בלאט 1 פון 2
קאלקולוס הילף
נשלח: דינסטאג אקטאבער 21, 2014 2:58 pm
דורך פארוואס?
איך מאך אויף דעם אשכול ספעציעל פאר קורצע דיסקוסיעס ארום קאלקולוס.
יעדער איינער וואס האט עפעס א שאלה אדער סתם אן אינטרעסאנטע הערה, איז מכובד צו פאוסטן.
איך בעט בתחנונים די אלע וועלכע קענען און זענען אינטרעסירט, ביטע לאזט מיר נישט זיין דא דער איינציגער נאר. ([tag]קול דודי[/tag] [tag]יידל[/tag] [tag]אבטולמוס[/tag] וכו׳).
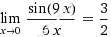
איך פאנג אן מיט א לימיט, ווער קען מיר העלפן עס אויספיגורן;

נשלח: דינסטאג אקטאבער 21, 2014 3:07 pm
דורך יידל
וועסט מוזן מער מסביר זיין וואס פונקט איז אזוי שווער אויסצורעכענען דעם לימיט דא, ווייל דער sin דארט פארדרייט מיר א קאפ.
טשעקנדיג וואלפראם זאל זיין געזונט ווייזט ער מיר אזוי:

- lim.gif (4.97 KiB) געזען געווארן 5480 מאל
חוץ אז דער sin9 מיינסטו רעדיענס?
נשלח: דינסטאג אקטאבער 21, 2014 4:00 pm
דורך קול דודי
און דעם פאל, ווען סאבסיטושען מיט (איקס=0) געט 0/0, קען מען ניצן הלכות ל'האפיטאל.
http://en.wikipedia.org/wiki/L'H%C3%B4pital's_ruleדהיינו, דיפערענשיעישן פונ'ם אויבערשטן חלק געט:

- lim.gif (1.09 KiB) געזען געווארן 5450 מאל
דיפערענשיעישן פונ'ם אנדערן חלק געט:

- lim2.gif (667 Bytes) געזען געווארן 5450 מאל
יעצט פרוביר סאבסיטושען:
http://www.wolframalpha.com/input/?i=9c ... a=TrigRD_Rאגב, און דעם פאל איז עס גרינג צו פרשטיין, ווייל סין(איקס) ~ איקס, ווען איקס איז זייער קליין (דהיינו ווען איקס איז "בערך" זערא).
נשלח: דינסטאג אקטאבער 21, 2014 6:09 pm
דורך פארוואס?
אבטולמוס האט געשריבן:צום באדויערן קען איך נישט קיין קאלקולוס.
כ'וואלט ליבערשט צוריקגעגאנגען מיט דיר צו דיין סעריע איבער אלגעברא.
נו געגאנגען....
קענסט אויפמאכן א באזונדערע אשכול פאר אלגעברא.
נשלח: דינסטאג אקטאבער 21, 2014 6:11 pm
דורך פארוואס?
יידל האט געשריבן:וועסט מוזן מער מסביר זיין וואס פונקט איז אזוי שווער אויסצורעכענען דעם לימיט דא, ווייל דער sin דארט פארדרייט מיר א קאפ.
טשעקנדיג וואלפראם זאל זיין געזונט ווייזט ער מיר אזוי:
lim.gif
חוץ אז דער sin9 מיינסטו רעדיענס?
איך רעד וועגן רעדיענס.
אבער איך מיין אז עס איז עניוועיס נישט קיין חילוק, עס וועט אייביג זיין די זעלבע זאך, (רעדיענס, דיגריס, אדער אנדערע).
([tag]קול דודי[/tag] בין איך גערעכט?)
נשלח: דינסטאג אקטאבער 21, 2014 8:55 pm
דורך פארוואס?
קול דודי האט געשריבן:און דעם פאל, ווען סאבסיטושען מיט (איקס=0) געט 0/0, קען מען ניצן הלכות ל'האפיטאל.
מוז מען טאקע צוקומען צו לופיטאל׳ס כלל?
לאמיר פראבירן:
איך פאנג אן מיט אונזער אויבנדערמאנטע לימיט.
[center]

[/center]
צום ערשט וועל איך טוישן דעם דינאמינעיטער אביסל צו:
[center]

[/center]
דערנאך וועל איך עס שרייבן אלס:
[center]

[/center]
יעצט קען איך צוטיילן די לימיט אין צוויי באזונדערע פונקציעס:
[center]

[/center]
די קאנסטענט פונקציע בלייבט אזוי ווי עס איז.
[center]

