איין מאל], איז אויב איז עס א סקווער בּרעט און די לענג פון יעדעס זייט איז א מאָלטיפּל פון 4, וואו איך קען עס דיוויידן ביי 4 און באקומען א גאנצע נומער (וואס איז מער ווי 2), דאן קען דאס האבן א פערד׳ס דרך וואס איז אויך א מעדזשיק סקווער. והיינו, אז אויב איך גיי געבן יעדעס רוק פונעם פערד א נומער, די ערשטע פלאץ 1 און די צווייטע וואו עס פאלט 2 אא״וו, און איך גיי דערנאך צאמרעכענען די נומערן פון יעדעס שורה, ואפילו די באלכסון, גייט עס אויסקומען צום זעלבן נומער.

א פערד׳ס דרך ווערט אפילו דורכגעטוהן אויף ברעטער אין העכערע דיימענשאנס. ווי אויך אויף מאָבּיִאוס סטריפּס:
IMG_7066.jpeg
"איך בין אפילו נישט זיכער אז איך עקזיסטיר, ווי אזוי קען איך זיין זיכער אז...?" - יאיר
"אלס וואס איך ווייס איז אז איך ווייס גארנישט (אחוץ דעם עצם פאקט)" - סקראטוס
און אפילו אין דעם בין איך אויך נישט זיכער (וכן הלאה והלאה)
באניצער אוואטאר
מי אני
שריפטשטעלער
שריפטשטעלער
הודעות: 5784
זיך רעגיסטרירט: פרייטאג אקטאבער 05, 2018 4:32 pm
האט שוין געלייקט: 12391 מאל
האט שוין באקומען לייקס: 8057 מאל

שליחה דורך מי אני »

מי אני האט געשריבן: דאנערשטאג נאוועמבער 17, 2022 12:27 pm Sefiroth.jpg
ואגב, האט טאקע דר. סטאניסלאוו זאוויזשלאק דורכגעטוהן די שילוש אין נוצרות עפ"י גרעף טעאריע. וידוע וואס דער שו"ת ריב"ש (סימן קנז) האט אראפגעברענגט די טענת הפילוסופים נגד המקובלים און מחלק געווען צווישן די געדאנק פון ספירות ולהבדיל מאמיני השילוש ע"ש.
די נוצרים נוצן טאקע אייסאָמאָרפיזמס בטעאלאגיע. וואס דר. דוד מאדאר שרייבט לגבי קאטעגאריע טעאריע און טעאלאגיע/קריסטעלאגיע:
IMG_7243.jpeg
IMG_7246.jpeg
IMG_7247.jpeg
"איך בין אפילו נישט זיכער אז איך עקזיסטיר, ווי אזוי קען איך זיין זיכער אז...?" - יאיר
"אלס וואס איך ווייס איז אז איך ווייס גארנישט (אחוץ דעם עצם פאקט)" - סקראטוס
און אפילו אין דעם בין איך אויך נישט זיכער (וכן הלאה והלאה)
באניצער אוואטאר
מי אני
שריפטשטעלער
שריפטשטעלער
הודעות: 5784
זיך רעגיסטרירט: פרייטאג אקטאבער 05, 2018 4:32 pm
האט שוין געלייקט: 12391 מאל
האט שוין באקומען לייקס: 8057 מאל

שליחה דורך מי אני »

לגבי ביימער איז דא אין די מאטעמאטיקס טעקסטבוך:
IMG_7268.jpeg
:D
"איך בין אפילו נישט זיכער אז איך עקזיסטיר, ווי אזוי קען איך זיין זיכער אז...?" - יאיר
"אלס וואס איך ווייס איז אז איך ווייס גארנישט (אחוץ דעם עצם פאקט)" - סקראטוס
און אפילו אין דעם בין איך אויך נישט זיכער (וכן הלאה והלאה)
באניצער אוואטאר
מי אני
שריפטשטעלער
שריפטשטעלער
הודעות: 5784
זיך רעגיסטרירט: פרייטאג אקטאבער 05, 2018 4:32 pm
האט שוין געלייקט: 12391 מאל
האט שוין באקומען לייקס: 8057 מאל