[/center]
און די אנדערע פונקציע, קען איך סאלוון לויט דעם
כלל אז:
[center]

[/center]
(און ה"ה לכל מכפלה פון x).
באקום איך טאקע:
[center]

[/center]
האב איך זיך שיין אן עצה געגעבן אן דארפן נוצן דיפרענטיעישן.
נשלח: דינסטאג אקטאבער 21, 2014 9:03 pm
דורך קול דודי
יא, גערעכט, וויבאלד ס׳איז דער זעלבער איקס אויבן אין אונטן מאכט עס נישט קיין חילוק דא. אבל נקוט כלל זה בידך: סתם סין, קאס ודומיהן רעדיענס הן.
נשלח: דינסטאג אקטאבער 21, 2014 9:10 pm
דורך קול דודי
יא, דאס ארבעט אויך. אבער ל׳האפיטאל איז געווענליך גרינגער פונ׳ם סענדוויטש טעארם, וואס די רופסט אן א ״כלל״ אבער ביזט נישט מסביר פון ווי עס קומט. מ׳קען ניצן ביידע דא. אבער סתם זאגן אז ס׳איז א ״כלל״ ארבעט נישט, ווייל ״כך קבלו מרבותי״ איז נישט א חלק פון קאלקולוס.
נשלח: דינסטאג אקטאבער 21, 2014 9:15 pm
דורך פארוואס?
קול דודי האט געשריבן:יא, דאס ארבעט אויך. אבער ל׳האפיטאל איז געווענליך גרינגער פונ׳ם סענדוויטש טעארם, וואס די רופסט אן א ״כלל״ אבער ביזט נישט מסביר פון ווי עס קומט. מ׳קען ניצן ביידע דא. אבער סתם זאגן אז ס׳איז א ״כלל״ ארבעט נישט, ווייל ״כך קבלו מרבותי״ איז נישט א חלק פון קאלקולוס.
איז וואס זאל איך טוהן אז איך האב מיר אנגעשטויסן אין אט דעם כלל, נאך אסאך פאר ווען איך האב געלייענט איבער דיפרענטישען.
נשלח: דינסטאג אקטאבער 21, 2014 9:25 pm
דורך קול דודי
הע, איך הער. אבער באמת איז ל׳אפיטאל פון די גרינגסטע וועגן צי טרעפטן א לימיט (דארט ווי מ׳מעג עס ניצן). ווי די ווייסט מן הסתם, איז דיריוועטיווס גאר גרינג צו וויסן על פי רוב, אנדערש ווי פרובירן צי טרעפן פאנקשענס פאר׳ן סענדוויטש טעארם.
נשלח: דינסטאג אקטאבער 21, 2014 9:33 pm
דורך פארוואס?
קול דודי האט געשריבן:הע, איך הער. אבער באמת איז ל׳אפיטאל פון די גרינגסטע וועגן צי טרעפטן א לימיט (דארט ווי מ׳מעג עס ניצן). ווי די ווייסט מן הסתם, איז דיריוועטיווס גאר גרינג צו וויסן על פי רוב, אנדערש ווי פרובירן צי טרעפן פאנקשענס פאר׳ן סענדוויטש טעארם.
כ'פארשטיי, אבער דא האבן מיר שוין א כלל גדול, אז:
[left]the limit of ((sin of a small number) divided in the same small number) equals to one[/left]
נשלח: מיטוואך אקטאבער 22, 2014 11:49 am
דורך געפילטע פיש
איך פייגער פאר קנאה!
נשלח: מיטוואך אקטאבער 22, 2014 11:57 am
דורך פארוואס?
געפילטע פיש האט געשריבן:איך פייגער פאר קנאה!
נו. קנאת סופרים תרבה חכמה.
אבער אמת'דיג, איך גלייב אז ווען דו זאלסט פארשטיין די קאנסעפטס דערפון, וואלטסטו געוווען דא א גרויסע הילף.
ועיי'
ערך.
נשלח: מאנטאג נאוועמבער 03, 2014 6:42 pm
דורך פארוואס?
כ׳האב א פראבלעם, עס געהערט טאקע נישט צו קאלקולוס, אבער כ׳האב נישט ערגעץ אנדערש וואו עס צו לייגן.
איז אזוי, איך האב א סעט פון עלעמענטן, וואס יעדע עלעמענט איז א מסודר׳דיגע פאר פון צוויי נומערן, ווי למשל:
{(1,1),(2,4)...}
איך וויל קענען איבערדרייען די צוויי נומערן אין איין נומער מיט עפעס א פארמולע, וואס איך זאל קענען שפעטער צוריק דרייען.
כלומר, איך דארף עפעס א פונקציע וואס וועט מיר אייביג געבן נאר איין וואליו פאר יעדע וואליו, און קיינמאל נישט די זעלבע וואליו פאר צוויי אנדערע וואליוס.
(בדרך אגב, כ׳ווייס א פארמולע, אבער איך ווייס נישט פארוואס ס׳איז טאקע אזוי, סא [tag]געפילטע פיש[/tag] איז געלאדנט זיך צו ברעכן די קאפ

).
נשלח: מאנטאג נאוועמבער 03, 2014 6:50 pm
דורך געפילטע פיש
ס'דארף דיר קענען זאגן די ארגינעלע אויסשטעל? למשל 2,4 מעג זיך אויסמישן מיט 4,2?
נשלח: מאנטאג נאוועמבער 03, 2014 6:52 pm
דורך פארוואס?
געפילטע פיש האט געשריבן:ס'דארף דיר קענען זאגן די ארגינעלע אויסשטעל? למשל 2,4 מעג זיך אויסמישן מיט 4,2?
יא (ס׳טאר זיך נישט אויסמישן). דערפאר האב איך געשריבן ״א מסודר׳דיגע פאר״.
נאך א וויכטיגע תנאי, די גאנצע שפיל מוז זיין נאר מיט נאטורליכע נומערן. (דהיינו, גאנצע פאזיטיווע נומערן).
נשלח: מאנטאג נאוועמבער 03, 2014 8:25 pm
דורך געפילטע פיש
האו אבאוט דו מאכסט א גראדע ליין (אלכסון\הייפאטענוס) פון די x y axis און דאס רעכענסטו אויס מיטן פייטאגאריען טעארום, סאו פאר 4,2 באקומסטו 4.472135955, איי ס'וועט דאך זיין די זעלבע פאר 4,2 און 2,4? מאך אז טאמער איז די ערשטע נומבער > די צווייטע נאמבער לייגט מען צו א געוויסע וועליו. קען עס ארבעטן?
נע, סקרעטש איט, ס'דא מער ווי צוויי פוינטס וואס קומען צו צום זעלבן וועליו, ספעציעל אויב דו לאצט נוצן נישט קיין גאנצע נומבערס, למשל 4.3,2.8
נשלח: מאנטאג נאוועמבער 03, 2014 10:02 pm
דורך פארוואס?
געפילטע פיש האט געשריבן:האו אבאוט דו מאכסט א גראדע ליין (אלכסון\הייפאטענוס) פון די x y axis און דאס רעכענסטו אויס מיטן פייטאגאריען טעארום, סאו פאר 4,2 באקומסטו 4.472135955, איי ס'וועט דאך זיין די זעלבע פאר 4,2 און 2,4? מאך אז טאמער איז די ערשטע נומבער > די צווייטע נאמבער לייגט מען צו א געוויסע וועליו. קען עס ארבעטן?
נע, סקרעטש איט, ס'דא מער ווי צוויי פוינטס וואס קומען צו צום זעלבן וועליו, ספעציעל אויב דו לאצט נוצן נישט קיין גאנצע נומבערס, למשל 4.3,2.8
קודם כל:
פארוואס? האט געשריבן:נאך א וויכטיגע תנאי, די גאנצע שפיל מוז זיין נאר מיט נאטורליכע נומערן. (דהיינו, גאנצע פאזיטיווע נומערן).
צווייטנס, איך קען נישט נוצן קיין if statements, איך דארף אן ״אייניגע״ פארמולע פאר אלע נומערן.
נשלח: מאנטאג נאוועמבער 03, 2014 10:17 pm
דורך פארוואס?
אקעי. די פארמולע איז נישט טריוואל, (אנטשולדיג פארן לאזן סתם ברעכן די קאפ).
לאמיר זאגן אז מיר האבן א פאר פון צוויי נומבערס די ערשטע איז x און די צווייטע איז y. און ביידע זענען נאטורליכע נומערן. דאן וועלן מיר טוהן דאס:
[center]