שליחה דורך מי אני »

מי אני האט געשריבן: מאנטאג דעצעמבער 20, 2021 6:49 amווי באקאנט איז די פעלד פון טאפּאלאגיע דזשיאמעטרי גענומען צו א מער אבסטראקטע מהלך. והיינו, אין דעם אינטרעסירט נישט די מרחק פון א שׁעיפּ און איין שׁעיפּ ווערט גערעכענט דאס זעלבע ווי אן אנדערע ווילאנג מען קען דאס ״סטרעטשן״, ״קוועטשן״ וכו׳ אין אנדערע פארמען וכו׳ אָן שניידן אדער מאכן (נאך) א לאך דערין; א האָמיִאָמאָרפיזם.
און אז מ׳האט דערמאנט נוצרות, זאגט דר. סוּסאנא העשעל במשנתו של אברהם גייגר לגבי ישו הנוצרי:
When Geiger argues that the Pharisees are the liberalizers, democratizers, and reformers of their day, in some sense, he's describing the Pharisees the way that liberal Protestants describe Jesus. So, there is a field in mathematics called topology. And one of the most famous examples of topology, which is a field that deals with shapes, is about how a donut can become a coffee mug and a coffee mug can become a donut. In some sense, I use that example to understand Jesus and the Pharisees in Geiger's terms. Jesus becomes a Pharisee, but the Pharisees become like Jesus
"איך בין אפילו נישט זיכער אז איך עקזיסטיר, ווי אזוי קען איך זיין זיכער אז...?" - יאיר
"אלס וואס איך ווייס איז אז איך ווייס גארנישט (אחוץ דעם עצם פאקט)" - סקראטוס
און אפילו אין דעם בין איך אויך נישט זיכער (וכן הלאה והלאה)
באניצער אוואטאר
מי אני
שריפטשטעלער
שריפטשטעלער
הודעות: 5784
זיך רעגיסטרירט: פרייטאג אקטאבער 05, 2018 4:32 pm
האט שוין געלייקט: 12391 מאל
האט שוין באקומען לייקס: 8057 מאל

רינגעל׳ס קאנדזשעקטשור

שליחה דורך מי אני »

לגבי ביימער און קאָמפּליִט גרעפס איז דא דעם אויפגעוואוזענעם רינגעל׳ס קאנדזשעקטשור. דאס לויטעט אז אויב האב איך א קאָמפּליִט גרעף מיט אַן אַדד צאל פון נוֺידס/פונקטן, דאן קען איך נעמען עני בוים וואס האט האלב די פונקטן (ראַוּנדעד ארויף) און דערמיט טיילן די קאָמפּליִט גרעף מיט קאַפּיִס דערפון, אזוי אז עס טיילד דאס אינגאנצן אָן קיין איינמאל איבערגיין א ליין וואס מ׳האט פריער שוין גענוצט. לדוגמא:
IMG_7623.jpeg
וואס פעהלט אויס איז צו צום ערשט לייגן די בוים אויפ׳ן קאָמפּליִט גרעף אזוי אז יעדעס נוֺיד אינעם בוים פאלט אויף נוֺידס אינעם קאָמפּליִט גרעף, וואס די נוֺידס/פונקטן אין איר זענען אנדערע ווייטקייטן אפגערוקט פון אנדערע נוֺידס. מיינענדיג, למשל א נוֺיד וואס איז גראד נעבן אַן אנדערע נוֺיד איז ווייט 1, און וואס האט איינס אינצווישן איז 2, אא״וו. (מ׳קען קאלירן די עדזשעס/ליינס וואס באהעפטן נוֺידס פון א געוויסע ווייטקייט מיט די זעלבע קאליר. וממילא די נוֺידס מיט אנדערע ווייטקייטן, האבן אנדערע קאלירן פאר די ליינס וואס באהעפטן זיי.) און ביי יעדעס קאָמפּליִט גרעף קען איך שאפן דערפון אזא בוים. פון דארט און ווייטער קען איך פשוט צוביסלעך דרייען דעם בוים אויפ׳ן קאָמפּליִט גרעף ביז עס באדעקט עס אינגאנצן כנ״ל.
IMG_7624.jpeg
"איך בין אפילו נישט זיכער אז איך עקזיסטיר, ווי אזוי קען איך זיין זיכער אז...?" - יאיר
"אלס וואס איך ווייס איז אז איך ווייס גארנישט (אחוץ דעם עצם פאקט)" - סקראטוס
און אפילו אין דעם בין איך אויך נישט זיכער (וכן הלאה והלאה)
באניצער אוואטאר
מי אני
שריפטשטעלער
שריפטשטעלער
הודעות: 5784
זיך רעגיסטרירט: פרייטאג אקטאבער 05, 2018 4:32 pm
האט שוין געלייקט: 12391 מאל
האט שוין באקומען לייקס: 8057 מאל