[/center]
דאס הייסט מיר גייען נעמען די סומע פון די צוויי נומערן און עס דאפלען אין זיך (סקווערד), דאן נעמען מיר אראפ דעם ערשטן נומער, מיר נעמען אראפ דריי מאל דעם צווייטן נומער, מיר נעמען אראפ צוויי, און מיר צוטיילן עס אין צוויי.
יעצט איז געבליבן צו עס אויפווייזן אדער אפפרעגן. (אויף עס אפצופרעגן איז גענוג אויב מיר וועלן טרעפן א דוגמא וואס עס ארבעט נישט).
[tag]קול דודי[/tag]
איך האב געשריבן א קאוד דערפאר. ווער עס וועט טרעפן צוויי אנדערע סעטס וואס געבן די זעלבע רעזולטאט, האט עס אפ געפרעגט:
קוד: וועל אויס אלע
<!DOCTYPE html>
<html>
<body>
<p>Hello! What's doing? Let's try something fun!</p>
<form id="frm1">
First nunber: <input type="text" name="fnum" value="first"><br>
Last number: <input type="text" name="lnum" value="second"><br><br>
</form>
<p>Click "Get the result" to display the result.</p>
<button onclick="myFunction()">Get the result</button>
<p id="demo"></p>
<script>
function myFunction() {
var z = document.getElementById("frm1");
var ax = z.elements[0].value;
var ay = z.elements[1].value;
var x = parseInt(ax);
var y = parseInt(ay);
var a = x + y;
var b = a * a;
var c = b - x;
var d = 3 * y;
var e = c - d;
var f = e + 2;
var g = f / 2;
document.getElementById("demo").innerHTML = g;
}
</script>
</body>
</html>
נשלח: דינסטאג נאוועמבער 04, 2014 4:37 pm
דורך קול דודי
אוי געוואלד. הזמן קצר והמלאכה מרובה. כ'האב נישט קיין אויפווייז. אבער זעי דעם JPEG וואס כ'האב דא צוגעשטעלט פאר א שטיקל התחלה. קענסט פרעגן אויב עפעס איז נישט קלאר. דאס איבריגע לאז איך פאר דיר.

- X-001 - Copy.jpg (206.21 KiB) געזען געווארן 5199 מאל

- X -002 - Copy.jpg (201.02 KiB) געזען געווארן 5199 מאל
נשלח: דינסטאג נאוועמבער 04, 2014 5:32 pm
דורך טאמבל סאס
איך לייען, איך קוק, איך דוכן, איך גלייז, איך קלאץ אינעם חלל. איך פארשטיי נישט קיין ווארט. מיין גאנצע וועזן איך אבער פארפלייצט מיט אויסערגעווענליכע עמאציעס. ווען קול דודי איז אין טאון איז לבי דופק בקרבי. יעצט ווייס איך אז קאווע שטיבל האט זיך געלוינט אפ' נאר פאר די צוויי פאפירלעך. בלייבט פאר מיר איבער נאר איבערצוחזר'ן וואס געפילטע פיש האט שוין געזאגט: "איך פייגער פאר קנאה!"
נשלח: דינסטאג נאוועמבער 04, 2014 5:57 pm
דורך פארוואס?
עס איז נישט קיין קשיא פון (1,1) און (0,3), ווייל מיר האבן זיך אויסגענומען אז מיר רעדן נאר פון נאטורליכע נומערן. (וואס נעמט נישט אריין זערא).
ובזה נתיישב לי מה שהקשה לי [tag]געפילטע פיש[/tag] באישי, מה הצורך להוסיף ולחלק בשתיים, טאקע צוליב דעם פאר (1,1) וואס אויב מיר וועלן דאס נישט טוהן וועלן מיר באקומען 0, וואס איז נישט נכלל אין אונזער שפיל. ודו״ק).
נשלח: דינסטאג נאוועמבער 04, 2014 6:44 pm
דורך קול דודי
פארוואס? האט געשריבן:עס איז נישט קיין קשיא פון (1,1) און (0,3), ווייל מיר האבן זיך אויסגענומען אז מיר רעדן נאר פון נאטורליכע נומערן. (וואס נעמט נישט אריין זערא).
יא, פארדעם האב איך געשריבן אז לויט דיינע כללים האט עס נישט א סאלאשן.
פארוואס? האט געשריבן:בזה נתיישב לי מה שהקשה לי [tag]געפילטע פיש[/tag] באישי, מה הצורך להוסיף ולחלק בשתיים, טאקע צוליב דעם פאר (1,1) וואס אויב מיר וועלן דאס נישט טוהן וועלן מיר באקומען 0, וואס איז נישט נכלל אין אונזער שפיל. ודו״ק).
וואלט מען דאך געקענט צולייגן איינס? ונראה לי שקושיות הרב פיש עדיין בתקפתו.