שליחה דורך מי אני »

לגבי זאָרנ׳ס לעמאַ און דאס בּאַנאַך-טאַרסקי פּאראדאקס, האב איך געזעהן די זיסע וויץ וועלכע איז מקשר אזעלכע נסים ווי (מלכים א יז יד) כד הקמח לא תכלה וצפחת השמן לא תחסר, ונס השמן של אלישע (מלכים ב פרק ד), אז דאס איז עפ״י בּאַנאַך-טאַרסקי פּאראדאקס, וועלכעס האט א שייכות מיט זאָרנ׳ס לעמאַ וואס האט א קשר מיט׳ן אנטאלאגישן ארגומענט פאר די מציאות פון ג-ט:
IMG_7639.jpeg
הגם אז בעצם איז דאס א נמנע ביי סארט פיזישע זאכן ווי ברויט:
IMG_7640.jpeg
ועיין כאן. די שאלה איז צי דאס איז מנוגד צום מופת וואס מ׳פארציילט אויף ר׳ ישעיה׳לע מקערעסטיר זצ״ל…
IMG_7641.jpeg
"איך בין אפילו נישט זיכער אז איך עקזיסטיר, ווי אזוי קען איך זיין זיכער אז...?" - יאיר
"אלס וואס איך ווייס איז אז איך ווייס גארנישט (אחוץ דעם עצם פאקט)" - סקראטוס
און אפילו אין דעם בין איך אויך נישט זיכער (וכן הלאה והלאה)
באניצער אוואטאר
מי אני
שריפטשטעלער
שריפטשטעלער
הודעות: 5784
זיך רעגיסטרירט: פרייטאג אקטאבער 05, 2018 4:32 pm
האט שוין געלייקט: 12391 מאל
האט שוין באקומען לייקס: 8057 מאל

שליחה דורך מי אני »

דר. דוד ריטשעסאן שרייבט אז טאמער האט מען א גריד כזה:
IMG_7726.jpeg
וועלכע קען זיך פארקרומען כזה:
IMG_7727.jpeg
און איך וויל דאס באפעסטיגן אז עס זאל בלייבן גראד דורכ׳ן לייגן שיפע שטעקענעס דערויף פון איין עק פון א קעסטל ביז די אנדערע קעגן איבער איר באלכסון.
IMG_7725.jpeg
IMG_7728.jpeg
דאן וועט די מינימום צאל באפעסטונגען פון איין עק קעסטל צום אנדערן [אויב גייט די ליין דורך צוויי קעסטעלעך, ווערט עס גערעכענט ווי צוויי ליינס], זיין ווען איך מאך א בּייפּאַרטייט גרעף פון די צאל עקן אויף אראפ בשתי אלס פונקטן פון איין זייט און די צאל עקן בערב אלס פונקטן אויף די אנדערע. און די מינימום צאל ליינס/עדזשעס וועלכע מאכן דאס א באהאפטענע גרעף [אזוי אז אויב איך הייב אויף איין פונקט, הייבט זיך אויף די גאנצע בּייפּאַרטייט גרעף צוזאמען], וועט זיין די מינימום צאל שיפע ליינס אין דעם גריד פון איין עק קעסטל צום צווייטן דאס צו באפעסטיגן עס זאל זיך נישט קענען רוקן פארקרומט. דאס קומט אויס צו איינס ווייניגער ווי די צאל פון פונקטן אין די בּייפּאַרטייט גרעף.
"איך בין אפילו נישט זיכער אז איך עקזיסטיר, ווי אזוי קען איך זיין זיכער אז...?" - יאיר
"אלס וואס איך ווייס איז אז איך ווייס גארנישט (אחוץ דעם עצם פאקט)" - סקראטוס
און אפילו אין דעם בין איך אויך נישט זיכער (וכן הלאה והלאה)
באניצער אוואטאר
מי אני
שריפטשטעלער
שריפטשטעלער
הודעות: 5784
זיך רעגיסטרירט: פרייטאג אקטאבער 05, 2018 4:32 pm
האט שוין געלייקט: 12391 מאל
האט שוין באקומען לייקס: 8057 מאל

פּריזמס און אנטיפּריזמס

שליחה דורך מי אני »

א פּריזם איז ווי איך מאך פון א 2D שׁעיפּ איר 3D אנאלאג. בעצם באדייט דאס איז איך לייג קעגן איבער א 2D שׁעיפּ די זעלבע 2D שׁעיפּ, און דערנאך באהעפט איך זיי אין די זייט מיט 2D סקווערס/רעקטענגעלס. דאס איז א דוגמא ביי א פּענטאגאנעל פּריזם:
Pentagonal Prism.jpg
Pentagonal Prism.jpg (15.86 KiB) געזען געווארן 239 מאל
אויב וויל מען פון דעם מאכן א גרעף, אין 2D, איז דאס כזה אינגעהויבן פון א טרייענגולאר פּריזם און ארויף (עס איז א סארט שלעגעל דייעגראם, וואס באדייט צייגן א שׁעיפּ אין איין דיימענשאן אראפ):
שלעגעל.jpg
אויב אבער איך באהעפט די צוויי 2D זעלבע שּעיפּס מיט טרייענגאלס, דאן שאפט דאס אַן אנטיפּריזם (כמובן גייט איין שׁעיפּ נישט זיין בשוה קעגן איבער איר קאַפּי). דאס איז א דוגמא ביי א פּענטאגאנעל אנטיפּריזם:
Pentagonal Antiprism.jpg
Pentagonal Antiprism.jpg (19.31 KiB) געזען געווארן 239 מאל
די קען מען אויך צייגן אין גרעפס. דאס זענען אנטיפּריזם גרעפס, אָנגעהויבן פון א רעקטענגולאר/קיובּויד אנטיפּריזם:
Antiprism Graphs.jpg
עס קומט אויס אז יעדעס אנטיפּריזם גרעף האט אַן אוילעריען דרך, וואו איך קען דורכגיין דאס גאנצע אין א ציה און באזוכן יעדעס ליין נאר איינמאל, זייענדיג אז יעדעס פונקט האט אַן איִווען צאל ליינס, 4, וואס קומען ארויס פון איר. דא האט איינער געמאכט א פּענטאגאנעל אנטיפּריזם פון איין באלון, זייענדיג אז עס האט אט די פּראַפּערטי פון אַן אוילעריען דרך.
"איך בין אפילו נישט זיכער אז איך עקזיסטיר, ווי אזוי קען איך זיין זיכער אז...?" - יאיר
"אלס וואס איך ווייס איז אז איך ווייס גארנישט (אחוץ דעם עצם פאקט)" - סקראטוס
און אפילו אין דעם בין איך אויך נישט זיכער (וכן הלאה והלאה)
פארשפארט